| Обозначение: |  ГОСТ Р 56949-2016 |
| Статус: | действующий |
| Название рус.: | Телевидение вещательное цифровое. Домашняя локальная цифровая сеть. Основные параметры |
| Название англ.: | Digital Broadcast Television. Home Local Digital Network. Basic parameters |
| Дата актуализации текста: | 01.01.2021 |
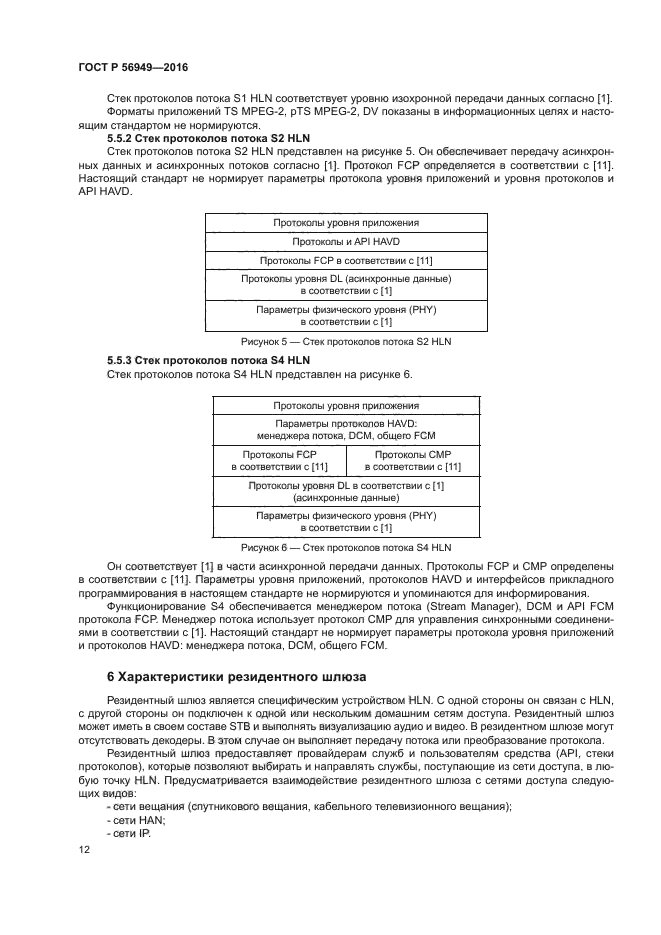
| Дата актуализации описания: | 01.07.2023 |
| Дата издания: | 06.06.2020 |
| Дата введения: | 01.06.2017 |
| Код ОКП: | 657400 |
| Нормативные ссылки: | ГОСТ Р 52210; ГОСТ Р 52591; ГОСТ Р 53528; ГОСТ Р 54456 |
| Область применения: | Настоящий стандарт распространяется на топологию, физические интерфейсы и стек протоколов для домашней локальной цифровой сети (домашней локальной сети) (Home Local Network; HLN) |
|