| Обозначение: |  ГОСТ ISO 19860-2017 |
| Статус: | действующий |
| Название рус.: | Турбины газовые. Сбор данных и требования к системе контроля изменений для газотурбинных установок |
| Название англ.: | Gas turbines. Data acquisition and trend monitoring system requirements for gas turbine installations |
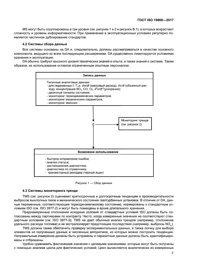
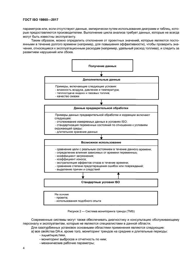
| Дата актуализации текста: | 01.01.2019 |
| Дата актуализации описания: | 01.07.2023 |
| Дата регистрации: | 30.11.2017 |
| Дата издания: | 24.10.2018 |
| Дата введения: | 01.06.2019 |
| Аутентичен стандартам: | ISO 19860:2005 |
| Нормативные ссылки: | ISO 2314:1989;ISO 3977-2:1997;ISO 13373-1:2002 |
| Область применения: | Настоящий стандарт распространяется на сбор данных и требования к системе контроля для газотурбинных установок и связанных с ними систем. Настоящий стандарт классифицирует и определяет системы мониторинга и соответствующие технические термины. Настоящий стандарт устанавливает систему для преобразования и проверки достоверности измеренных величин с целью сравнения различных систем, их особенностей и характеристик |
|