Скачать ГОСТ Р 52324-2005 Эргономические требования к работе с визуальными дисплеями, основанными на плоских панелях. Часть 2. Эргономические требования к дисплеям с плоскими панелямиДата актуализации: 01.06.2025 ГОСТ Р 52324-2005
Эргономические требования к работе с визуальными дисплеями, основанными на плоских панелях. Часть 2. Эргономические требования к дисплеям с плоскими панелями
| Обозначение: |  ГОСТ Р 52324-2005 |
| Статус: | действующий |
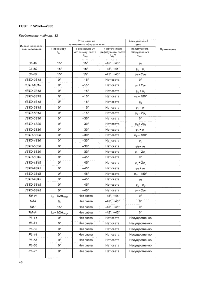
| Название рус.: | Эргономические требования к работе с визуальными дисплеями, основанными на плоских панелях. Часть 2. Эргономические требования к дисплеям с плоскими панелями | | Название англ.: | Ergonomic requirements for work with visual displays based on flat panels. Part 2. Ergonomic requirements for flat panel displays | | Дата актуализации текста: | 06.04.2015 | | Дата актуализации описания: | 01.01.2021 | | Дата издания: | 26.07.2005 | | Дата введения: | 01.07.2005 | | Содержит требования: | ISO 13406-2:2001 | | Нормативные ссылки: | ГОСТ Р ИСО 9241-3-2003 | | Область применения: | Настоящий стандарт распространяется на экраны видеотерминалов (ВДТ) с плоскими панелями, используемые для выполнения офисных задач; панели с плоскими экранами, которые содержат регулярную решетку пикселей, расположенных в рядах с равными интервалами без встроенных зазоров; представление шрифтов, основанных на латинице, кириллице и греческих буквенных символах и арабских цифрах на экранах ВДТ с плоскими панелями; представление азиатских знаков на экранах ВДТ с плоскими панелями, способных отобразить по крайней мере 40 латинских знаков, и устанавливает эргономические требования к качеству изображения для проектирования и оценки ВДТ на плоских панелях; требования, относящиеся к качеству изображения ВДТ на плоских панелях; методы определения качества изображения ВДТ на плоских панелях и эргономические принципы для руководства этими требованиями. Настоящий стандарт не применяют для технологии плоских панелей, относящейся к дисплеям, использующим оптику для формирования изображений, размеры которых не соответствуют исходному электрооптическому преобразователю (проекционное применение дисплеев на плоских панелях) или технологии плоских панелей с фиксированными знаковыми сообщениями или сегментированными цифро-буквенными элементами | |
                                                                                                            
|