Скачать ГОСТ Р 55827-2013 Ресурсосбережение. Наилучшие доступные технологии. Руководство по экологически ориентированному управлению отходамиДата актуализации: 01.06.2025 ГОСТ Р 55827-2013
Ресурсосбережение. Наилучшие доступные технологии. Руководство по экологически ориентированному управлению отходами
| Обозначение: |  ГОСТ Р 55827-2013 |
| Статус: | заменён |
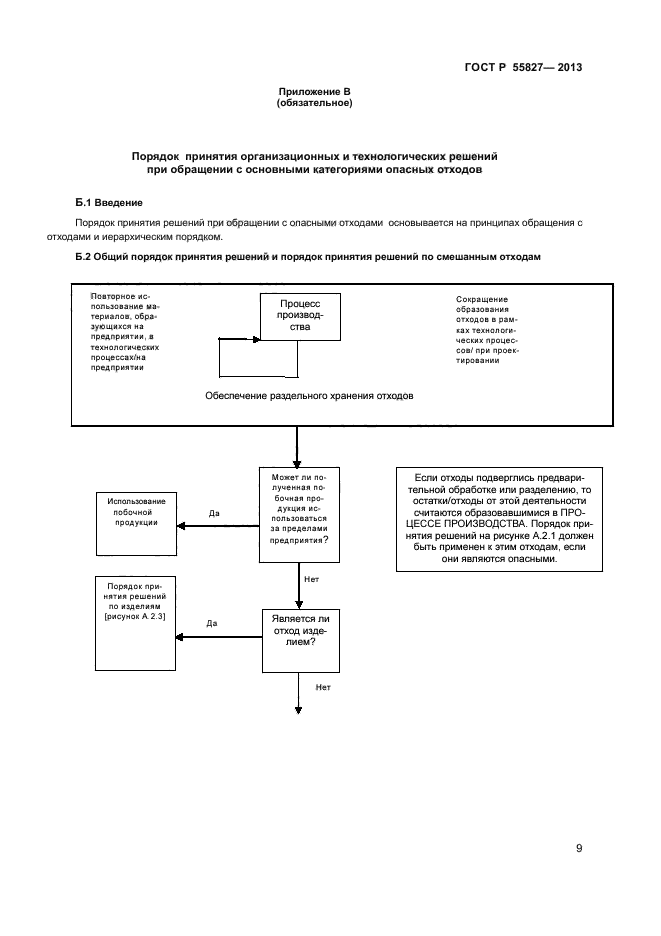
| Название рус.: | Ресурсосбережение. Наилучшие доступные технологии. Руководство по экологически ориентированному управлению отходами | | Дата актуализации текста: | 06.04.2015 | | Дата актуализации описания: | 01.07.2023 | | Дата издания: | 01.10.2014 | | Дата введения: | 01.01.2015 | | Дата окончания срока действия: | 01.12.2017 | | Заменяющий: | ГОСТ Р 56828.22-2017 | | Нормативные ссылки: | ГОСТ 17.2-1.04-77; ГОСТ Р 51750-2001; ГОСТ Р ИСО 14050-2009; ГОСТ Р ИСО 26000-2012; ГОСТ Р 52104-2003; ГОСТ Р 53691-2009; ГОСТ Р 53692-2009; ГОСТ Р 54097-2010; ГОСТ Р 54098-2010; ГОСТ Р 55102-2012; ГОСТ Р 55830-2013 | | Область применения: | Настоящий стандарт устанавливает наилучшие доступные технологии экологически ориентированного управления отходами, в том числе опасными, с учетом иерархического порядка обращения с ними. Настоящий стандарт распространяется на этапы технологического цикла (ГОСТ Р 54692) отходов, в том числе опасных (ГОСТ Р 53691), предназначенных для экологически безопасной ликвидации отходов путем их утилизации и (или) удаления на лицензированных для этих целей объектах. Настоящий стандарт не распространяется на способы обращения с отходами оборонной, химической, биологической продукции и ядерных объектов. Положения, установленные в настоящем стандарте, предназначены, для применения в нормативно-правовой, нормативной, технической и проектно-конструкторской документации, а также в научно-технической, учебной и справочной литературе применительно к процессам вовлечения отходов в хозяйственный оборот, обеспечивая при этом защиту окружающей среды и здоровья людей | |
                          
|