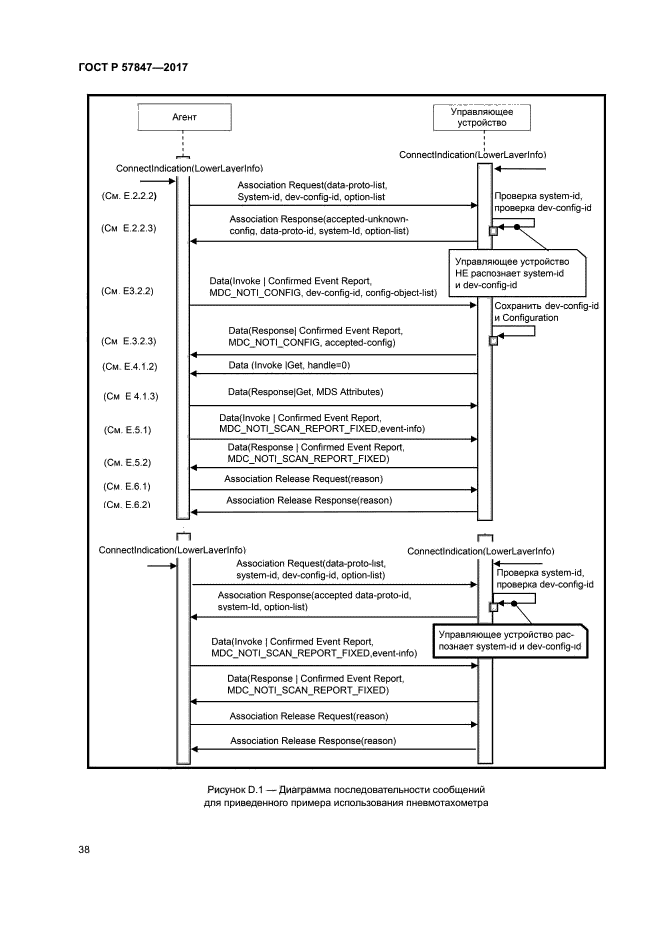
Скачать ГОСТ Р 57847-2017 Информатизация здоровья. Связь с медицинскими приборами индивидуального контроля состояния здоровья. Часть 10421. Специализация прибора. ПневмотахометрДата актуализации: 01.06.2025 ГОСТ Р 57847-2017
Информатизация здоровья. Связь с медицинскими приборами индивидуального контроля состояния здоровья. Часть 10421. Специализация прибора. Пневмотахометр
| Обозначение: |  ГОСТ Р 57847-2017 |
| Статус: | действующий |
| Название рус.: | Информатизация здоровья. Связь с медицинскими приборами индивидуального контроля состояния здоровья. Часть 10421. Специализация прибора. Пневмотахометр | | Название англ.: | Health informatics. Personal health device communication. Part 10421. Device specialization. Peak expiratory flow monitor | | Дата актуализации текста: | 01.01.2018 | | Дата актуализации описания: | 01.01.2021 | | Дата издания: | 29.11.2017 | | Дата введения: | 01.07.2019 | | Аутентичен стандартам: | ISO/IEEE 11073-10421:2012 | | Нормативные ссылки: | IEEE Std 11073-20601-2008 | | Область применения: | Требования настоящего стандарта распространяются на нормативное определение взаимосвязи между индивидуальными приборами мониторинга максимальной скорости выдоха (агентами) и управляющими устройствами (например, сотовыми телефонами, персональными компьютерами, индивидуальными медицинскими приборами или цифровыми приставками), обеспечивающей интероперабельность с автоматическим конфигурированием. В настоящем стандарте использованы материалы из других стандартов комплекса ISO/IEEE 11073, включая терминологию, информационные модели, стандарты прикладных профилей и стандарты транспортного уровня. Настоящий стандарт определяет использование кодировки специальных терминов, форматов и режимов работы в условиях применения средств телемедицины, ограничивающих возможности базовых конфигураций для обеспечения интероперабельности. Настоящий стандарт определяет общую основу функциональности пневмотахометра. Область применения настоящего стандарта ограничена индивидуальным контролем дыхания, и поэтому не включает спирометрию, применяемую в больницах. Требования настоящего стандарта не распространяются на непрерывный мониторинг и мониторинг в острый период болезни (например при оказании экстренной помощи). Среди приборов индивидуального контроля состояния здоровья, пневмотахометр является прибором, предназначенным для измерения дыхательной функции при таких респираторных заболеваниях, как астма и легочное закупоривание. Способность выявить ухудшение респираторного состояния до того, как возникнет необходимость экстренного вмешательства, повышает качество жизни человека при снижении общей стоимости лечения. Данные о респираторном состоянии накапливаются в персональном приборе мониторинга дыхания и направляются в центральный депозитарий данных для анализа и выполнения необходимых действий лечащим врачом. Эти данные по своей природе являются нерегулярными и передаются через определенные интервалы времени или при возникновении симптомов у пациента. Настоящий стандарт определяет моделирование данных и их промежуточный транспортный уровень согласно IEEE 11073-20601-2008, но не определяет метод измерения | |
                                                    
|