| Обозначение: |  ГОСТ Р 54835-2011 |
| Статус: | действующий |
| Название рус.: | Сети и системы связи на подстанциях. Часть 1. Введение и обзор |
| Название англ.: | Communication networks and systems in substation. Part 1. Introduction and overview |
| Дата актуализации текста: | 01.01.2021 |
| Дата актуализации описания: | 01.07.2023 |
| Дата издания: | 22.07.2020 |
| Дата введения: | 01.09.2012 |
| Код ОКП: | 423200 |
| Аутентичен стандартам: | IEC/TR 61850-1(2003) |
| Нормативные ссылки: | ISO 9001:2001;IEC 60870-5-103(1997);IEC 61850-3;IEC 61850-5;IEC 61850-7-1;IEC 61850-7-2;IEC 61850-7-3;IEC 61850-7-4 |
| Область применения: | Настоящий стандарт предназначен для применения к системам автоматизации подстанции (SA-системам). В нем приведено определение связи между интеллектуальными электронными устройствами (IED-устройствами) подстанции и сформулированы соответствующие системные требования. Настоящий стандарт, входящий в состав комплекса стандартов, подготовленных на основе применения стандартов серии МЭК 61850, представляет собой обзорный и вводный стандарт данной серии. Настоящий стандарт содержит ссылки на другие части стандартов серии МЭК 61850, а также текст и рисунки из других частей указанной серии |
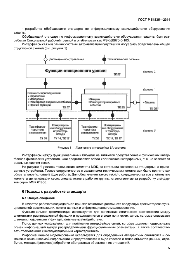
|