| Обозначение: |  ГОСТ Р 8.1034-2024 |
| Статус: | действующий |
| Название рус.: | Бериллий. Температурный коэффициент линейного расширения и удельная теплоемкость в диапазоне температур от 260 К до 870 К |
| Название англ.: | Beryllium. Temperature coefficient of linear expansion and specific heat in the temperature range from 260 K to 870 K |
| Дата актуализации текста: | 01.06.2024 |
| Дата актуализации описания: | 01.12.2024 |
| Дата издания: | 11.03.2024 |
| Дата введения: | 01.12.2024 |
| Нормативные ссылки: | ГОСТ 34100.3 |
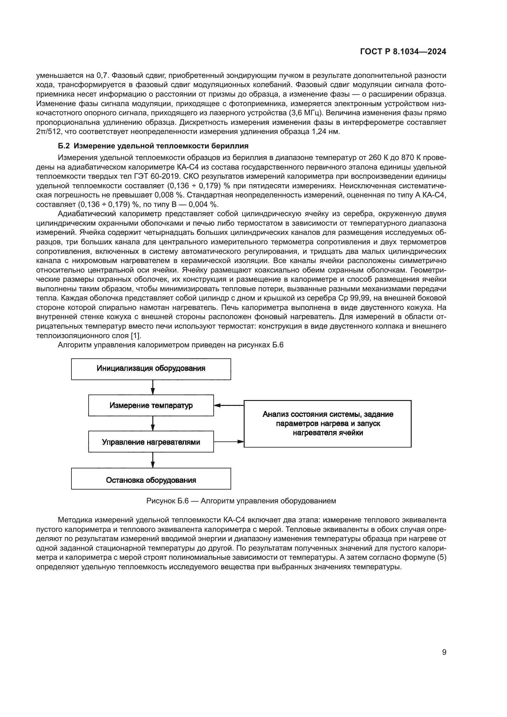
| Область применения: | Настоящий стандарт распространяется на стандартные справочные данные (ССД) о температурном коэффициенте линейного расширения (ТКЛР) и удельной теплоемкости бериллия в диапазоне температуры от 260 К до 870 К. Характеристики исследуемого материала приведены в приложении А. Описание оборудования представлено в приложении Б |
|