| Обозначение: |  ГОСТ 33984.1-2016 |
| Статус: | заменён |
| Название рус.: | Лифты. Общие требования безопасности к устройству и установке. Лифты для транспортирования людей или людей и грузов |
| Дата актуализации текста: | 01.01.2021 |
| Дата актуализации описания: | 01.12.2024 |
| Дата регистрации: | 22.11.2016 |
| Дата издания: | 13.02.2019 |
| Дата введения: | 01.11.2018 |
| Дата окончания срока действия: | 01.11.2024 |
| Заменяющий: | ГОСТ 33984.1-2023 |
| Содержит требования: | EN 81-20:2014 |
| Нормативные ссылки: | ГОСТ 14254-2015; ГОСТ 28549.5-90; ГОСТ 33605-2015;ГОСТ EN 12385-5-2014;ГОСТ ISO 13857-2012;ГОСТ ISO 14798;ГОСТ IEC 60227-6-2011;ГОСТ IEC 60245-5-2011 |
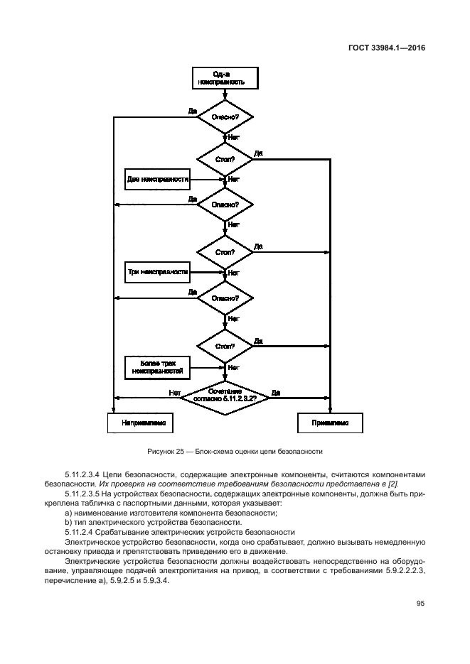
| Область применения: | Настоящий стандарт устанавливает общие требования безопасности к устройству и установке в зданиях, сооружениях новых пассажирских и грузопассажирских лифтов (грузовых лифтов, в которых транспортирование грузов осуществляется в сопровождении людей) с приводом трения, приводом с барабаном или звездочкой и гидравлических лифтов |
| Список изменений: | №0 от 25.06.2018 (рег. 25.06.2018) «Дата введения перенесена» |
| Приложение №1: | Поправка к ГОСТ 33984.1-2016 |
| Приложение №2: | Поправка к ГОСТ 33984.1-2016 |
| Приложение №3: | Поправка к ГОСТ 33984.1-2016 |
| Приложение №4: | Поправка к ГОСТ 33984.1-2016 |
|