Скачать ГОСТ Р 70265.2-2024 Измерение, управление и автоматизация промышленного процесса. Структура цифровой фабрики. Часть 2. Элементы моделиДата актуализации: 01.06.2025 ГОСТ Р 70265.2-2024
Измерение, управление и автоматизация промышленного процесса. Структура цифровой фабрики. Часть 2. Элементы модели
| Обозначение: |  ГОСТ Р 70265.2-2024 |
| Статус: | действующий |
| Название рус.: | Измерение, управление и автоматизация промышленного процесса. Структура цифровой фабрики. Часть 2. Элементы модели | | Название англ.: | Industrial-process measurement, control and automation. Digital factory framework. Part 2. Model elements | | Дата актуализации текста: | 01.06.2025 | | Дата актуализации описания: | 01.06.2025 | | Дата издания: | 03.12.2024 | | Дата введения: | 30.01.2025 | | Нормативные ссылки: | ГОСТ Р 56213.5; ГОСТ Р 59799; ГОСТ Р 70265.1; ГОСТ Р 70991 | | Область применения: | Настоящий стандарт определяет требования к элементам модели, составляющим базовую структуру цифровой фабрики. Стандарт определяет характер информации, содержащейся в элементах модели, но не распространяется на формат представления этой информации | |
                                      
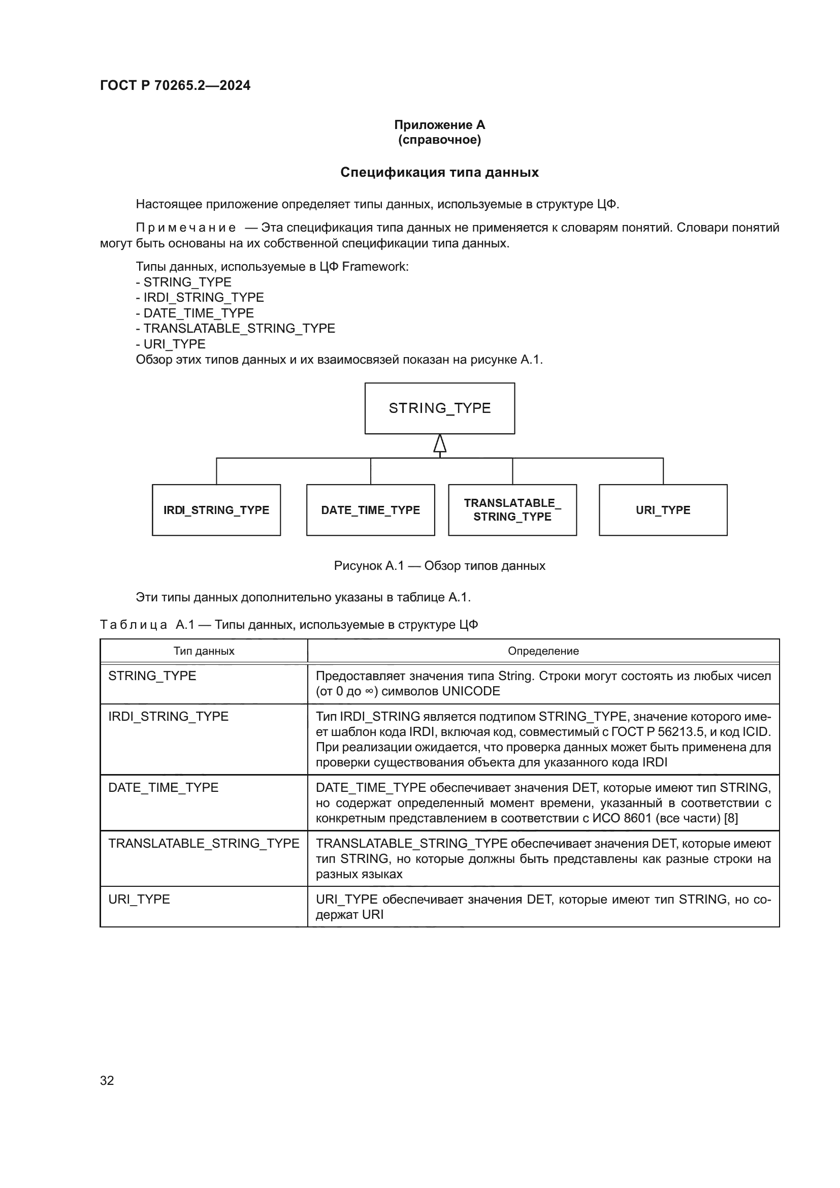
|