Скачать ГОСТ Р 58092.5.2-2024 Системы накопления электрической энергии (СНЭЭ). Безопасность систем, работающих в составе сети. Требования к СНЭЭ с подсистемами электрохимического аккумулирования энергииДата актуализации: 01.06.2025 ГОСТ Р 58092.5.2-2024
Системы накопления электрической энергии (СНЭЭ). Безопасность систем, работающих в составе сети. Требования к СНЭЭ с подсистемами электрохимического аккумулирования энергии
| Обозначение: |  ГОСТ Р 58092.5.2-2024 |
| Статус: | действующий |
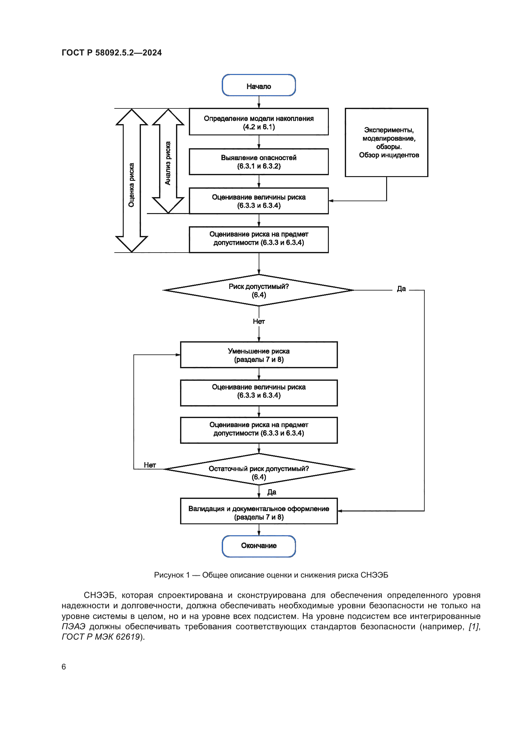
| Название рус.: | Системы накопления электрической энергии (СНЭЭ). Безопасность систем, работающих в составе сети. Требования к СНЭЭ с подсистемами электрохимического аккумулирования энергии | | Название англ.: | Electrical energy storage (EES) systems. Safety requirements for grid integrated EES systems. Requirements for energy storage systems with electrochemical accumulation subsystems | | Дата актуализации текста: | 01.12.2024 | | Дата актуализации описания: | 01.01.2025 | | Дата издания: | 17.09.2024 | | Дата введения: | 01.01.2025 | | Содержит требования: | IEC 62933-5-2(2020) | | Нормативные ссылки: | ГОСТ 14254; ГОСТ 30331.1; ГОСТ 31610.7-2017; ГОСТ 31610.13;ГОСТ IEC 60079-29-1;ГОСТ IEC 60079-29-2;ГОСТ IEC 60079-29-3;ГОСТ IEC 61000-6-7;ГОСТ IEC 62368-1;ГОСТ IEC/TS 61000-1-2; ГОСТ Р 27.012; ГОСТ Р 27.302; ГОСТ Р 27.303; ГОСТ Р 50571.16-2019; ГОСТ Р 50571.7.712; ГОСТ Р 50571.7.713; ГОСТ Р 50571-4-44; ГОСТ Р 52350.29.4; ГОСТ Р 58092.5.1-2018; ГОСТ Р 58593-2019; ГОСТ Р ИСО 1182; ГОСТ Р ИСО 9241-1; ГОСТ Р ИСО 9241-2; ГОСТ Р ИСО 9241-3; ГОСТ Р ИСО 9241-4; ГОСТ Р ИСО 9241-5; ГОСТ Р ИСО 9241-7; ГОСТ Р ИСО 9241-8; ГОСТ Р ИСО 9241-11; ГОСТ Р ИСО 9241-13; ГОСТ Р ИСО 9241-20; ГОСТ Р ИСО 9241-110; ГОСТ Р ИСО 9241-129; ГОСТ Р ИСО 9241-151; ГОСТ Р ИСО 9241-154; ГОСТ Р ИСО 9241-161; ГОСТ Р ИСО 9241-210; ГОСТ Р ИСО 9241-300; ГОСТ Р ИСО 9241-302; ГОСТ Р ИСО 9241-303; ГОСТ Р ИСО 9241-304; ГОСТ Р ИСО 9241-305; ГОСТ Р ИСО 9241-306; ГОСТ Р ИСО 9241-307; ГОСТ Р ИСО 9241-400; ГОСТ Р ИСО 9241-910; ГОСТ Р ИСО 9241-920; ГОСТ Р МЭК 60617-DB-12M; ГОСТ Р МЭК 60664.1-2012; ГОСТ Р МЭК 62305-2; ГОСТ Р МЭК 62485-2; ГОСТ Р МЭК 62619-2023; ГОСТ Р МЭК 62932-1-2022 | | Область применения: | Настоящий стандарт распространяется на системы накопления электрической энергии (СНЭЭ), подключенные к электрической сети, в которых использована подсистема электрохимического аккумулирования энергии (системы накопления электрической энергии батарейные, СНЭЭБ), и устанавливает требования безопасности, учитывающие особенности применяемых в них электрохимических систем, которые выходят за рамки общих требований безопасности, установленных в ГОСТ Р 58092.5.1, прежде всего в отношении пользователей, а также касательно аспектов, связанных с окружающей средой и живыми организмами. Настоящий стандарт безопасности применим ко всему жизненному циклу СНЭЭБ (от проектирования до завершения срока службы) и устанавливает требования безопасности СНЭЭБ как системы для снижения риска вреда или ущерба, которые могут быть вызваны опасностями подсистемы электрохимического аккумулирования энергии (ПЭАЭ), возникающими при взаимодействии между подсистемами СНЭЭБ, как это понимается в настоящее время | |
                                                            
|