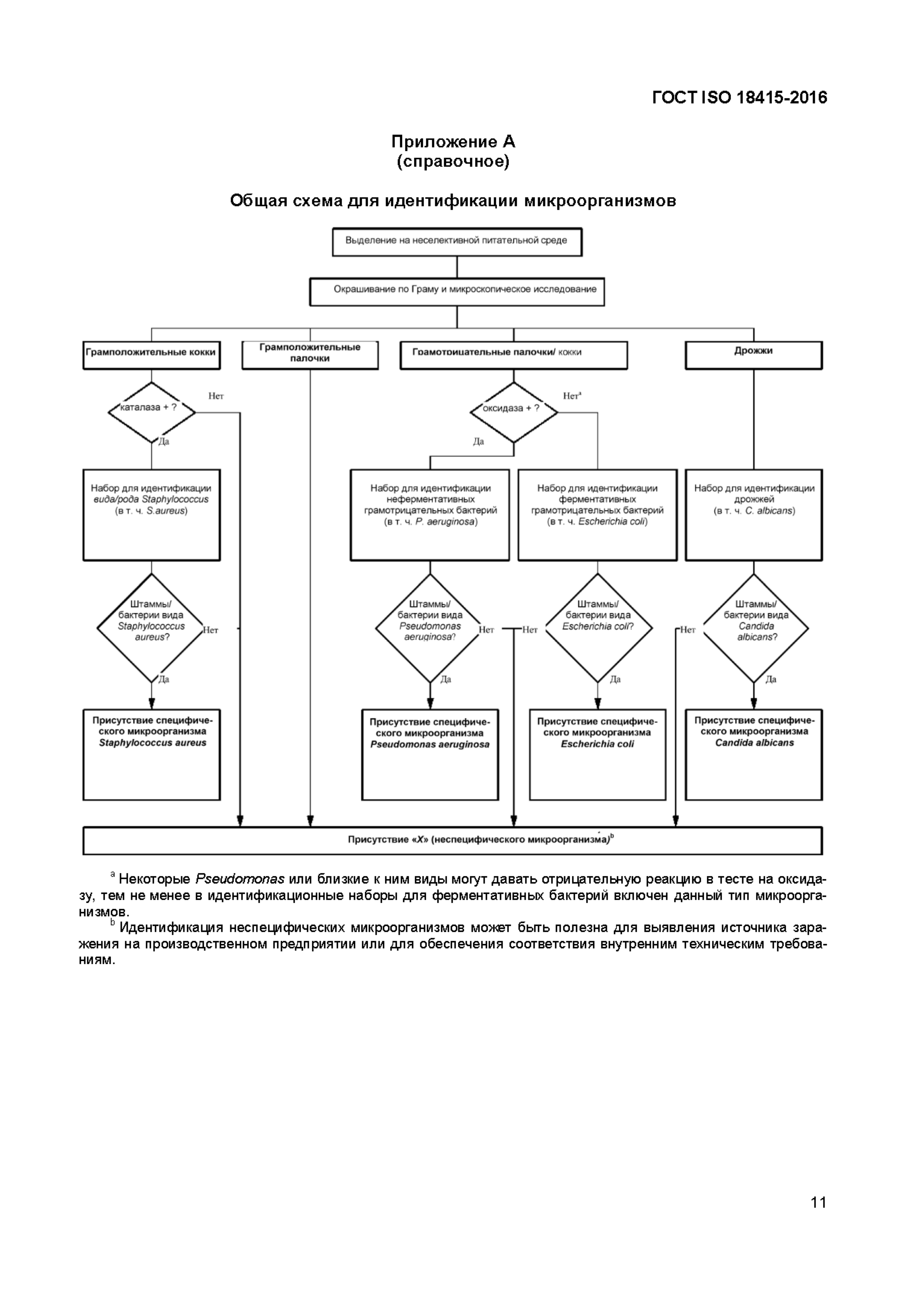
Скачать ГОСТ ISO 18415-2016 Продукция парфюмерно-косметическая. Микробиология. Обнаружение специфических и неспецифических микроорганизмовДата актуализации: 01.06.2025 ГОСТ ISO 18415-2016
Продукция парфюмерно-косметическая. Микробиология. Обнаружение специфических и неспецифических микроорганизмов
| Обозначение: |  ГОСТ ISO 18415-2016 |
| Статус: | утверждён |
| Название рус.: | Продукция парфюмерно-косметическая. Микробиология. Обнаружение специфических и неспецифических микроорганизмов | | Дата актуализации текста: | 01.01.2019 | | Дата актуализации описания: | 01.01.2019 | | Дата введения: | 01.04.2017 | |
                    
|