Скачать ГОСТ Р 57440-2017 Конденсаторы. Классификация и система условных обозначенийДата актуализации: 01.06.2025 ГОСТ Р 57440-2017
Конденсаторы. Классификация и система условных обозначений
| Обозначение: |  ГОСТ Р 57440-2017 |
| Статус: | действующий |
| Название рус.: | Конденсаторы. Классификация и система условных обозначений | | Дата актуализации текста: | 01.01.2021 | | Дата актуализации описания: | 01.07.2023 | | Дата издания: | 02.05.2017 | | Дата введения: | 01.08.2017 | | Нормативные ссылки: | ГОСТ 15150; ГОСТ 28884; ГОСТ Р 57437-2017 | | Область применения: | Настоящий стандарт распространяется на конденсаторы, применяемые в радиоэлектронной аппаратуре, и устанавливает их классификацию и систему условных обозначений. Настоящий стандарт не распространяется на конденсаторы, разработанные до срока введения его в действие, условные обозначения которых отличаются от установленных настоящим стандартом. Настоящий стандарт предназначен для применения предприятиями, организациями и другими субъектами научной и хозяйственной деятельности независимо от форм собственности и подчинения, а также федеральными органами исполнительной власти Российской Федерации, участвующими в разработке, производстве, эксплуатации конденсаторов в соответствии с действующим законодательством | |
         
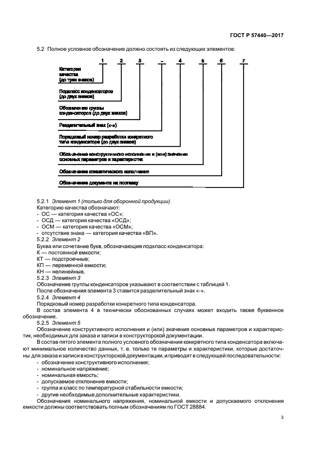
|