| Обозначение: |  ГОСТ Р 71381-2024 |
| Статус: | действующий |
| Название рус.: | Резонаторы кварцевые. Методы измерения ослабления нежелательных резонансов |
| Название англ.: | Quartz resonators.Methods for measuring attenuation of unwanted resonances |
| Дата актуализации текста: | 01.06.2024 |
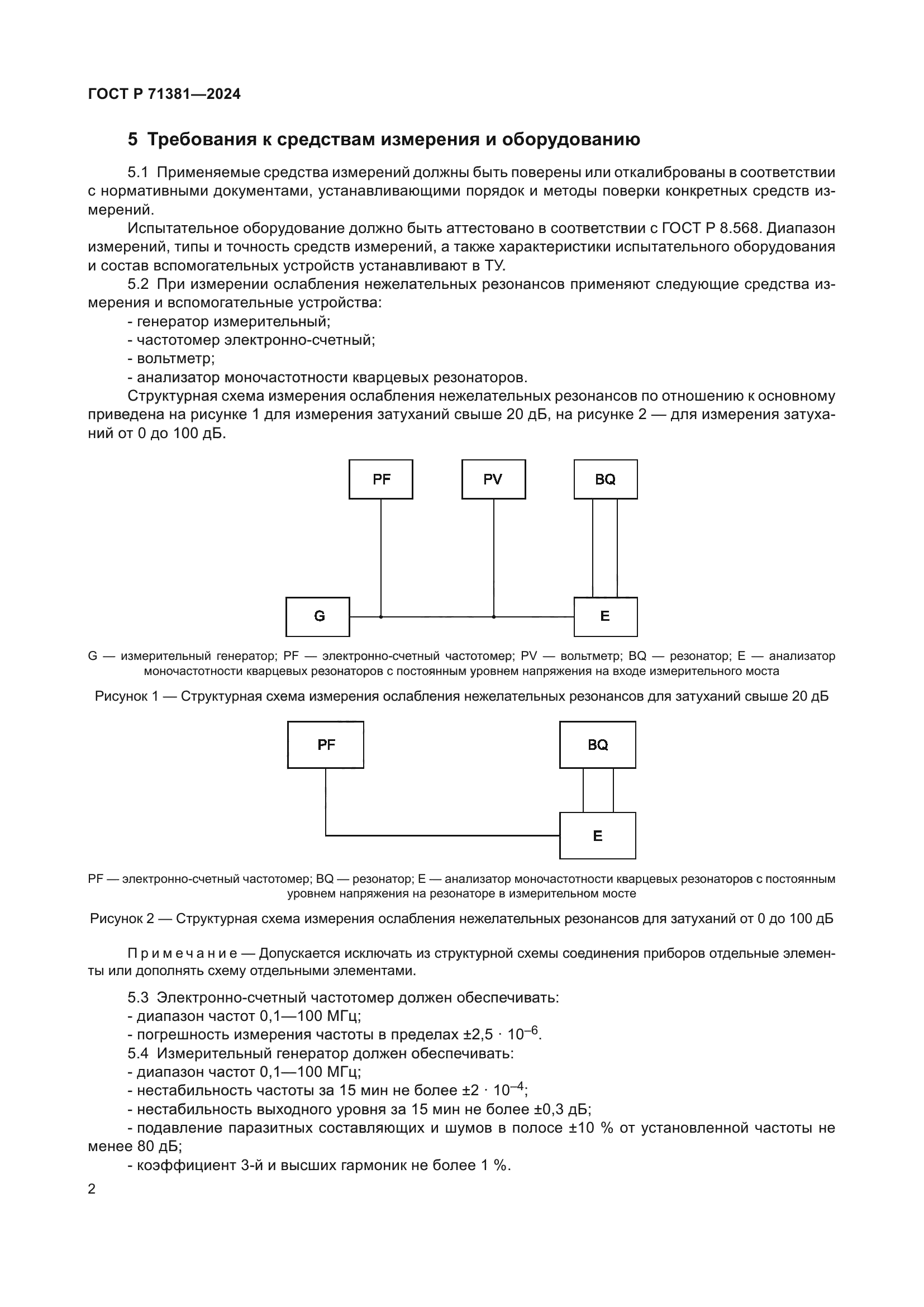
| Дата актуализации описания: | 01.06.2025 |
| Дата издания: | 20.05.2024 |
| Дата введения: | 01.03.2025 |
| Нормативные ссылки: | ГОСТ Р 8.568; ГОСТ Р 57438; ГОСТ Р 71286 |
| Область применения: | Настоящий стандарт распространяется на кварцевые резонаторы (далее – резонаторы) в диапазоне частот 0,1 – 100 МГц и устанавливает метод измерения ослабления нежелательных резонансов по отношению к основному |
|