| Обозначение: |  ГОСТ 18074-72 |
| Статус: | действующий |
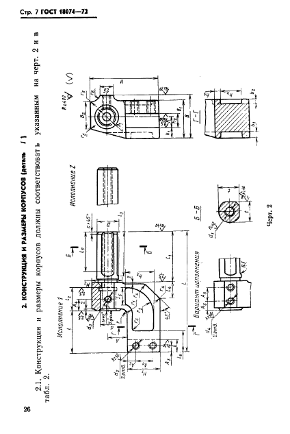
| Название рус.: | Державки для прямого крепления резцов и зажимных втулок к токарно-револьверным станкам. Конструкция и размеры |
| Название англ.: | Arbors for the straight fixing of cutters and clamping bushing for turret lathes. Design and dimensions |
| Дата актуализации текста: | 06.04.2015 |
| Дата актуализации описания: | 01.07.2023 |
| Дата издания: | 01.06.1981 |
| Дата введения: | 01.07.1973 |
| Код ОКП: | 392800 |
| Взамен: | МН 1042-60 |
| Нормативные ссылки: | ГОСТ 9.073-77; ГОСТ 977-75; ГОСТ 1050-74; ГОСТ 1478-75; ГОСТ 1482-75; ГОСТ 2009-55; ГОСТ 2789-73; ГОСТ 8820-69; ГОСТ 10549-63; ГОСТ 16093-70; ГОСТ 17166-71; ГОСТ 18069-72; ГОСТ 18070-72; ГОСТ 18074-72;СТ СЭВ 182-75 |
| Область применения: | Настоящий стандарт устанавливает конструкцию и размеры державок |
| Список изменений: | №1 от 01.07.1981 (рег. 16.03.1981) «Срок действия продлен» |
|