| Обозначение: |  ГОСТ Р 54718-2011 |
| Статус: | действующий |
| Название рус.: | Система цифрового радиовещания DRM в диапазонах частот ниже 30 мГц. Цифровой кодер-модулятор. Основные параметры и технические требования |
| Название англ.: | Digital broadcasting system DRM in the frequency range less than 30 MHz. Digital encoder-modulator. Basis paramerters and technical requirements |
| Дата актуализации текста: | 01.01.2021 |
| Дата актуализации описания: | 01.07.2023 |
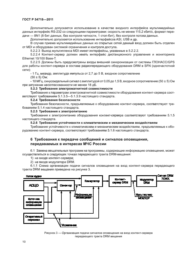
| Дата издания: | 21.08.2020 |
| Дата введения: | 01.07.2012 |
| Код ОКП: | 657300 |
| Нормативные ссылки: | ГОСТ Р 52459.1; ГОСТ Р 52459.11; ГОСТ 12.1.030; ГОСТ 12.2.007.0; ГОСТ 12130; ГОСТ 15150; ГОСТ 50829 |
| Область применения: | Настоящий стандарт распространяется на цифровой кодер-модулятор системы цифрового радиовещания DRM в диапазоне частот ниже 30 МГц, предназначенный для кодирования входных звуковых сигналов и данных и формирования модулированного радиочастотного сигнала DRM. Стандарт устанавливает основные параметры и общие технические требования на цифровой кодер-модулятор. Требования настоящего стандарта следует учитывать при разработке, изготовлении и эксплуатации кодеров-модуляторов |
|