Скачать ГОСТ 34100.1-2017 Неопределенность измерения. Часть 1. Введение в руководства по выражению неопределенности измерения

Дата актуализации: 01.06.2025

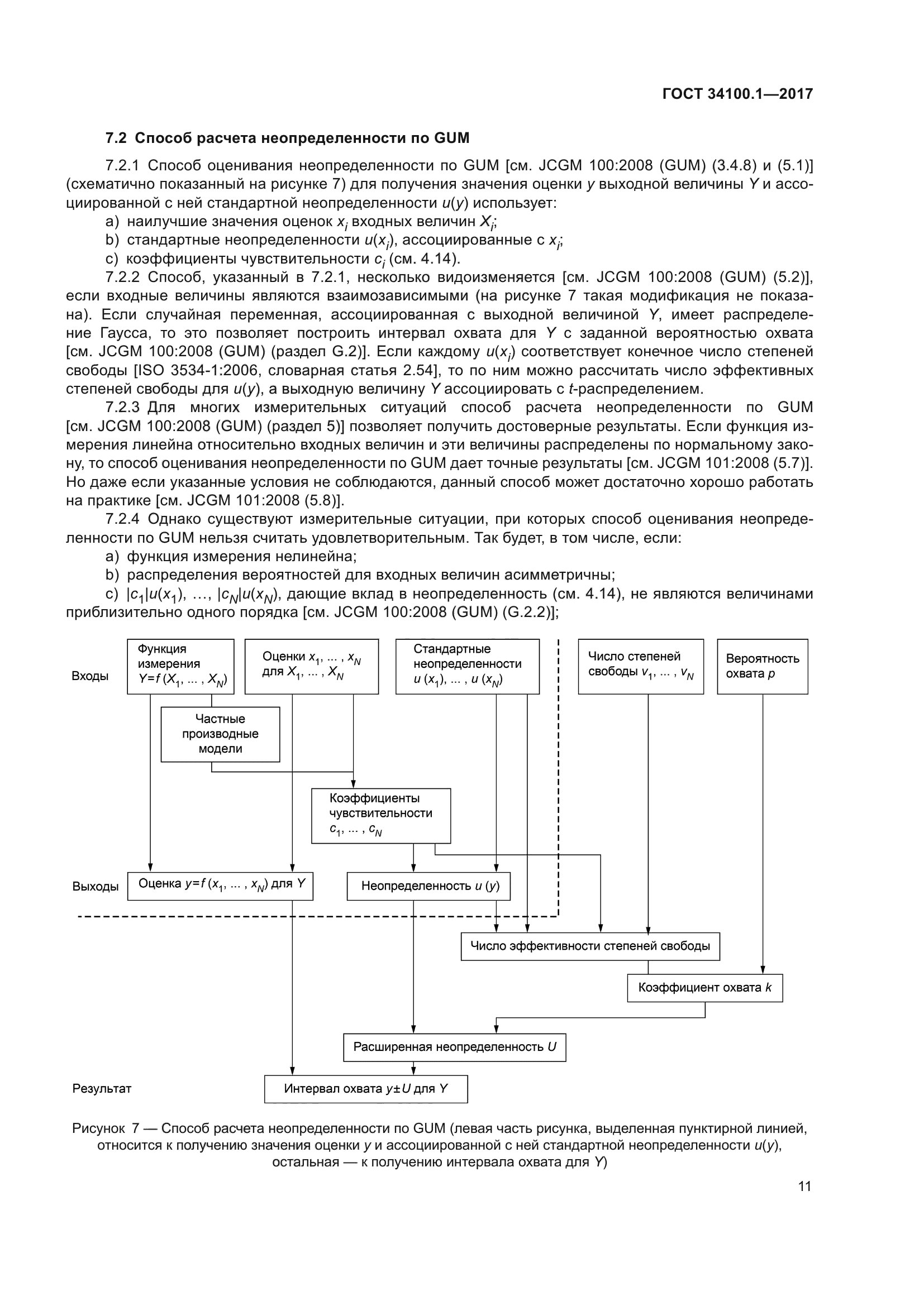
ГОСТ 34100.1-2017

Неопределенность измерения. Часть 1. Введение в руководства по выражению неопределенности измерения

Обозначение: ГОСТ 34100.1-2017
Статус:действующий
Название рус.:Неопределенность измерения. Часть 1. Введение в руководства по выражению неопределенности измерения
Название англ.:Uncertainty of measurement. Part 1. Introduction to guides on the expression of uncertainty in measurement
Дата актуализации текста:01.01.2024
Дата актуализации описания:01.01.2024
Дата регистрации:14.07.2017
Дата издания:28.06.2018
Дата введения:01.09.2018
Аутентичен стандартам:ISO/IEC Guide 98-1:2009
Нормативные ссылки:ISO 3534-1:2006;ISO 3534-2:2006;ISO 3534-3:2013;JCGM 100:2008;JCGM 101:2008;JCGM 200:2008;JCGM 102;JCGM 103;JCGM 104;JCGM 105;JCGM 106;JCGM 107
Область применения:Настоящий документ подготовлен Объединенным комитетом по руководствам в метрологии (JCGM) с целью продвижения идей оценивания неопределенности измерения, изложенных в «Руководстве по выражению неопределенности измерения» (GUM), и в качестве вводного руководства по применению дополнений к GUM (далее при ссылках - JCGM 100:2008 (GUM)), включая JCGM 101:2008, а также другим документам, разрабатываемым JCGM (см. [3], [4], [5], [6], [7]). Как и JCGM 100:2008, настоящий документ, в первую очередь, рассматривает выражение неопределенности измерения хорошо определенной величины, характеризуемой единственным истинным значением (JCGM 200:2008 (VIM), словарная статья 2.11, примечание 3) и называемой измеряемой величиной (JCGM 200:2008 (VIM), словарная статья 2.3). В JCGM 100:2008 (GUM) приведены обоснования, почему не рекомендуется использовать термин «истинное значение», однако в настоящем документе этот термин рассматривается для предотвращения возможных неясностей или путаницы с его применением
Приложение №1:Поправка к ГОСТ 34100.1-2017
ГОСТ 34100.1-2017ГОСТ 34100.1-2017ГОСТ 34100.1-2017ГОСТ 34100.1-2017ГОСТ 34100.1-2017ГОСТ 34100.1-2017ГОСТ 34100.1-2017ГОСТ 34100.1-2017ГОСТ 34100.1-2017ГОСТ 34100.1-2017ГОСТ 34100.1-2017ГОСТ 34100.1-2017ГОСТ 34100.1-2017ГОСТ 34100.1-2017ГОСТ 34100.1-2017ГОСТ 34100.1-2017ГОСТ 34100.1-2017ГОСТ 34100.1-2017ГОСТ 34100.1-2017ГОСТ 34100.1-2017ГОСТ 34100.1-2017ГОСТ 34100.1-2017ГОСТ 34100.1-2017ГОСТ 34100.1-2017ГОСТ 34100.1-2017ГОСТ 34100.1-2017ГОСТ 34100.1-2017ГОСТ 34100.1-2017ГОСТ 34100.1-2017

Поправка к ГОСТ 34100.1-2017

Обозначение:Поправка к ГОСТ 34100.1-2017
Дата введения:28.07.2023


Поправка к ГОСТ 34100.1-2017