Vacuum oils. Method for determination of vapour pressure and boiling point

МЕЖГОСУДАРСТВЕННЫЙ СТАНДАРТ

МАСЛА ВАКУУМНЫЕ

Метод определения упругости паров и
температуры кипения

Vacuum oils.
Method for determination of vapour pressure and boiling point

ГОСТ
19678-74

Постановлением Государственного комитета стандартов Совета Министров СССР от 8 апреля 1974 г. № 825 дата введения установлена

01.01.76

Настоящий стандарт распространяется на вакуумные масла и устанавливает метод определения упругости паров и температуры кипения вакуумных масел, имеющих давление паров при (20 ± 5) °С не выше 1 · 10-5 мм рт. ст.

Сущность метода заключается в том, что давлением паров испытуемого масла при определенных температуре и остаточном давлении вертикально подвешенный диск, прикрывающий сопло испарителя, отклоняется на некоторый угол. Отклонение диска от первоначального положения компенсируется наклоном тенсиометра и измерение угла отклонения диска заменяется определением равного ему угла наклона тенсиометра, по которому вычисляют упругость пара.

1. АППАРАТУРА, МАТЕРИАЛЫ И РЕАКТИВЫ

1.1. При определении упругости паров вакуумных масел применяются:

установка, состоящая из вакуумной системы (черт. 1), блока питания и управления с вакуумметром, каркаса установки, масляного термостата, установленного на подъемном столе и обеспечивающего нагрев до 150 °С, электропечи, предназначенной для нагрева тенсиометра до 120 °С во время обезгаживания масла; кронштейна с поворотной головкой, в которой закреплен тенсиометр; осветителя (с фокусным расстоянием 1 м) и шкалы, укрепленных на стойках;

микроскоп лабораторный с увеличением 15×;

шкаф сушильный, обеспечивающий температуру сушки не менее 200 °С;

цилиндр 1 - 500, 2 - 500 по ГОСТ 1770;

воронка ВПр-1 по ГОСТ 25336;

термометры ТЛ-44Б 2 - 4 по ГОСТ 28498;

бязь хлопчатобумажная;

смазка вакуумная;

нефрасы С2-80/120 и СЗ-80/120.

спирт этиловый ректификованный технический по ГОСТ 18300.

(Измененная редакция, Изм. № 1).

2. ПОДГОТОВКА К ИСПЫТАНИЮ

2.1. Перед испытанием промывают и сушат тенсиометр (черт. 2).

Для этого пробку тенсиометра, поверхность корпуса, соприкасающуюся с ней, и трубку со шлифом предварительно протирают бязью, смоченной в бензине, для удаления смазки.

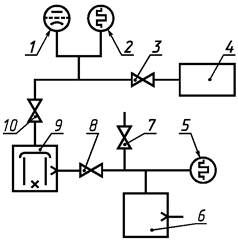
Схема вакуумной системы установки

1 - ионизационный манометрический преобразователь; 2, 5 - термопарный манометрический преобразователь;
3, 7- напускной вакуумный клапан; 4- тенсиометр; 6- механический вакуумный насос;
8,10 - вакуумный клапан с ручным приводом; 9 - диффузионный вакуумный насос

Черт. 1

Общий вид тенсиометра

1 - испаритель; 2 - алюминиевый диск; 3 - молибденовые нити; 4 - подвески;
5 - держатель; 6- стержень; 7-пробка; 8 - трубка со шлифом;
9 - сопло; 10 - соединительная трубка; 11 - корпус

Черт. 2

Затем корпус тенсиометра, пробку с держателем, подвесками и диском промывают бензином и ополаскивают спиртом.

Промытые корпус и пробку с держателем, подвесками и диском, помещенную в измерительный цилиндр, устанавливают в сушильный шкаф и выдерживают в нем 2 ч при 120 °С.

После сушки пробку с держателем, подвесками и диском, находящуюся в измерительном цилиндре, тщательно осматривают. На молибденовых нитях не должно быть искривлений или петель, а поверхность диска должна быть ровной.

2.2. После этого тенсиометр укрепляют в муфте поворотной головки, прикрепляют с помощью отвертки зеркало, шлиф отводной трубки тенсиометра смазывают вакуумной смазкой и подсоединяют тенсиометр к вакуумной системе. При помощи стеклянной воронки через соединительную трубку в испаритель тенсиометра заливают 5 - 10 см3 испытуемого масла. Затем вставляют пробку с держателем, подвесками и диском и проверяют, полностью ли закрыто диском сопло. Если диск смещен, то с помощью держателя и винта поворотной головки установки подгоняют диск к соплу в вертикальной плоскости. После этого пробку вынимают, смазывают вакуумной смазкой, вставляют в тенсиометр и тщательно притирают. Вращением пробки диск устанавливают в плоскости, параллельной плоскости среза сопла.


3. ПРОВЕДЕНИЕ ИСПЫТАНИЯ

3.1. Для проведения испытания отклоняют тенсиометр при помощи поворотной головки в сторону открытия сопла, включают механический вакуумный насос и через 1 - 2 мин открывают вакуумные клапаны. При откачке вакуумной системы следует избегать вспенивания испытуемого масла и попадания его в сопло. При достижении в системе давления 2 · 10-2 мм рт. ст., определяемого по манометрическому термопарному преобразователю, включают электронагреватель диффузионного насоса и подают воду в систему охлаждения диффузионного насоса.

3.2. После этого на испаритель тенсиометра надевают электропечь, включают ее и подогревают масло до установления в вакуумной системе стабильного давления, определяемого по манометрическому ионизационному преобразователю, порядка 10-5 мм рт. ст. Во время проведения испытания давление в вакуумной системе должно быть порядка 10-5 мм рт. ст. После установления указанного давления электропечь снимают с тенсиометра и после его охлаждения до (20 ± 5) °С погружают в термостат с температурой (20 ± 5) °С, перемещая подъемный стол установки.

