| Обозначение: |  ГОСТ 35091-2024 |
| Статус: | действующий |
| Название рус.: | Аппаратура распределения и управления низковольтная. Оценка электромагнитной совместимости аппаратуры распределения и управления и ее блоков |
| Название англ.: | Low-voltage switchgear and controlgear. Electromagnetic compatibility assessment for switchgear and controlgear and their assemblies |
| Дата актуализации текста: | 01.06.2025 |
| Дата актуализации описания: | 01.06.2025 |
| Дата регистрации: | 31.07.2024 |
| Дата издания: | 26.12.2024 |
| Дата введения: | 01.03.2025 |
| Содержит требования: | IEС TR 63216(2019) |
| Нормативные ссылки: | ГОСТ 29322; ГОСТ 30804.4.2-2013; ГОСТ 30804.4.3; ГОСТ 30804.4.4; ГОСТ 30804.4.11; ГОСТ 30804.6.1; ГОСТ 30804.6.2; ГОСТ 30804.6.4; ГОСТ 32144; ГОСТ 34693.6;ГОСТ CISPR 11;ГОСТ CISPR 32;ГОСТ EN 50065-1;ГОСТ IEC 60050-441;ГОСТ IEC 60947-1;ГОСТ IEC 61000-2-4;ГОСТ IEC 61000-3-2;ГОСТ IEC 61000-4-5;ГОСТ IEC 61000-4-8;ГОСТ IEC 61000-4-9;ГОСТ IEC 61000-4-10;ГОСТ IEC 61000-4-12;ГОСТ IEC 61000-4-13;ГОСТ IEC 61000-4-14;ГОСТ IEC 61000-4-16;ГОСТ IEC 61000-4-18;ГОСТ IEC 61000-4-20;ГОСТ IEC 61000-4-27;ГОСТ IEC 61000-4-28;ГОСТ IEC 61000-4-31;ГОСТ IEC 61000-4-34;ГОСТ IEC 61000-4-39;ГОСТ IEC 61000-6-3;ГОСТ IEC 61000-6-5;ГОСТ IEC 61000-6-7;ГОСТ IEC 61131-2;ГОСТ IEC 61439-1;ГОСТ IEC 61508-3;ГОСТ IEC 61800-3 |
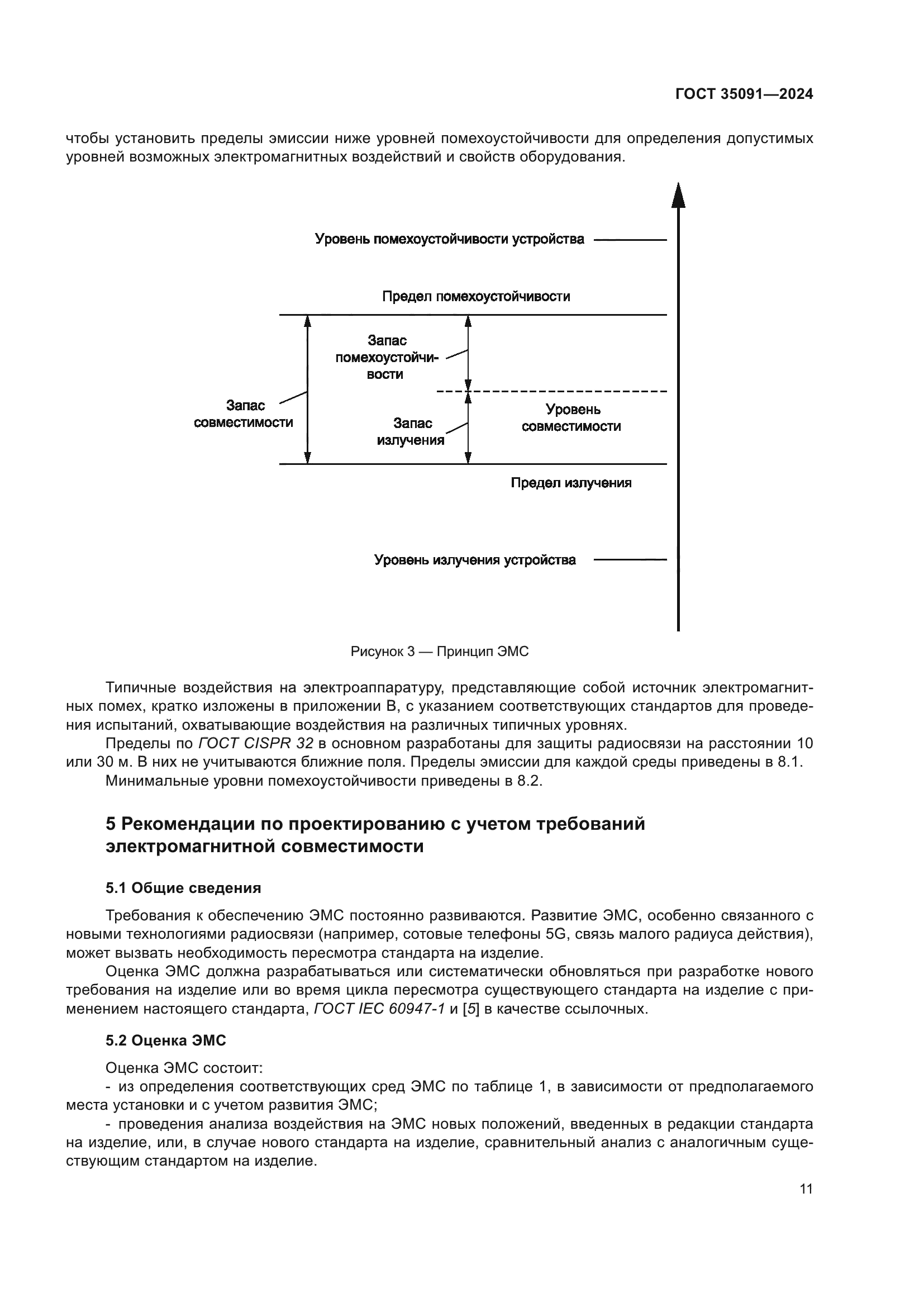
| Область применения: | Целью настоящего стандарта является определение однородных категорий электромагнитной обстановки для гармонизации, насколько это возможно, всех общих правил и требований стандартов по электромагнитной совместимости (ЭМС) на низковольтную аппаратуру распределения и управления и ее блоков со встроенными электронными цепями (далее – аппаратура). Настоящий стандарт распространяется также на встроенные технические средства с функциями радиосвязи |
|