Скачать ГОСТ Р 53037-2008 Мобильные подъемники с рабочими платформами. Расчеты конструкции, требования безопасности, испытанияДата актуализации: 01.06.2025 ГОСТ Р 53037-2008
Мобильные подъемники с рабочими платформами. Расчеты конструкции, требования безопасности, испытания
| Обозначение: |  ГОСТ Р 53037-2008 |
| Статус: | заменён |
| Название рус.: | Мобильные подъемники с рабочими платформами. Расчеты конструкции, требования безопасности, испытания | | Название англ.: | Mobile elevating work platforms. Design calculations, safety requirements, tests | | Дата актуализации текста: | 06.04.2015 | | Дата актуализации описания: | 01.07.2023 | | Дата издания: | 02.04.2009 | | Дата введения: | 01.07.2009 | | Дата окончания срока действия: | 01.09.2014 | | Код ОКП: | 483700 | | Заменяющий: | ГОСТ Р 53037-2013 | | Содержит требования: | ISO 16368:2003 | | Нормативные ссылки: | ГОСТ Р 12.4.026-2001; ГОСТ Р 15.000-94; ГОСТ Р 15.201-2000; ГОСТ Р ИСО 9001-2001; ГОСТ Р 52045-2003; ГОСТ Р 52064-2003; ГОСТ Р 52543-2006; ГОСТ 2.601-2006; ГОСТ 12.2.003-91; ГОСТ 15.311-90; ГОСТ 15150-69; ГОСТ 16504-81 | | Область применения: | Настоящий стандарт устанавливает требования, обеспечивающие единство проектирования, расчетов и испытания всех типов мобильных подъемников с рабочими платформами (МПРП) для обеспечения их безопасного применения. Настоящий стандарт применяется при конструкторских расчетах металлоконструкций, критерия устойчивости, испытаниях и проверках безопасности перед пуском МПРП в работу. Стандарт определяет опасные факторы, возникающие при эксплуатации МПРП, и описывает методы устранения или снижения этих факторов | |
                                                                                         
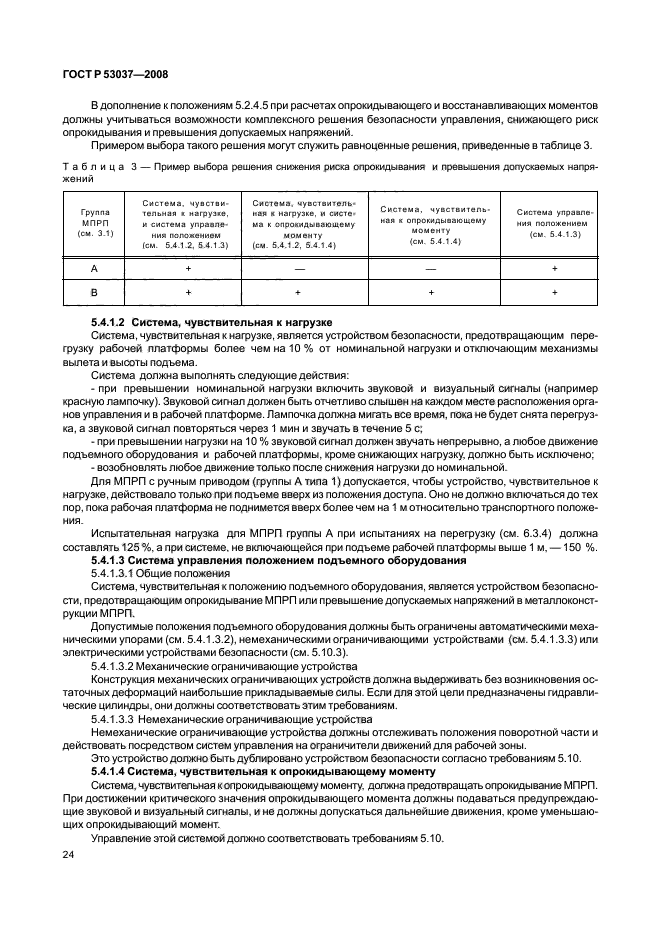
|