| Обозначение: |  ГОСТ Р 51317.2.5-2000 |
| Статус: | действующий |
| Название рус.: | Совместимость технических средств электромагнитная. Электромагнитная обстановка. Классификация электромагнитных помех в местах размещения технических средств |
| Название англ.: | Electromagnetic compatibility of technical equipment. Electromagnetic environment. Classification of electromagnetic disturbances for different locations of technical equipment |
| Дата актуализации текста: | 06.04.2015 |
| Дата актуализации описания: | 01.07.2023 |
| Дата издания: | 11.03.2001 |
| Дата введения: | 01.01.2002 |
| Код ОКП: | 340000;630000;650000;330000 |
| Содержит требования: | IEC 61000-2-5(1995) |
| Нормативные ссылки: | ГОСТ 13109-97; ГОСТ 30372-95; ГОСТ Р 50397-92; ГОСТ Р 51317.2.4-2000; ГОСТ Р 51317.3.8-99 |
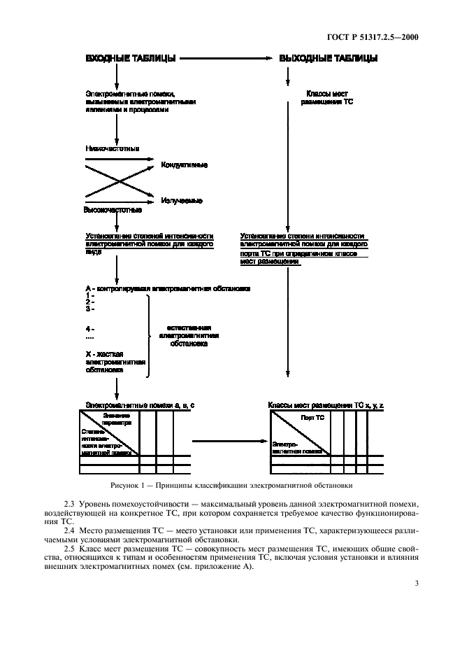
| Область применения: | Настоящий стандарт устанавливает классификацию электромагнитных помех, вызываемых электромагнитными явлениями и процессами, определяющими электромагнитную обстановку, применительно к различным местам размещения электротехнических, электронных и радиоэлектронных изделий, оборудования и систем |
|