| Обозначение: |  ГОСТ Р ИСО 15614-13-2025 |
| Статус: | действующий |
| Название рус.: | Технические требования и аттестация процедур сварки металлических материалов. Проверка процедуры сварки. Часть 13. Контактная стыковая сварка сопротивлением и оплавлением |
| Название англ.: | Specification and qualification of welding procedures for metallic materials. Welding procedure test. Part 13. Upset (resistance butt) and flash welding |
| Дата актуализации текста: | 01.06.2025 |
| Дата актуализации описания: | 01.06.2025 |
| Дата издания: | 07.04.2025 |
| Дата введения: | 01.05.2025 |
| Взамен: | ГОСТ Р ИСО 15614-13-2009 |
| Аутентичен стандартам: | ISO 15614-13:2023 |
| Нормативные ссылки: | ISO 4136;ISO 669;ISO 5173;ISO 6520-2;ISO 6892-1;ISO 9015-2;ISO 11666;ISO 14732;ISO 15607:2019;ISO 15609-5;ISO 15620:2019;ISO 17639;ISO 17640;ISO 23277;ISO 23279 |
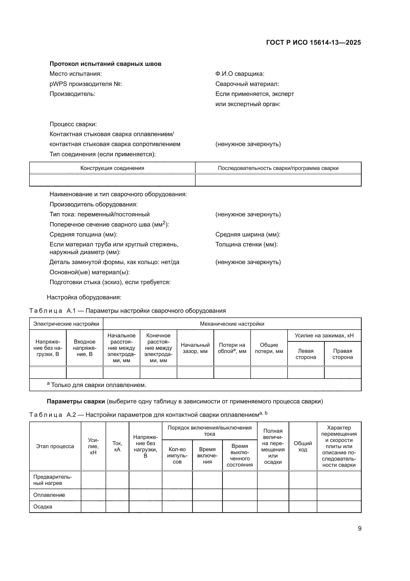
| Область применения: | Настоящий стандарт устанавливает проверку процедуры сварки для аттестации предварительных технических требований к сварке (pWPS). Настоящий стандарт определяет условия проведения испытаний и область аттестации процедуры сварки для всех практических операций сварки настоящего стандарта. В целях применения для широкого диапазона сварных конструкций приведены два класса проверки процедуры сварки. Классы обозначены A и B. В классе A объем испытаний больше, по сравнению с классом B, а области аттестации ограничены. Проверку процедуры для класса A распространяют на требования класса B, но не наоборот. Если в контракте или применяемом стандарте класс не указан, то применяют все требования класса A. Настоящий стандарт применяется к контактной стыковой сварке оплавлением любых металлических материалов для всех форм изделий (например, со сплошным, трубчатым, плоским или круглым поперечным сечением). Он включает следующие процессы контактной сварки в соответствии с ИСО 4063:2023: - 24 — сварка контактная оплавлением, с использованием постоянного или переменного тока с различными схемами движения, непрерывное или импульсное оплавление; - 25 — сварка контактная стыковая сопротивлением, с использованием постоянного или переменного тока с различными последовательностями включения тока и приложения давления |
|