3.3. Затем устанавливают осветитель так, чтобы при закрытом диском сопле тенсиометра луч падал перпендикулярно к зеркалу, а отражение луча, сфокусированное на вертикально установленной шкале осветителя, было в верхней части шкалы.

3.4. Установочными винтами поворотной головки и вращением пробки тенсиометра добиваются того, чтобы плоскость среза сопла тенсиометра во всех точках соприкасалась с поверхностью диска (при наклоне тенсиометра диск должен оставаться параллельным плоскости среза сопла).

Затем отмечают положение светового «зайчика» на шкале осветителя, соответствующее нулевому положению диска (n0).

3.5. Вращением штурвальчика поворотной головки тенсиометр наклоняют в сторону закрытия сопла так, чтобы «зайчик» осветителя переместился по шкале осветителя от положения n0 не менее чем на 450 мм.

3.6. После этого включают нагрев и мешалку масляного термостата. Термостат нагревают до температуры, при которой упругость пара испытуемого масла будет порядка 10-3мм рт. ст. (для вакуумных масел ВМ-1 и ВМ-2 достигается 120 - 125 °С). При этой температуре испытуемое масло выдерживают 3 - 5 мин с погрешностью не более 0,2 °С. Температура определяется термометром.

3.7. По истечении указанного времени выключают мешалку масляного термостата и, наблюдая через микроскоп за плоскостью прилегания диска к соплу, вращением штурвальчика поворотной головки плавно отклоняют тенсиометр в сторону открытия сопла.

При достижении тенсиометром положения, при котором упругость пара уравновешена эффективной массой диска тенсиометра (т. е. появление колебаний диска при дальнейшем перемещении тенсиометра), отмечают положение «зайчика» на шкале осветителя (n1).

3.8. Затем снова наклоняют тенсиометр в сторону закрытия сопла по п. 3.5. Включают мешалку термостата, понижают его температуру на 3 - 5 °С и отмечают положение светового «зайчика» п2 при температуре t2 по п. 3.7, предварительно выдержав испытуемое масло при достигнутой температуре 3 - 5 мин.

3.9. Отмечают еще шесть-семь положений светового «зайчика» на шкале осветителя (n3, n4, . . . , ni) при температурах (t3, t4, . . . , ti), различающихся не менее чем на 3 °С.

За величину определения положения светового «зайчика» при данной температуре принимают среднее арифметическое пяти параллельных определений.

3.10. После этого испытание считают законченным; выключают осветитель и нагреватель диффузионного насоса, затем открывают сопло тенсиометра. Закрывают вакуумные клапаны, опускают масляный термостат и, осторожно открывая напускные клапаны, впускают в вакуумную систему воздух. Вынимают тенсиометр из муфты поворотной головки для подготовки к следующему испытанию. После охлаждения диффузионного насоса перекрывают вакуумные клапаны, выключают механический насос и открывают напускной клапан (около насоса).

4. ОБРАБОТКА РЕЗУЛЬТАТОВ

4.1. Упругость пара (P1, Р2, Р3, . . . , Pi) испытуемого масла в мм рт. ст. при соответствующих

температурах (t1, t2, t3, . . . , ti) вычисляют по формуле

где т - масса диска, г;

S - площадь среза, см2;

z - расстояние от шкалы осветителя до зеркала тенсиометра, мм;

n0 - расстояние по шкале осветителя от нулевого деления шкалы до положения «зайчика», соответствующего нулевому положению диска, мм;

ni - расстояние по шкале осветителя от нулевого деления шкалы до положения «зайчика», соответствующего положению диска при ti;

0,735 - коэффициент для пересчета упругости пара из г/см2 в мм рт. ст.

4.2. Строят график в координатах

где Р - упругость пара, мм рт. ст.;

Т - соответствующая данной упругости пара температура, °К.

(Измененная редакция, Изм. № 1).

4.3. Полученную линейную зависимость экстраполируют и определяют упругость пара испытуемого масла при 20 °С.

4.4. По полученной зависимости определяют температуру испытуемого масла при упругости пара 1 · 10-2 мм рт. ст., которую принимают за температуру кипения вакуумного масла.

4.5. Допускаемые отклонения от среднего значения упругости пара не должны превышать ±10 % при упругости пара 1 · 10-3 - 5 · 10-3 мм рт. ст.; ±15 % при упругости пара ниже 5 · 10-3 - 1 · 10-6 мм рт. ст.; ±100 % при упругости пара ниже 1 · 10-6 - 1 · 10-8 мм рт. ст.

ИНФОРМАЦИОННЫЕ ДАННЫЕ

1. УТВЕРЖДЕН И ВВЕДЕН В ДЕЙСТВИЕ Постановлением Государственного комитета СССР по стандартам от 08.04.74 № 825

2. ВВЕДЕН ВПЕРВЫЕ

3. ССЫЛОЧНЫЕ НОРМАТИВНО-ТЕХНИЧЕСКИЕ ДОКУМЕНТЫ

Обозначение НТД, на который дана ссылка

Номер пункта

ГОСТ 1770-74

ГОСТ 18300-87

ГОСТ 25336-82

ГОСТ 28498-90

1.1

1.1

1.1

1.1

4. Ограничение срока действия снято Постановлением Госстандарта от 13.06.91 № 860

5. ИЗДАНИЕ с Изменением № 1, утвержденным в июне 1988 г. (ИУС 11-88)

СОДЕРЖАНИЕ

1 Аппаратура, материалы и реактивы

2 Подготовка к испытанию

3 Проведение испытания

4 Обработка результатов