| Обозначение: |  ГОСТ 22078-76 |
| Статус: | действующий |
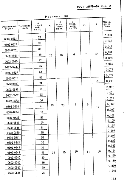
| Название рус.: | Втулки центральные пресс-форм для литья термопластов под давлением. Конструкция и размеры |
| Название англ.: | Central bushings of injection moulds. Design and dimensions |
| Дата актуализации текста: | 06.04.2015 |
| Дата актуализации описания: | 01.07.2023 |
| Дата издания: | 01.10.1986 |
| Дата введения: | 01.07.1977 |
| Код ОКП: | 396370 |
| Взамен: | МН 5166-63 |
| Нормативные ссылки: | ГОСТ 1435-74; ГОСТ 22082-76 |
| Область применения: | Настоящий стандарт устанавливает конструкцию и размеры центральных втулок |
| Список изменений: | №1 от 30.09.1982 (рег. 27.05.1982) «Срок действия продлен» №2 от 01.07.1986 (рег. 29.12.1985) «Срок действия продлен» |
|