Скачать ГОСТ Р 71303-2024 Системная и программная инженерия. Возможности программных инструментариев для организационного управления инцидентами. Общие положенияДата актуализации: 01.06.2025 ГОСТ Р 71303-2024
Системная и программная инженерия. Возможности программных инструментариев для организационного управления инцидентами. Общие положения
| Обозначение: |  ГОСТ Р 71303-2024 |
| Статус: | действующий |
| Название рус.: | Системная и программная инженерия. Возможности программных инструментариев для организационного управления инцидентами. Общие положения | | Название англ.: | Systems and software engineering. Capabilities of software tools for оrganizational incident management. General provision | | Дата актуализации текста: | 01.12.2024 | | Дата актуализации описания: | 01.12.2024 | | Дата издания: | 03.07.2024 | | Дата введения: | 30.09.2024 | | Нормативные ссылки: | ГОСТ Р 51583; ГОСТ Р 53647.1; ГОСТ Р 54145; ГОСТ Р 56920; ГОСТ Р 57193; ГОСТ Р 57272.1; ГОСТ Р 58494; ГОСТ Р 58539; ГОСТ Р 58609; ГОСТ Р 59337-2021; ГОСТ Р 59338-2021; ГОСТ Р 59339-2021; ГОСТ Р 59346-2021; ГОСТ Р 59355-2021; ГОСТ Р 59356-2021; ГОСТ Р 59989; ГОСТ Р 59990-2022; ГОСТ Р 59991-2022; ГОСТ Р 59994-2022; ГОСТ Р ИСО 13381-1; ГОСТ Р ИСО/МЭК 12207; ГОСТ Р ИСО/МЭК 15414; ГОСТ Р ИСО/МЭК 20000-1; ГОСТ Р МЭК 61069-2; ГОСТ Р МЭК 61069-6; ГОСТ Р МЭК 61508-1; ГОСТ Р МЭК 61508-7; ГОСТ Р МЭК 62508 | | Область применения: | Настоящий стандарт сфокусирован на описании возможностей программных инструментариев для поддержки организационного управления инцидентами. При этом под инцидентом понимается отклонение или неожиданное событие, множество событий, условия или ситуация в любое время во время жизненного цикла проекта, продукции, услуги или системы (см. 3.1). Такие возможности программных инструментариев востребованы и на практике реализуются в рамках процессов оценки и контроля проекта, управления решениями, определения требований к системе, управления качеством, гарантии качества, управления рисками, функционирования, сопровождения систем по ГОСТ Р 57193, решения проблем в программных средствах по ГОСТ Р ИСО/МЭК 12207, управления инцидентами и запросами на обслуживание, управления проблемами по ГОСТ Р ИСО/МЭК 20000-1 | |
                              
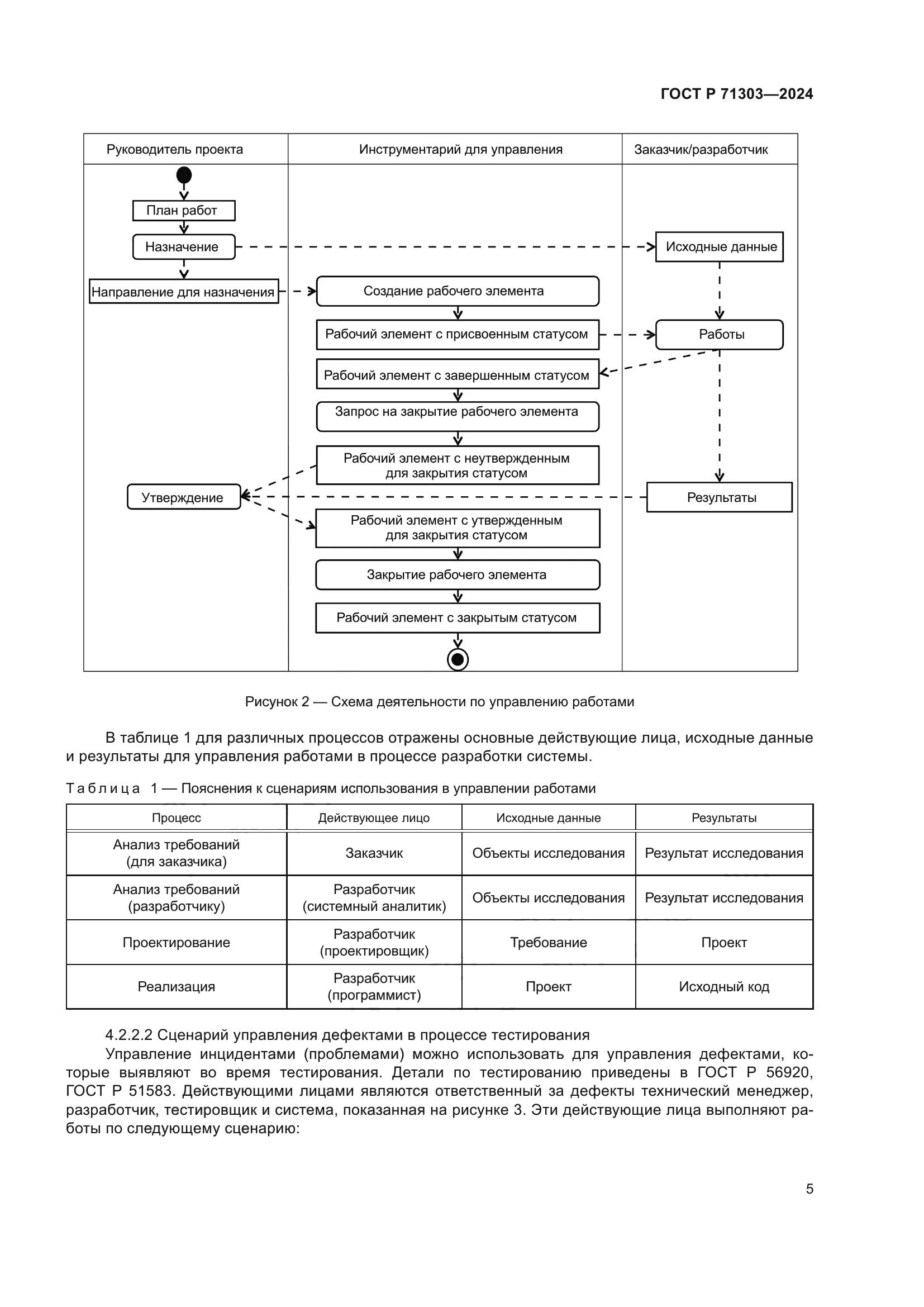
|