| Обозначение: |  ГОСТ Р 71371-2024 |
| Статус: | действующий |
| Название рус.: | Нормы и правила испытаний металлорежущих станков. Часть 8. Вибрация |
| Название англ.: | Test codes for metal-cutting machines. Part 8. Vibrations |
| Дата актуализации текста: | 01.01.2026 |
| Дата актуализации описания: | 01.06.2025 |
| Дата издания: | 30.01.2025 |
| Дата введения: | 01.06.2025 |
| Аутентичен стандартам: | ISO/TR 230-8:2010 |
| Нормативные ссылки: | ISO 230-1;ISO 230-5;ISO 21940-2:2017;ISO 21940-11:2016;ISO 2041:2018;ISO 2631-1;ISO 2954;ISO 5348:2021;ISO 6103;ISO 15641 |
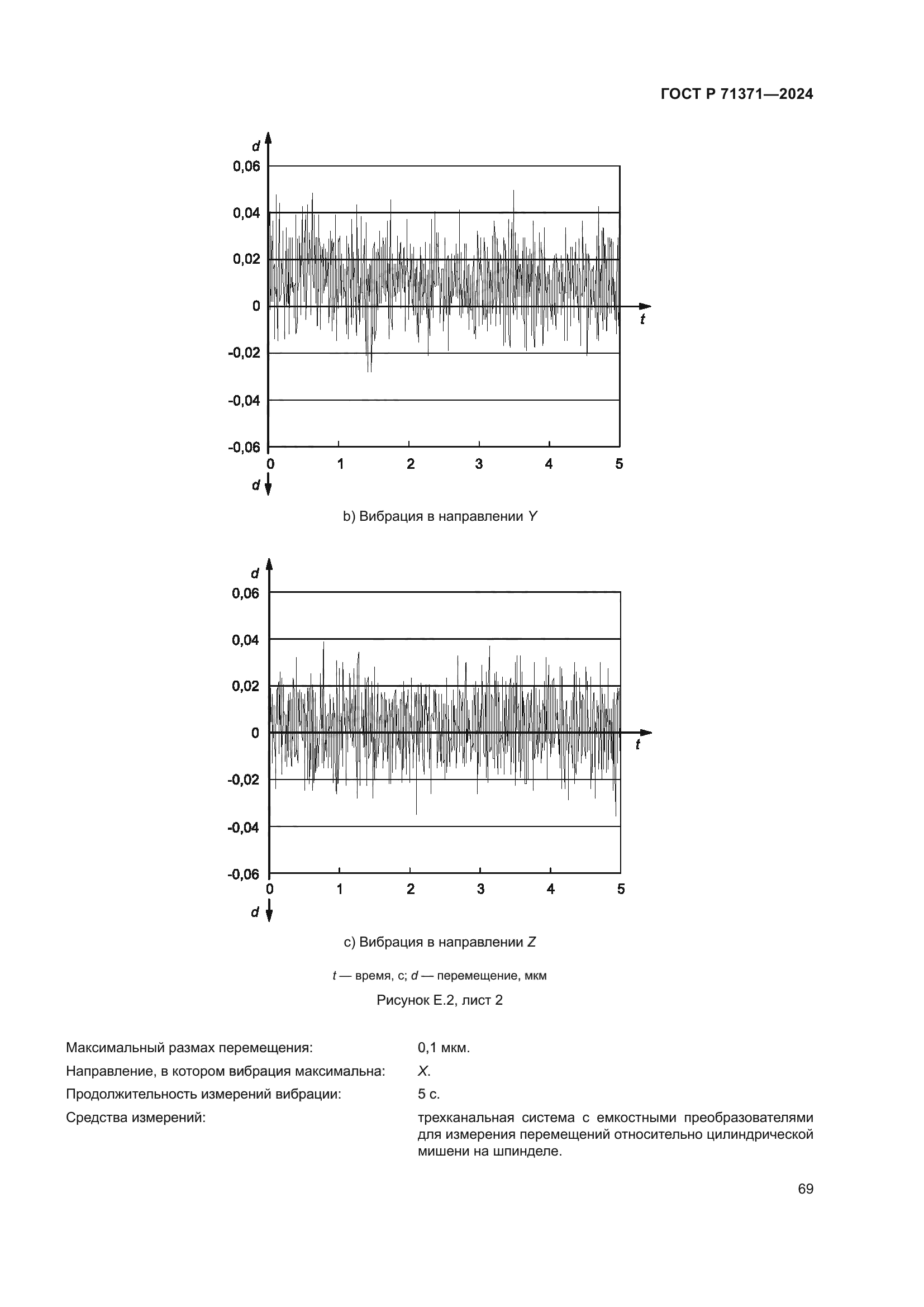
| Область применения: | Настоящий стандарт устанавливает общие принципы испытаний и анализа относительной вибрации держателя инструмента и держателя заготовки, приводящей к ухудшению точности обработки изделия на станке. Настоящий стандарт может быть применен изготовителями и пользователями станков при формировании общего подхода к повышению качества изготавливаемой продукции. Методы измерений, устанавливаемые настоящим стандартом, распространяются на вибрацию станков, связанную: - с неуравновешенностью вращающихся частей станка; - прямолинейными перемещениями суппорта станка; - внешними источниками; - процессами обработки заготовки, включая автоколебания. В настоящем стандарте рассматриваются также методы возбуждения вибрации станка с целью определения динамических свойств его конструкции (приложение F). Общее описание структуры и содержания настоящего стандарта приведено в приложении А |
|