Скачать ГОСТ Р 57211.3-2016 Внешние воздействия. Данные о воздействии на электротехническое оборудование вибрации и ударов. Часть 3. Оборудование, перевозимое железнодорожным транспортомДата актуализации: 01.06.2025 ГОСТ Р 57211.3-2016
Внешние воздействия. Данные о воздействии на электротехническое оборудование вибрации и ударов. Часть 3. Оборудование, перевозимое железнодорожным транспортом
| Обозначение: |  ГОСТ Р 57211.3-2016 |
| Статус: | действующий |
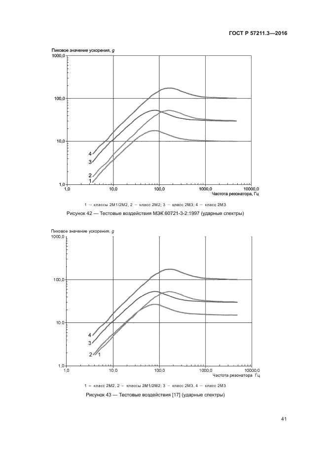
| Название рус.: | Внешние воздействия. Данные о воздействии на электротехническое оборудование вибрации и ударов. Часть 3. Оборудование, перевозимое железнодорожным транспортом | | Дата актуализации текста: | 01.01.2021 | | Дата актуализации описания: | 01.07.2023 | | Дата издания: | 15.07.2019 | | Дата введения: | 01.10.2017 | | Аутентичен стандартам: | IEC/TR 62131-3(2011) | | Нормативные ссылки: | IEC 60068-2;IEC 60721;IEC 60721-3;IEC 60721-3-2(1997);IEC/TR 60721-4-2 | | Область применения: | Настоящий стандарт устанавливает метод использования данных динамических процессов, наблюдаемых на железнодорожном транспорте, для формирования типичных условий воздействий вибрации и ударов при перевозке электротехнического оборудования железнодорожным транспортом | |
                                              
|