| Обозначение: |  ГОСТ Р 71540-2024 |
| Статус: | действующий |
| Название рус.: | Искусственный интеллект. Эталонная архитектура инженерии знаний |
| Название англ.: | Artificial intelligence. Reference architecture of knowledge engineering |
| Дата актуализации текста: | 01.12.2024 |
| Дата актуализации описания: | 01.01.2025 |
| Дата издания: | 19.11.2024 |
| Дата введения: | 01.01.2025 |
| Содержит требования: | ISO/IEC 5392:2024 |
| Нормативные ссылки: | ГОСТ Р 71476-2024 |
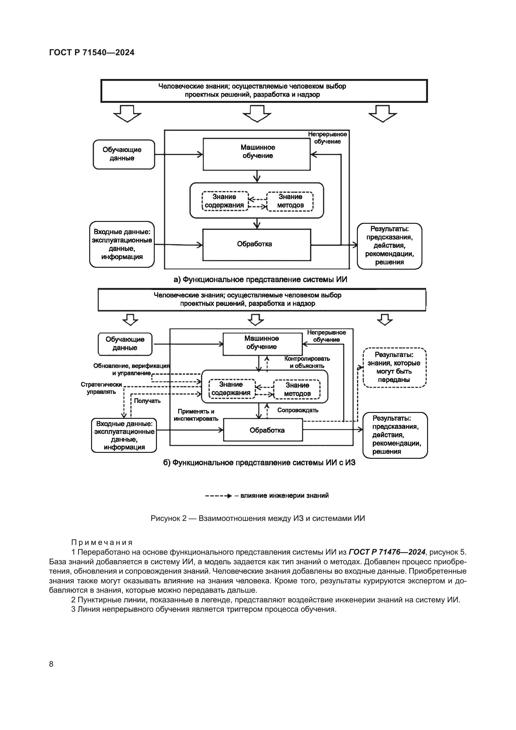
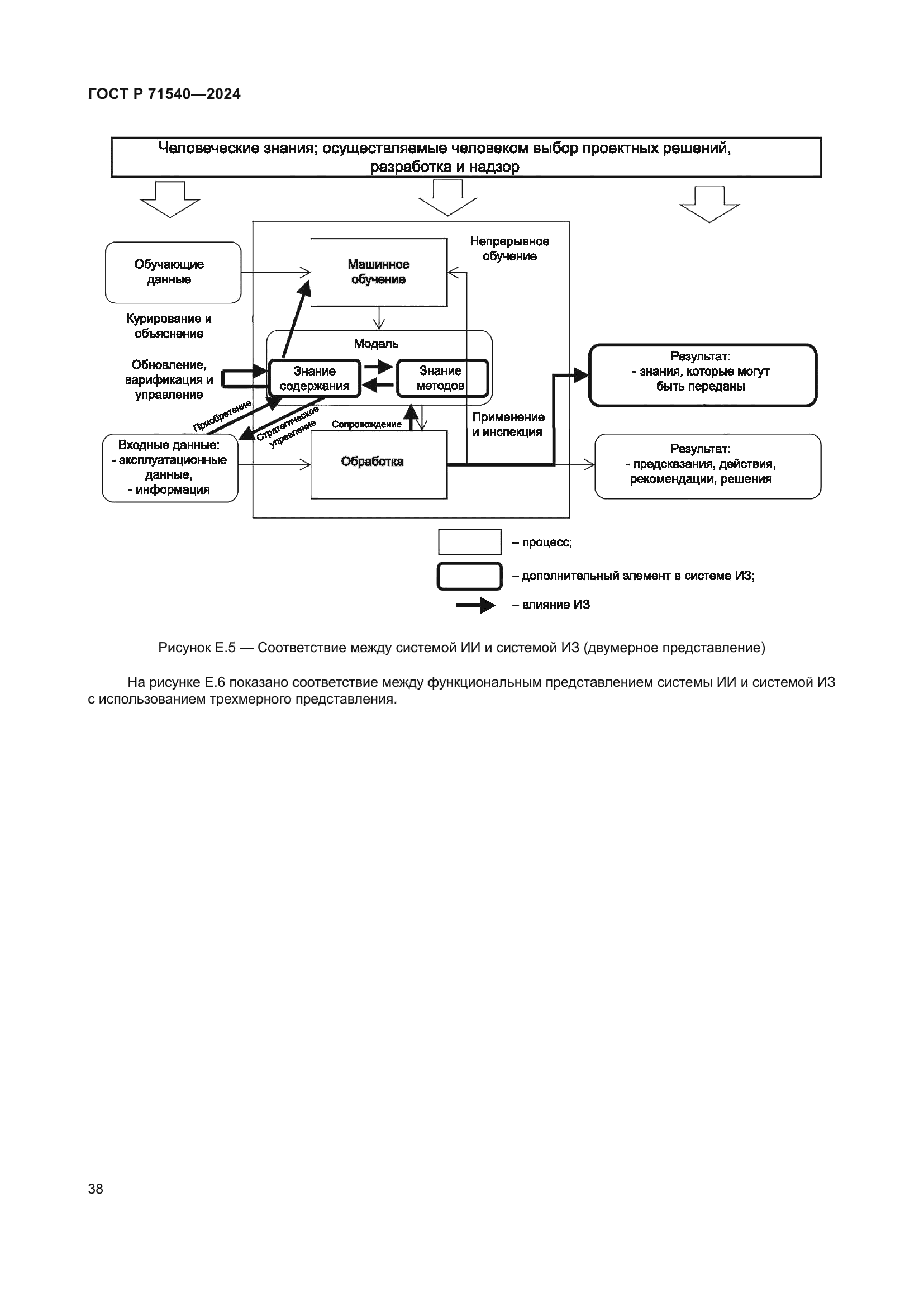
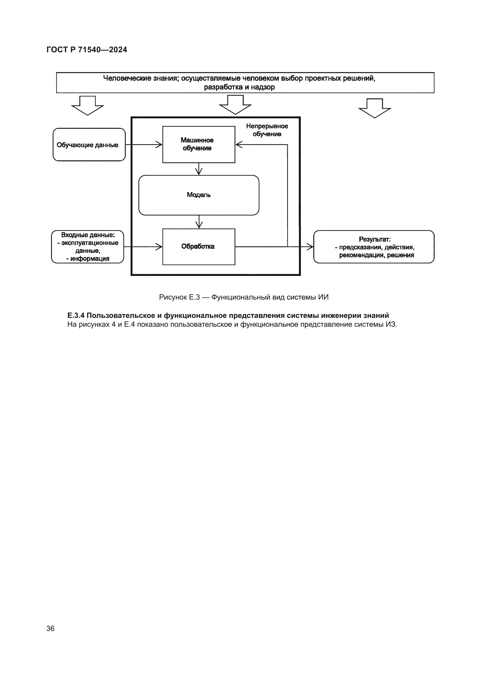
| Область применения: | Настоящий стандарт определяет эталонную архитектуру инженерии знаний в области искусственного интеллекта. Эталонная архитектура описывает роли в рамках инженерии знаний, действия, конструктивные уровни, компоненты и их отношения между собой и другими системами с точки зрения системного пользователя и функциональных представлений. Настоящий стандарт также содержит общий словарь инженерии знаний с определениями терминов инженерии знаний |
|