| Обозначение: |  ГОСТ 13598-85 |
| Статус: | действующий |
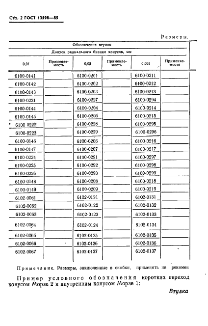
| Название рус.: | Втулки переходные для крепления инструмента с коническим хвостовиком. Конструкция и размеры |
| Название англ.: | Adapters for mounting taper-shanked tools. Design and dimensions |
| Дата актуализации текста: | 06.04.2015 |
| Дата актуализации описания: | 01.07.2023 |
| Дата издания: | 01.10.1986 |
| Дата введения: | 01.01.1986 |
| Код ОКП: | 392830;396100 |
| Взамен: | ГОСТ 13598-68 |
| Нормативные ссылки: | ГОСТ 25557-82; ГОСТ 2789-73; ГОСТ 4543-71;CT CЭB 4633-84 |
| Область применения: | Настоящий стандарт распространяется на короткие и длинные переходные втулки для крепления инструмента с коническим хвостовиком Морзе и метрическим |
| Список изменений: | №1 от 01.01.1988 (рег. 12.10.1987) «Срок действия продлен» №2 от 01.04.1992 (рег. 17.10.1991) «Срок действия продлен» |
|