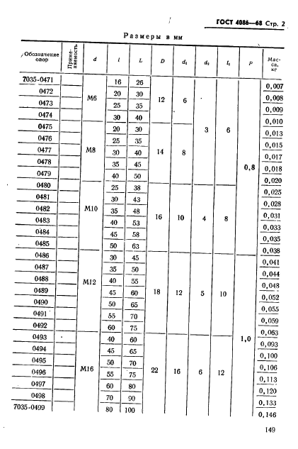
| Обозначение: |  ГОСТ 4086-68 |
| Статус: | действующий |
| Название рус.: | Опоры регулируемые с круглой головкой для станочных приспособлений. Конструкция |
| Название англ.: | Adjustable round head rests for machine retaining devices. Design |
| Дата актуализации текста: | 06.04.2015 |
| Дата актуализации описания: | 01.07.2023 |
| Дата издания: | 01.11.1982 |
| Дата введения: | 01.01.1969 |
| Код ОКП: | 396100 |
| Взамен: | ГОСТ 4086-57 |
| Нормативные ссылки: | ГОСТ 1050-74; ГОСТ 10549-63; ГОСТ 16093-70;СТ СЭВ 182-75 |
| Область применения: | Настоящий стандарт устанавливает конструкцию регулируемых опор с круглой головкой для станочных приспособлений |
| Список изменений: | №1 от 01.12.1980 (рег. 29.06.1980) «Срок действия продлен» №2 от 01.01.1990 (рег. 15.05.1989) «Поправка» |
|