| Обозначение: |  ГОСТ Р 58210-2018 |
| Статус: | действующий |
| Название рус.: | Информационные технологии. Сети будущего. Формулировка проблем и требования. Часть 1. Общие аспекты |
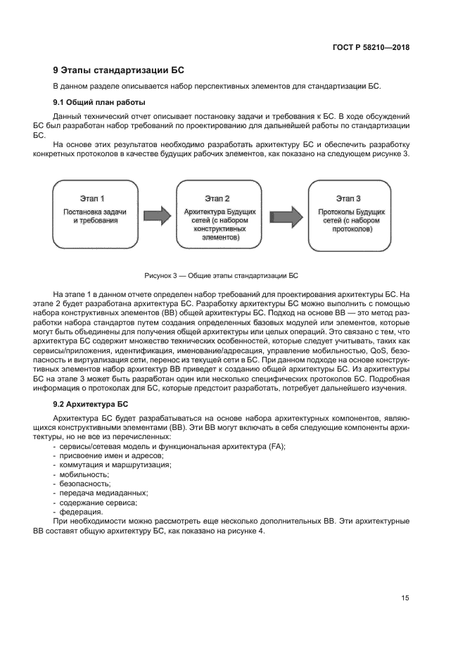
| Название англ.: | Information technology. Future Network. Problem statement and requirements. Part 1. Overall aspects |
| Дата актуализации текста: | 01.01.2021 |
| Дата актуализации описания: | 01.01.2021 |
| Дата издания: | 24.09.2018 |
| Дата введения: | 01.02.2019 |
| Аутентичен стандартам: | ISO/IEC TR 29181-1:2012 |
| Область применения: | Настоящий стандарт дает определение, описывает общую концепцию, проблемы и требования для Будущих сетей (БС). В нем также рассматривается этап стандартизации БС. В содержание этого стандарта также входят: - причины, по которым БС необходимы; - определение, общая концепция и терминология БС; - сервисы и приложения в БС; - проблемы существующих сетей; - цели для проектирования и требования высокого уровня к БС; - этапы для стандартизации БС |
|