| Обозначение: |  ГОСТ Р 51330.11-99 |
| Статус: | отменён |
| Название рус.: | Электрооборудование взрывозащищенное. Часть 12. Классификация смесей газов и паров с воздухом по безопасным экспериментальным максимальным зазорам и минимальным воспламеняющим токам |
| Название англ.: | Explosionprotected electrical apparatus. Part 12. Classification of mixtures of gases or vapours with air according to their maximum experimental safe gaps and minimum igniting currents |
| Дата актуализации текста: | 06.04.2015 |
| Дата актуализации описания: | 01.07.2023 |
| Дата издания: | 01.02.2003 |
| Дата введения: | 01.01.2001 |
| Дата окончания срока действия: | 15.02.2014 |
| Содержит требования: | IEC 60079-12(1978) |
| На территории РФ пользоваться: | ГОСТ 30852.11-2002 |
| Нормативные ссылки: | ГОСТ Р 51330.2-99; ГОСТ Р 51330.4-99 |
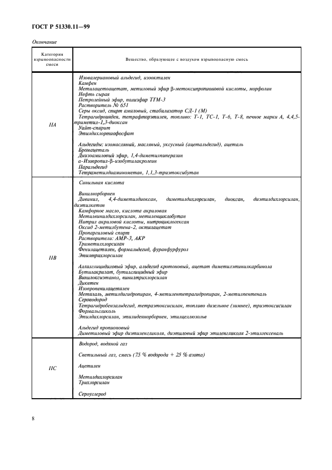
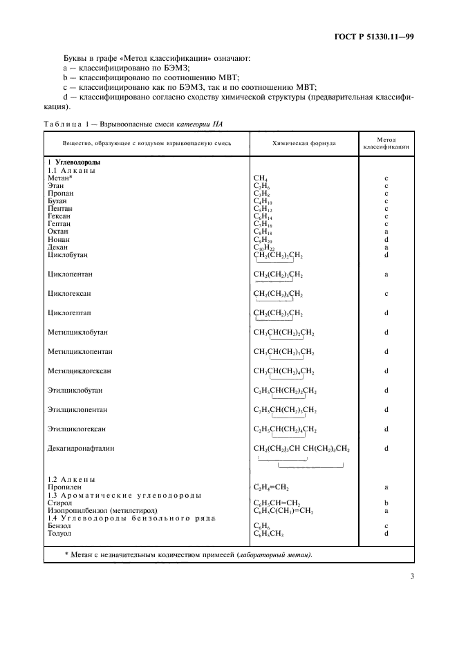
| Область применения: | Настоящий стандарт устанавливает классификацию наиболее часто применяемых взрывоопасных смесей газов и паров с воздухом по безопасным экспериментальным максимальным зазорам и минимальным воспламеняющим токам |
| Список изменений: | №0 от 15.02.2014 (рег. 29.11.2012) «Текстовое изменение; Изменено заглавие» |
|