ГОСУДАРСТВЕННЫЙ СТАНДАРТ РОССИЙСКОЙ ФЕДЕРАЦИИ
|
Информационная
технология Information technology. |
ГОСТ P (ИСО 8571/2-88) |
Дата введения 01.01.94
Настоящий стандарт входит в комплекс государственных стандартов, обеспечивающих взаимосвязь вычислительных систем. Его отношение к другим стандартам комплекса определено эталонной моделью взаимосвязи открытых систем (ВОС) по ГОСТ 28906. Эталонная модель подразделяет область стандартизации ВОС на ряд уровней спецификаций, каждый из которых предназначен для выполнения определенных функций.
Эталонная модель ВОС обеспечивает совместимость вычислительных систем, выполненных различными изготовителями, имеющих различные системы управления и уровни сложности, созданных в разное время.
Наборы ограничений на структуру доступа к файлу приведены в приложении А, типы документов - в приложении Б, чтение структурированных файлов - в приложении В, вставка в структурированный файл - в приложении Г, перекрестные ссылки нотации ACH.1 - в приложении Д.
Настоящий стандарт определяет;
абстрактную модель виртуального файлохранилища при описании файлов и файлохранилищ (разд. 5 - 9);
набор действий, доступных для манипулирования элементами модели (разд. 10 и 11);
сущность индивидуальных файлов и ассоциаций в терминах атрибутов (разд. 12 - 15);
формат отображений файлов с иерархическими структурами (разд. 7).
Настоящий стандарт не устанавливает:
требований, относящихся к способу отображения информации из реальных файлохранилищ в виртуальные;
требований для реализации реального файлохранилища.
Определение виртуального файлохранилища дано в других частях ГОСТ Р 34.980, в которых определяется файловая услуга (ГОСТ Р 34.1980.3) и указывается файловый протокол (ГОСТ Р 34.1980.4).
ГОСТ 34.301 (ИСО 6429) «Информационная технология. 7-битные и 8-битные кодированные наборы символов. Управляющие функции».
ГОСТ 28906 (ИСО 7498) «Системы обработки информации. Взаимосвязь открытых систем. Базовая эталонная модель».
ГОСТ Р 34.980.1 (ИСО 8571/1) «Информационная технология. Взаимосвязь открытых систем. Передача, доступ и управление файлом. Часть 1. Общее описание».
ГОСТ Р 34.1980.3 (ИСО 8571/3) «Информационная технология. Взаимосвязь открытых систем. Передача, доступ и управление файлом. Часть 3. Определение услуг виртуального файла».
ГОСТ Р 34.1980.4 (ИСО 8571/4) «Информационная технология. Взаимосвязь открытых систем. Передача, доступ и управление файлом. Часть 4. Спецификация файловых протоколов».
ИСО 8601* «Элементы данных и форматы обмена. Обмен информацией. Отображение данных и времени».
ИСО 8650* «Системы обработки информации. Взаимосвязь открытых систем. Определение протокола для сервисного элемента управления ассоциацией».
ГОСТ 34.971 (ИСО 8822) «Информационная технология. Взаимосвязь открытых систем. Определение услуг уровня представления с установлением соединения».
ГОСТ 34.973 (ИСО 8824) «Информационная технология. Взаимосвязь открытых систем. Спецификация абстрактно-синтаксической нотации версии 1 (ACH.1)».
ГОСТ 34.974 (ИСО 8825) «Информационная технология. Взаимосвязь открытых систем. Описание базовых правил кодирования для абстрактно-синтаксической нотации версии 1 (ACH.1)».
ИСО 8832* «Системы обработки информации. Взаимосвязь открытых систем. Спецификация протокола базисного класса для передачи заданий и манипулирования заданиями»
ИСО 9804* «Системы обработки информации. Взаимосвязь открытых систем. Определение элементов услуг прикладного уровня. Совершение, параллельность и восстановление».
ИСО 9834/2* «Системы обработки информации. Процедуры для специальных правил регистрации модели OSI. Часть 2. Регистрация типов документов».
__________
* До прямого применения данного документа в качестве государственного стандарта распространение его осуществляет секретариат ТК 22 «Информационная технология».
Термины определены в ГОСТ Р 34.980.1 (ИСО 8571/1).
Сокращения определены в ГОСТ Р 34.980.1 (ИСО 8571/1).
Виртуальным файлохранилищем управляет один или несколько прикладных логических объектов; абонент файлохранилища может связаться с этими логическими объектами во время инициализации режима службы ПДУФ (FTAM), при котором обеспечивается файловая услуга. Каждый прикладной логический объект, который способен функционировать в качестве ответственного логического объекта в режиме службы ПДУФ (FTAM), обеспечивает управление единственным виртуальным файлохранилищем. Таким образом, символическое имя прикладного логического объекта служит для идентификации виртуального файлохранилища.
