| Обозначение: |  ГОСТ Р ИСО 16634-1-2011 |
| Статус: | действующий |
| Название рус.: | Продукты пищевые. Определение общего содержания азота путем сжигания по методу Дюма и расчет содержания сырого протеина. Часть 1. Масличные культуры и корма для животных |
| Название англ.: | Food products. Determination of the total nitrogen content by combustion according to the Dumas principle and calculation of the crude protein content. Part 1. Oilseeds and animal feeding stuffs |
| Дата актуализации текста: | 06.04.2015 |
| Дата актуализации описания: | 01.07.2023 |
| Дата издания: | 16.04.2020 |
| Дата введения: | 01.07.2013 |
| Аутентичен стандартам: | ISO 16634-1:2008 |
| Нормативные ссылки: | ISO 664;ISO 665;ISO 771;ISO 6496;ISO 6498 |
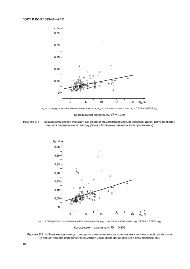
| Область применения: | Настоящая часть стандарта устанавливает метод определения общего содержания азота и расчет содержания сырого протеина в масличных культурах и кормах для животных. Настоящий метод, как и метод Кьельдаля, не делает различий между протеиновым азотом и не протеиновым азотом. Для расчета содержания сырого протеина используются различные коэффициенты пересчета (см. приложение D). Настоящий метод не применим к молоку и молочной продукции, для которых метод установлен в ИСО 14891[10] |
|