Скачать ГОСТ Р 71754.1-2024 Нанотехнологии. Определение структурных характеристик графена. Часть 1. Наноматериалы в форме порошков и суспензий, содержащие графенДата актуализации: 01.06.2025 ГОСТ Р 71754.1-2024
Нанотехнологии. Определение структурных характеристик графена. Часть 1. Наноматериалы в форме порошков и суспензий, содержащие графен
| Обозначение: |  ГОСТ Р 71754.1-2024 |
| Статус: | действующий |
| Название рус.: | Нанотехнологии. Определение структурных характеристик графена. Часть 1. Наноматериалы в форме порошков и суспензий, содержащие графен | | Название англ.: | Nanotechnologies. Determination of structural characteristics of graphene. Part 1. Nanomaterials in the form of powders and suspensions containing graphene | | Дата актуализации текста: | 01.12.2024 | | Дата актуализации описания: | 01.06.2025 | | Дата издания: | 07.11.2024 | | Дата введения: | 01.03.2025 | | Содержит требования: | ISO/TS 21356-1:2021 | | Нормативные ссылки: | ГОСТ 9805;ГОСТ ISO/TS 80004-1;ГОСТ ISO/TS 80004-2;ГОСТ ISO/TS 80004-6; ГОСТ Р 8.635; ГОСТ Р 8.636 | | Область применения: | Настоящий стандарт распространяется на наноматериалы, содержащие графен, выпускаемые в форме порошков и суспензий (далее – наноматериалы), и устанавливает методы измерений для определения структурных характеристик графена, в т. ч. 1LG-графена, 2LG-графена, FLG-графена и графеновых нанопластин (ГНП), как правило, после осаждения отдельных чешуек графена на подложке. В настоящем стандарте к структурным характеристикам графена отнесены: число слоев/толщины чешуек графена, линейные размеры чешуек графена, типы упаковки слоев, численная доля чешуек графена и удельная площадь поверхности наноматериала. Методы измерений, установленные в настоящем стандарте, включают в себя порядок проведения измерений, процедуры подготовки образцов, обработку и анализ полученных результатов | |
                                                  
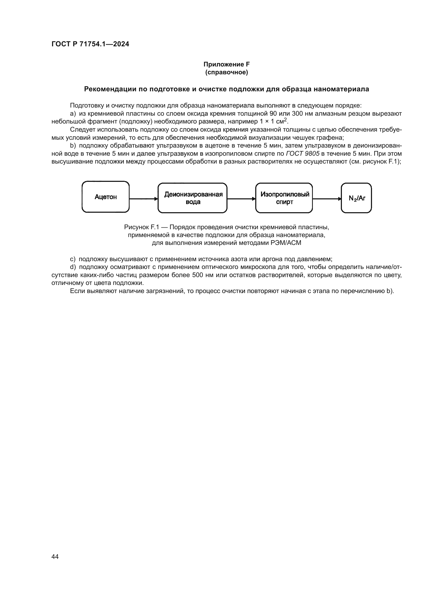
|