| Обозначение: |  ГОСТ Р 56845-2019 |
| Статус: | действующий |
| Название рус.: | Информатизация здоровья. Обмен данными с персональными медицинскими приборами. Часть 20601. Прикладной профиль. Оптимизированный протокол обмена |
| Название англ.: | Health informatics. Personal health device communication. Part 20601. Application profile. Optimized exchange protocol |
| Дата актуализации текста: | 01.06.2022 |
| Дата актуализации описания: | 01.07.2023 |
| Дата издания: | 25.10.2019 |
| Дата введения: | 01.05.2020 |
| Взамен: | ГОСТ Р 56845-2015 |
| Аутентичен стандартам: | ISO/IEEE 11073-20601:2016 |
| Нормативные ссылки: | ISO/IEC 80000-13:2008;ИИЭР 802®-2014;ИИЭР 1541™-2008;ITU-T Rec. X.667 |
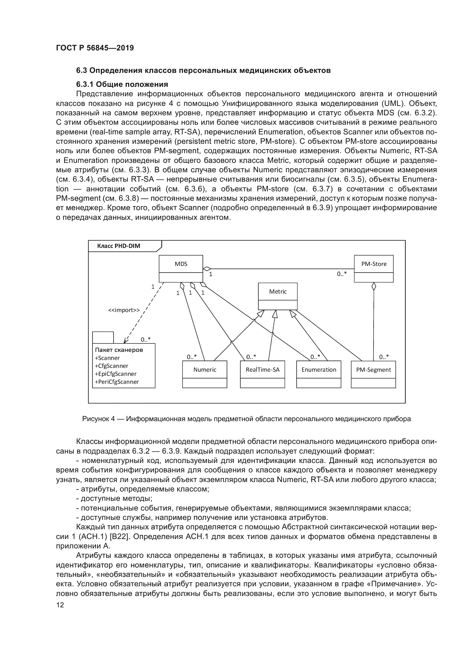
| Область применения: | В контексте серии стандартов ИСО/ИИЭР 11073, посвященных персональным медицинским приборам, настоящий стандарт определяет оптимизированный протокол обмена и методы моделирования, которые будут использоваться разработчиками персональных медицинских приборов для обеспечения интероперабельности между типами приборов разных изготовителей. построения абстрактной модели персональной медицинской информации с помощью транспортно-независимого синтаксиса передачи, необходимого для формирования логических соединений между системами и предоставления возможностей и служб представления, необходимых для выполнения задач коммуникации. Протокол оптимизирован с учетом требований, предъявляемых к использованию персональной медицинской информации и, по возможности, использует общеупотребительные методы и средства |
|