| Обозначение: |  ГОСТ Р 55266-2012 |
| Статус: | действующий |
| Название рус.: | Совместимость технических средств электромагнитная. Оборудование сетей связи. Требования и методы испытаний |
| Название англ.: | Electromagnetic compatibility of technical equipment. Telecommunication network equipment. Requirements and test methods |
| Дата актуализации текста: | 06.04.2015 |
| Дата актуализации описания: | 01.07.2023 |
| Дата издания: | 21.05.2013 |
| Дата введения: | 01.01.2013 |
| Содержит требования: | EN 300 386 V1.5.1 (2010-10) |
| Нормативные ссылки: | ГОСТ Р 55055-2012; ГОСТ Р 50397-2011; ГОСТ Р 51317.3.2-2006; ГОСТ Р 51317.3.3-2008; ГОСТ Р 51317.3.11-2006; ГОСТ Р 51317.3.12-2006; ГОСТ Р 51317.4.2-2010; ГОСТ Р 51317.4.3-2006; ГОСТ Р 51317.4.4-2007; ГОСТ Р 51317.4.5-99; ГОСТ Р 51317.4.6-99; ГОСТ Р 51317.4.11-2007; ГОСТ Р 51318.16.1.2-2007; ГОСТ Р 51318.16.2.5-2011; ГОСТ Р 51318.22-2006 |
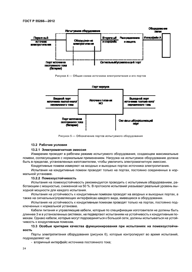
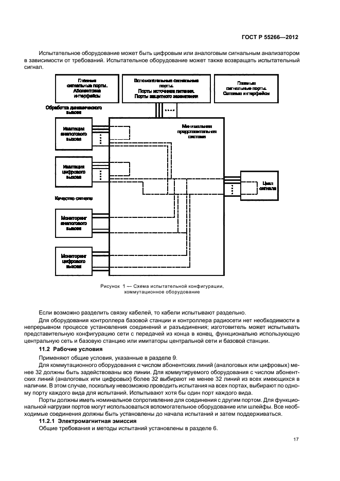
| Область применения: | Настоящий стандарт устанавливает требования электромагнитной совместимости к оборудованию, не относящемуся к радиооборудованию, предназначенному для использования в общественных сетях связи, обеспечивающему связь между сетевыми оконечными точками, исключая оконечное абонентское оборудование, применяемое за пределами сетевых оконечных точек |
|