| Обозначение: |  ГОСТ Р 58142-2018 |
| Статус: | действующий |
| Название рус.: | Информационная технология. Методы и средства обеспечения безопасности. Детализация анализа уязвимостей программного обеспечения в соответствии с ГОСТ Р ИСО/МЭК 15408 и ГОСТ Р ИСО/МЭК 18045. Часть 1. Использование доступных источников для идентификации потенциальных уязвимостей |
| Название англ.: | Information technology. Security techniques. Refining software vulnerability analysis under GOST R ISO/IEC 15408 and GOST R ISO/IEC 18045. Part 1. Using of available information for identification of potential vulnerabilities |
| Дата актуализации текста: | 17.09.2018 |
| Дата актуализации описания: | 01.07.2023 |
| Дата издания: | 29.05.2018 |
| Дата введения: | 01.11.2018 |
| Нормативные ссылки: | ГОСТ Р ИСО/МЭК 15408-3 ; ГОСТ Р ИСО/МЭК 18045 ; ГОСТ Р 56545; ГОСТ Р 56546; ГОСТ Р 58143-2018 |
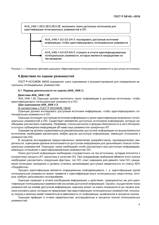
| Область применения: | Настоящий стандарт уточняет действия оценщика, определенные семейством доверия AVA_VAN ГОСТ Р ИСО/МЭК 18045, и представляет детализированное руководство по идентификации актуальных потенциальных уязвимостей при проведении оценки объекта оценки в соответствии с ГОСТ Р ИСО/МЭК 15408. В настоящем стандарте используется классификация уязвимостей в соответствии с ГОСТ Р 56546 и описание уязвимостей в соответствии с ГОСТ Р 56545 |
|