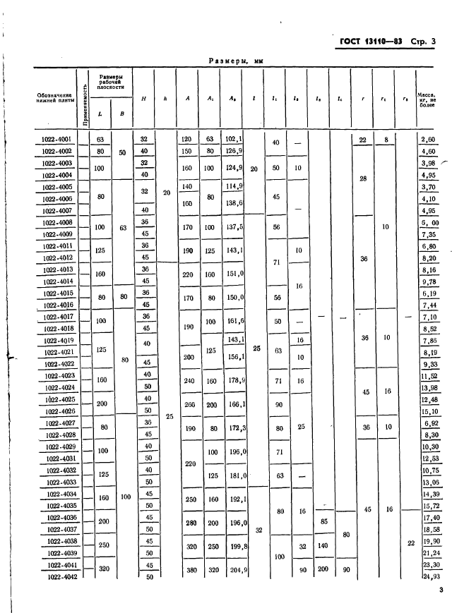
| Обозначение: |  ГОСТ 13110-83 |
| Статус: | действующий |
| Название рус.: | Штампы для листовой штамповки. Плиты-заготовки нижние для штампов с диагональным расположением направляющих узлов. Конструкция и размеры |
| Название англ.: | Sheet stamping dies. Lower plates-blanks for dies with diagonally positioned guide assemblies. Construction and dimensions |
| Дата актуализации текста: | 06.04.2015 |
| Дата актуализации описания: | 01.07.2023 |
| Дата издания: | 01.03.1986 |
| Дата введения: | 01.07.1984 |
| Код ОКП: | 396330 |
| Взамен: | ГОСТ 13110-75 |
| Содержит требования: | СТ СЭВ 3325-81 |
| Область применения: | Настоящий стандарт распространяется на заготовки нижних плит из чугунного и стального литья для штампов с диагональным расположением направляющих узлов |
|