| Обозначение: |  ГОСТ ISO 13679-2023 |
| Статус: | действующий |
| Название рус.: | Трубы стальные обсадные и насосно-компрессорные для нефтяной и газовой промышленности. Методы испытаний резьбовых соединений |
| Название англ.: | Casing and tubing steel pipes for the oil and gas industry. Procedures of thread connection testing |
| Дата актуализации текста: | 01.01.2026 |
| Дата актуализации описания: | 01.12.2024 |
| Дата регистрации: | 15.12.2023 |
| Дата издания: | 16.04.2024 |
| Дата введения: | 01.06.2024 |
| Аутентичен стандартам: | ISO 13679:2019 |
| Нормативные ссылки: | ISO 3183;ISO 11960;API RP 5C5:2017 |
| Область применения: | Настоящий стандарт устанавливает методы испытаний стойкости к образованию задиров при свинчивании, уплотнительных свойств и конструктивной прочности резьбовых соединений обсадных и насосно-компрессорных труб, применяемых для общих условий эксплуатации, без учета наружного диаметра труб. Настоящий стандарт включает испытания резьбовых соединений, применяемых в наиболее распространенных условиях, и не распространяется на применение резьбовых соединений в любых условиях, например, в агрессивных средах, которые могут повлиять на эксплуатационные характеристики резьбовых соединений. Настоящий стандарт дополняет API RP 5C5:2017, требования которого применяют, если в настоящем стандарте не указано иное |
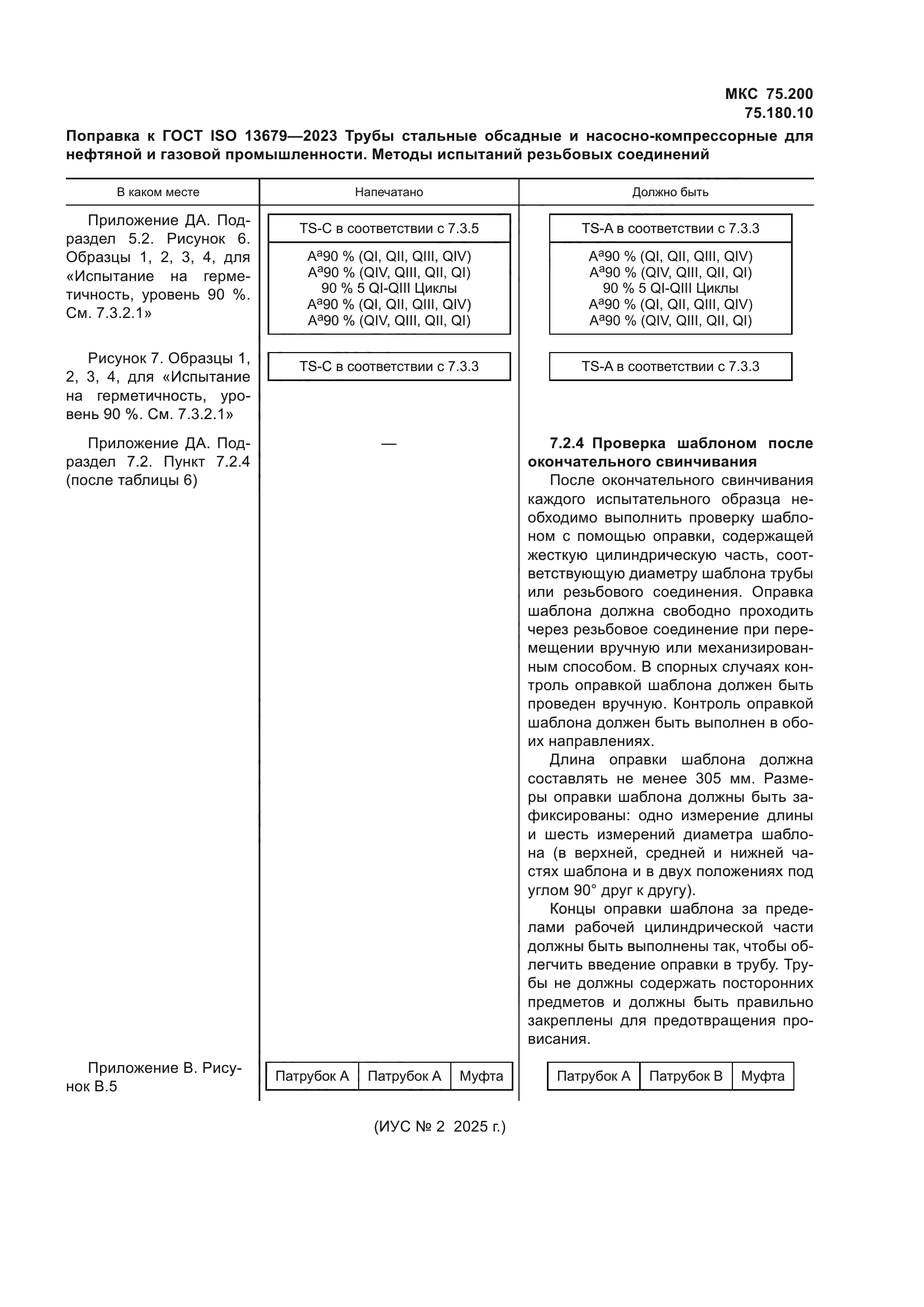
| Приложение №1: | Поправка к ГОСТ ISO 13679-2023 |
| Приложение №2: | Поправка к ГОСТ ISO 13679-2023 |
| Приложение №3: | Поправка к ГОСТ ISO 13679-2023 |
|