Примечание Способы для размещения явных символических имен прикладных логических объектов и способы обслуживания соответствующего справочника для предоставления адреса при обеспечении связи с этим логическим объектом находятся вне сферы действия стандарта
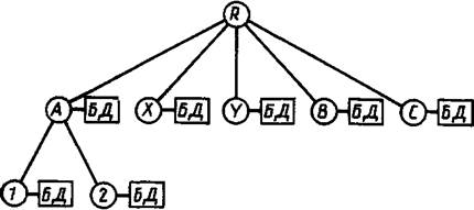
Файлохранилище может содержать произвольное количество файлов (или не содержать ни одного файла) (см. черт. 1).
Взаимосвязь между файлами, атрибутами и ассоциациями
Черт. 1
Свойства каждого файла определяются значениями множества атрибутов файла. Эти атрибуты являются глобальными; в любой момент времени значение одного атрибута доступно всем другим абонентам.
Каждый файл является либо пустым, либо имеет некоторое содержание сообщения и информацию о своей структуре. Некоторые из атрибутов файла указывают структурные аспекты содержания сообщения.
Имеется множество атрибутов взаимодействия, относящихся к каждому отдельному режиму службы ПДУФ (FTAM). Атрибуты взаимодействия бывают двух типов.
Первый тип один к одному соответствует атрибутам файла и указывает действующее значение этих атрибутов, воспринимаемых абонентом. Второй тип атрибутов взаимодействия представляет текущее значение информации о состоянии, которое имеет отношение к выполнению обменов информацией, имеющих место в режиме службы ПДУФ, и установленные данные, касающиеся абонента. Эти значения обычно получаются из соответствующих параметров при протокольных обменах. Абонент имеет доступ к описанию только тех режимов службы ПДУФ, в которых он принимает участие.
В любое время произвольное количество абонентов (большее или равное нулю) могут иметь инициализированные режимы службы ПДУФ. Обмен информацией между абонентом и ответственным логическим объектом приводит, в большинстве случаев, к выбору одного файла из виртуального файлохранилища, управляемого этим ответственным логическим объектом, который в любое время должен быть связан с соответствующим режимом службы ПДУФ.
Из системы, в которой отсутствует файлохранилище, выбор файла всегда выполняется с помощью указания имени файла. Указание к файлу находится в контексте определенного файлохранилища, идентифицируемого с помощью символического имени прикладного логического объекта. Символическое имя прикладного логического объекта указывает на местоположение хранения файла и известно пользователям файловой услуги, но находится вне сферы действия службы ПДУФ (FTAM). Имя файла описывается в разд. 12.
Выбор файла выполняется в две стадии. Сначала инициализируется режим службы ПДУФ (FTAM) с помощью прикладного логического объекта, обслуживающего данное виртуальное файлохранилище, а затем этому логическому объекту передается информация для явного указания файла из числа всех файлов в файлохранилище.
В общем случае выбор файла может быть выполнен при помощи указания оператора числа соотношений между предоставленными значениями и значениями атрибутов файла. Однако по настоящему стандарту обращение к файлу выполняется всегда по имени файла.
В этом разделе описываются особенности иерархической структуры. Абстрактная структура иерархических файлов, включая простые форматы двухмерных и неструктурированных файлов, определяется в стандарте, используя нотации ACH.1 в блоке данных БДДФ (Блок данных доступа к файлу) - FADU (File Access Data Unit) ГОСТ P 34.980.1-92 модуля нотаций ACH.1 (см. п. 7.2). Иерархическая структура имеет следующие особенности:
а) структура доступа к файлу является упорядоченной древовидной структурой;
б) узлу назначается один блок данных (или ни одного блока данных);
в) каждый узел в данной структуре предоставляет доступ к своему поддереву. Блок доступа (т.е. поддерево) известен как блок данных доступа к файлу БДДФ (FADU) и состоит из структурированных узлов поддерева и блоков данных, содержащихся в этом поддереве. Корневой узел древовидной структуры предоставляет доступ ко всему файлу;
г) узел имеет назначенное ему имя, но это необязательно;
д) не накладываются ограничения на количество уровней, на длину дуги и на количество дуг, исходящих из каждого узла;
Примечания:
1 Соответствующие наборы ограничений могут содержать ограничения, накладываемые на максимальный уровень и на допустимую длину дуги.
2. Древовидная структура доступа представлена на черт. 2, на котором с целью упрощения каждый узел уникально идентифицирован буквами от A до F.
Упорядоченная последовательность обхода представляет собой специфическую последовательность узлов в древовидной структуре. Она устанавливается с помощью выполнения обхода поддерева, которое соответствует целому файлу. Обход поддерева выполняется добавлением корневого узла поддерева к концу установленной последовательности обхода до тех пор, и, кроме того, для каждого порождения поддерева в порядке его появления, пока выполняется обход этого поддерева.
Примечание. Алгоритм описывает абстрактную конструкцию последовательности, которая используется при установлении идентификации блока данных БДДФ (FADU), определяя операции «Определение местоположения» и устанавливая порядок передачи. В настоящем стандарте не определено, как должен быть реализован этот алгоритм.
