| Обозначение: |  ГОСТ Р 72015-2025 |
| Статус: | действующий |
| Название рус.: | Оптика и фотоника. Стекло оптическое бесцветное. Физико-химические характеристики |
| Название англ.: | Optics and photonics. Colorless optical glass. Physical and chemical characteristics |
| Дата актуализации текста: | 01.01.2026 |
| Дата актуализации описания: | 01.01.2026 |
| Дата издания: | 31.07.2025 |
| Дата введения: | 01.01.2026 |
| Нормативные ссылки: | ГОСТ 13917; ГОСТ Р 70973; ГОСТ Р 71951; ГОСТ Р ИСО 9211-1 |
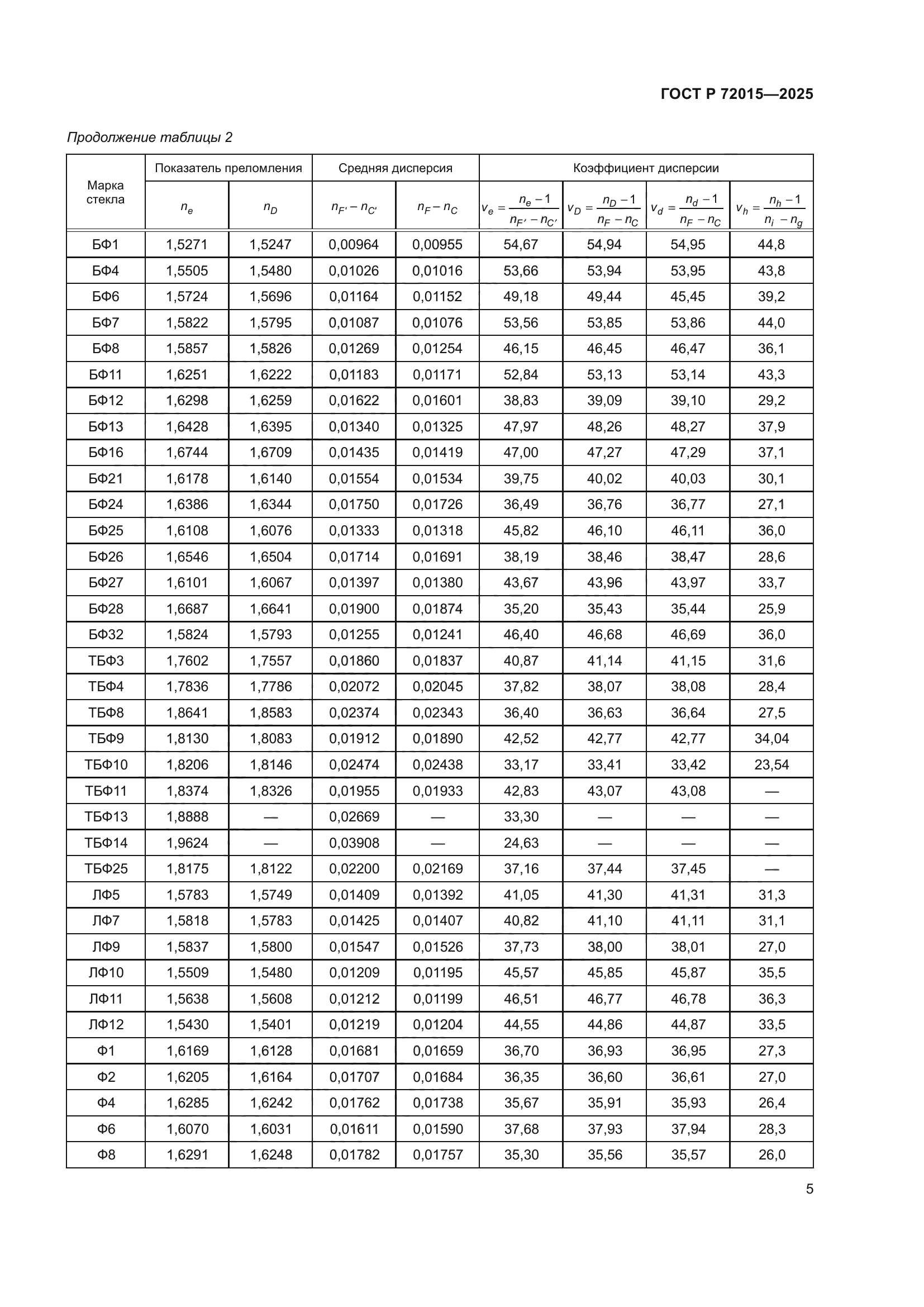
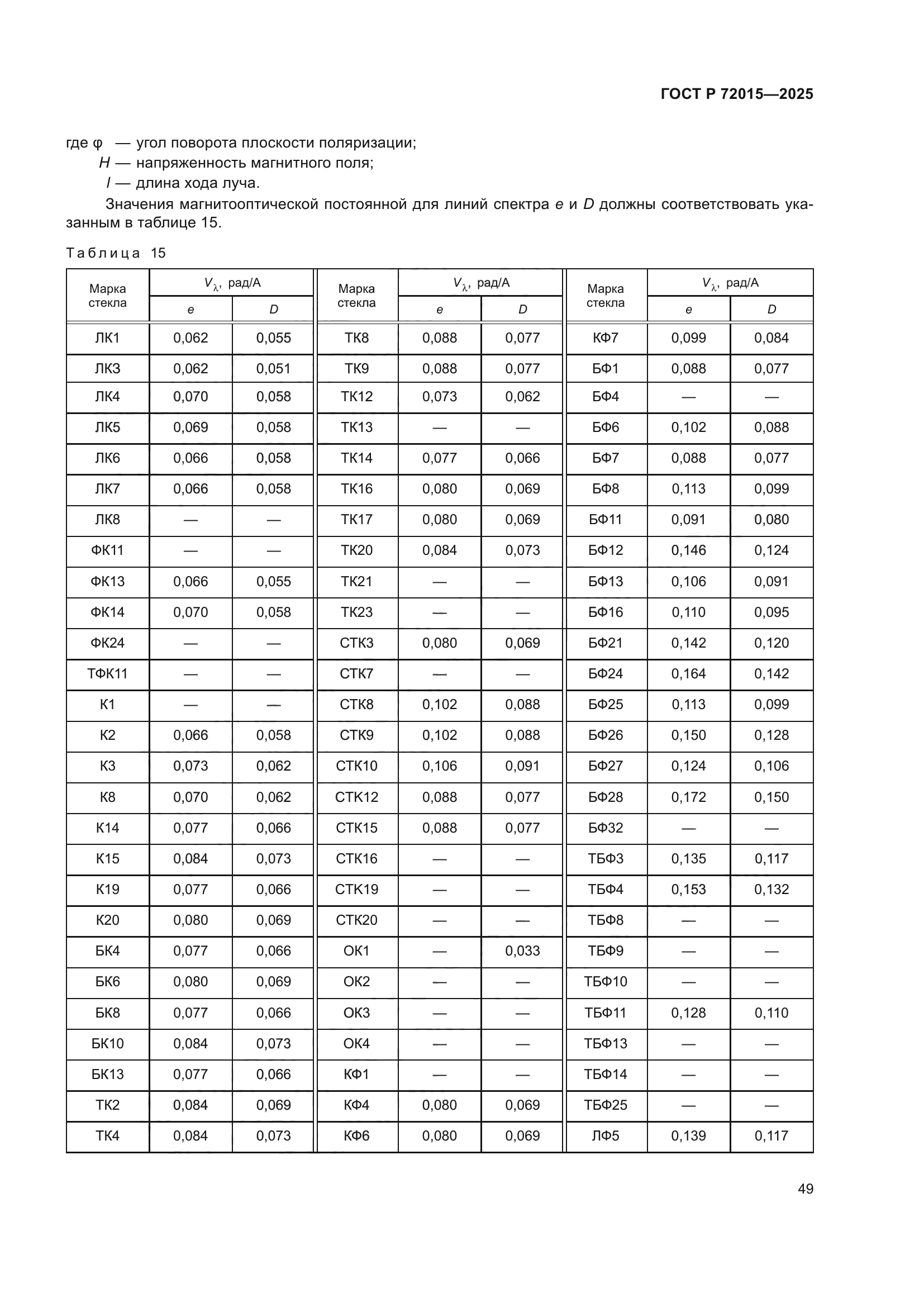
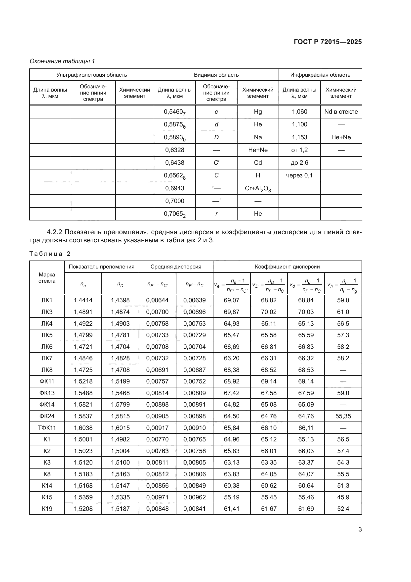
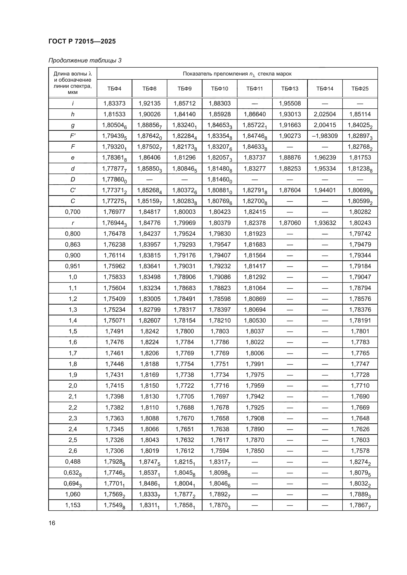
| Область применения: | Настоящий стандарт распространяется на оптическое бесцветное стекло обычных марок по ГОСТ Р 71951 и устанавливает физико-химические характеристики |
|