| Обозначение: |  ГОСТ 7872-89 |
| Статус: | действующий |
| Название рус.: | Подшипники упорные шариковые одинарные и двойные. Технические условия |
| Название англ.: | Single and double direction thrust ball bearings. Specification |
| Дата актуализации текста: | 06.04.2015 |
| Дата актуализации описания: | 01.06.2025 |
| Дата издания: | 29.12.1989 |
| Дата введения: | 01.07.1990 |
| Код ОКП: | 461600 |
| Взамен: | ГОСТ 6874-75; ГОСТ 7872-75 |
| Заменяющий в части: | ГОСТ 7872-2025 кроме части по оборонной продукции на территории РФ при выполнении работ по Государственному оборонному заказу |
| Содержит требования: | СТ СЭВ 4944-84;СТ СЭВ 6430-88 |
| Нормативные ссылки: | ISO 104:1979; ГОСТ 520-89; ГОСТ 3325-85; ГОСТ 3478-79 |
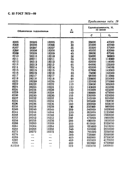
| Область применения: | Настоящий стандарт распространяется на одинарные и двойные шариковые упорные подшипники, а также на одинарные шариковые упорные подшипники со свободным самоустанавливающимся кольцом и подкладным кольцом или без него, предназначенные для восприятия осевых нагрузок |
|