| Обозначение: |  ГОСТ 17666-72 |
| Статус: | действующий |
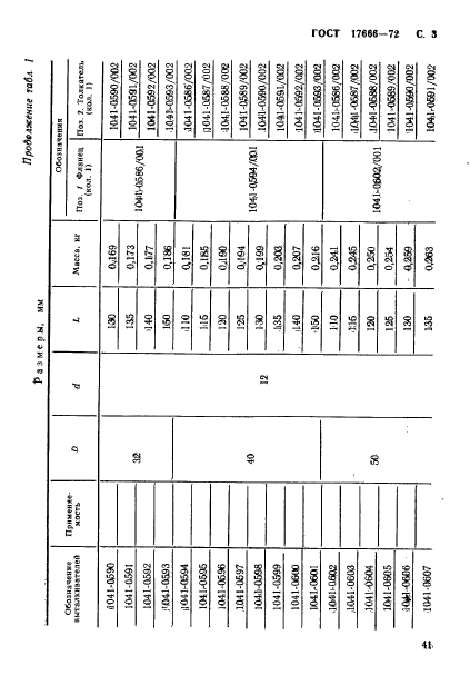
| Название рус.: | Выталкиватели блоков сменных разделительных штампов листовой штамповки. Конструкция и размеры |
| Название англ.: | Ejector pins of units for changeable sheet stamping cutting dies. Construction and dimensions |
| Дата актуализации текста: | 06.04.2015 |
| Дата актуализации описания: | 01.07.2023 |
| Дата издания: | 01.03.1994 |
| Дата введения: | 01.07.1973 |
| Код ОКП: | 396330 |
| Взамен: | МН 4429-63 |
| Нормативные ссылки: | ГОСТ 1050-88; ГОСТ 10774-80; ГОСТ 17666-72; ГОСТ 17667-72; ГОСТ 17671-72; ГОСТ 24643-81 |
| Область применения: | Настоящий стандарт устанавливает конструкцию и размеры выталкивателей блоков сменных разделительных штампов листовой штамповки |
| Список изменений: | №1 от 01.07.1981 (рег. 16.03.1981) «Срок действия продлен» №2 от 01.03.1987 (рег. 04.09.1986) «Срок действия продлен» |
|