Скачать ГОСТ Р ИСО 13849-1-2003 Безопасность оборудования. Элементы систем управления, связанные с безопасностью. Часть 1. Общие принципы конструированияДата актуализации: 01.06.2025 ГОСТ Р ИСО 13849-1-2003
Безопасность оборудования. Элементы систем управления, связанные с безопасностью. Часть 1. Общие принципы конструирования
| Обозначение: |  ГОСТ Р ИСО 13849-1-2003 |
| Статус: | действующий |
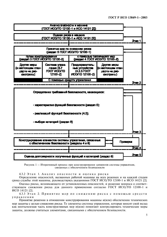
| Название рус.: | Безопасность оборудования. Элементы систем управления, связанные с безопасностью. Часть 1. Общие принципы конструирования | | Название англ.: | Safety of machinery. Safety-related parts of control systems. Part 1. General principles for design | | Дата актуализации текста: | 06.04.2015 | | Дата актуализации описания: | 01.07.2023 | | Дата издания: | 01.03.2004 | | Дата введения: | 01.01.2005 | | Аутентичен стандартам: | ISO 13849-1:1999 | | Нормативные ссылки: | ГОСТ ИСО/ТО 12100-1-2001; ГОСТ ИСО/ТО 12100-2-2002; ГОСТ 14254-96; ГОСТ Р 51336-99; ГОСТ Р 51340-99; ГОСТ Р 51343-99; ГОСТ Р 51344-99; ГОСТ Р МЭК 335-1-94; ГОСТ Р МЭК 60204-1-99; ГОСТ Р МЭК 60447-2000 | | Область применения: | Настоящий стандарт устанавливает требования безопасности и общие принципы конструирования элементов систем управления, связанных с обеспечением безопасности. Стандарт определяет категории элементов систем управления и описывает характеристики их функций безопасности, включая программируемые системы, для любого оборудования (машины) производственного и непроизводственного назначения и для предохранительных и (или) защитных устройств, относящихся к этому оборудованию (машине). Настоящий стандарт не устанавливает, какие функции безопасности и какие категории должны применяться в каждом конкретном случае. Стандарт распространяется на любые элементы систем управления, связанные с обеспечением безопасности, независимо от вида используемой энергии, например, электрической, гидравлической, пневматической, механической. Настоящий стандарт применим также к элементам систем управления, которые используют для других технических целей | |
                              
|