Скачать ГОСТ Р ИСО 13937-4-2012 Материалы текстильные. Прочность ткани на раздирание. Часть 4. Определение усилия на раздирания для испытуемых образцов в форме языка (метод двойного раздирания)Дата актуализации: 01.06.2025 ГОСТ Р ИСО 13937-4-2012
Материалы текстильные. Прочность ткани на раздирание. Часть 4. Определение усилия на раздирания для испытуемых образцов в форме языка (метод двойного раздирания)
| Обозначение: |  ГОСТ Р ИСО 13937-4-2012 |
| Статус: | действующий |
| Название рус.: | Материалы текстильные. Прочность ткани на раздирание. Часть 4. Определение усилия на раздирания для испытуемых образцов в форме языка (метод двойного раздирания) | | Дата актуализации текста: | 01.08.2015 | | Дата актуализации описания: | 01.07.2023 | | Дата издания: | 01.04.2015 | | Дата введения: | 01.01.2016 | | Аутентичен стандартам: | ISO 13937-4:2000 | | Нормативные ссылки: | ISO 139:2005;ISO 7500-1:2004;ISO 10012:2003 | | Область применения: | Настоящий стандарт устанавливает требования к методу определения прочности ткани на раздирание с помощью метода двойного раздирания, известного как метод испытания образцов в форме языка. Измеряемое усилие раздирания является усилием, необходимым для продолжения заранее подготовленного раздирания. Настоящее испытание в основном предназначено для тканей. Оно может применяться к материалам, произведенным по другим технологиям, например, некоторым нетканым полотнам (с теми же упомянутыми ниже ограничениями, что и для тканых материалов) | |
          
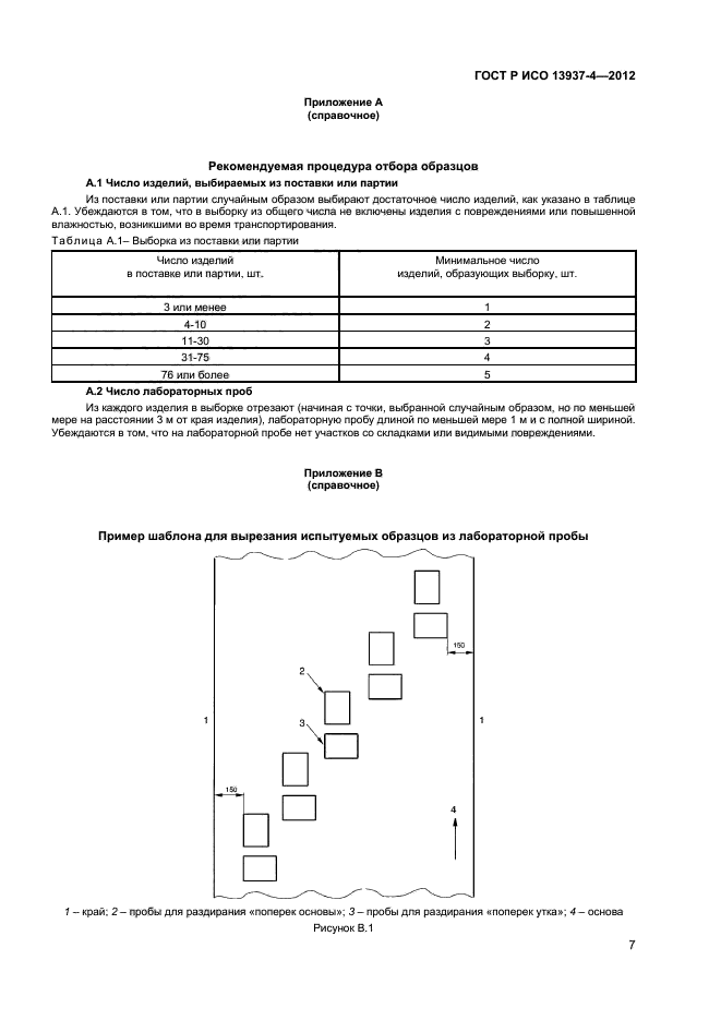
|