Блоки данных доступа к файлу, соответствующие некоторым поддеревьям, могут быть определены таким же образом, как эти поддеревья (т.е. с помощью их корневых узлов). Подобно этому блоки данных всегда связаны с узлом и могут быть идентифицированы с помощью идентификации этого узла. Общая иерархическая структура может отображать широкий ряд различных практических структур файла. Однако реальные системы могут обеспечивать только ограниченный ряд структур, и эти ограничения, накладываемые на передаваемые файлы, могут быть модифицированы. Чтобы выразить это более ясно, вводится концепция набора ограничений. Набор ограничений определяет ограничения, накладываемые на ряд допустимых структур, и определяет способ, по которому базисные действия доступа к файлу могут модифицировать эту структуру. Наборы ограничений, отражающие определенные общие типы файлов, описываются в настоящем стандарте (см. приложение А).
Примечание. Предполагается, что для обслуживания реестра наборов ограничений будет установлена санкция на регистрацию.
Древовидная структура доступа
Черт. 2
Примечание. Идентифицируются следующие части древовидной структуры (поддеревья идентифицируются своим корневым узлом):
Корневой узел дерева: узел R.
Упорядоченная последовательность обхода: узлы R, A, B, C, D, E, F.
Порядок обхода: слева направо.
Структура доступа иерархической модели файла, использующая нотацию ACH.1, представлена на черт. 4. Содержание сообщения блока данных может быть выражено в нотации ACH.1, как показано на черт. 3, или в некоторой другой нотации абстрактного синтаксиса.
Файлы являются доступными в терминах блоков данных доступа к файлу БДДФ (FADU), которые эквивалентны поддеревьям в общей иерархической модели. Наименьшей доступной единицей данных, которая должна указываться, является один блок-данных БД (Блок данных) - DU (Data Unit). Для передачи данных с контрольной точки блоки данных могут быть разделены на еще меньшие части, называемые элементами данных ЭД (Элемент данных) - DE (Data Element). Невозможно получить доступ к индивидуальным элементам данных блока данных с помощью средств обслуживания файлохранилища, определенных в ГОСТ Р 34.980.1 (ИСО 8571/1); возможен доступ только к целому блоку данных.
В целях обеспечения доступа к структуре файлов в иерархической модели файлов службы ПДУФ (FTAM) данный стандарт предоставляет значение идентификатора объекта нотации ACH.1
{ГОСТ Р 34.980 (ИСО 8571) Абстрактный синтаксис (2) Блок данных FADU службы FTAM (2)}
в качестве имени абстрактного синтаксиса для множества значений данных уровня представления, каждое из которых является значением элемента структурировании типа «Блок данных FADU ГОСТ Р 34.980 (ИСО 8571). Элемент данных структурирования» нотации ACH.1.
Соответствующим значением дескриптора объекта по ГОСТ 34.974 должен быть «Блок данных FADU службы FTAM».
Идентификатор объекта нотации ACH.1 и значения дескриптора объекта
{Единый - ИСО - МККТТ ACH.1 (1) Базисное кодирование (1)} и
«Базисное кодирование единого типа ACH.1» могут использоваться в качестве имени синтаксиса передачи с этим абстрактным синтаксисом.
Блок данных БДДФ (FADU) ГОСТ Р 34.980 модуля нотации ACH.1 определяет структуру доступа общей иерархической модели. Синтаксис для передачи содержания сообщения файлов получается из этого блока и содержит значения элементов типа «Элемент данных». От отправителя службы ПДУФ (FTAM) к получателю службы ПДУФ (FTAM) передается элемент информации только типа «Элемент данных» с помощью услуги уровня представления ГОСТ 34.971 (ИСО 8822). Однако эти значения должны появляться в своем синтаксическом порядке.
Примечание. Синтаксис составляется таким образом, чтобы синтаксический порядок был эквивалентен упорядоченной последовательности обхода.
Информация структурирования (т.е. значения элементов типа «Элемент данных структурирования») передается в контексте блока данных БДДФ (FADU) службы ПДУФ (FTAM) (значение, соответствующее абстрактному синтаксису блока данных БДДФ (FADU) службы ПДУФ (FTAM), см. п. 7.3). Имена узлов находятся или в этом же контексте или другом, входящем в него контексте. Значения элементов типа «Элемент данных содержания сообщения файла» передаются в контексте уровня представления содержания сообщения файла.
Абстрактные синтаксисы, используемые для передачи части или всего содержания сообщения файла, указываются атрибутом файла «Тип содержания сообщения». Каждый используемый абстрактный синтаксис должен быть связан с другим контекстом уровня представления. Имеются две возможности:
а) значение атрибута файла «Тип содержания сообщения» определяет абстрактный синтаксис и набор ограничений; требуется контекст уровня представления, соответствующий указанному абстрактному синтаксису. Этот контекст уровня представления используется для передачи и имен узлов и действительного содержания сообщения файла. Если при использовании набор ограничений предоставляет информацию структурирования файла, то требуется определенный контекст уровня представления, который соответствует абстрактному синтаксису структурирования файла (см. п. 7.3);
б) значение атрибута файла «Тип содержания сообщения» указывает тип документа; для каждого абстрактного синтаксиса, указанного в элементе реестра «Тип документа», требуется соответствующий контекст уровня представления. Тип документа также определяет, какой контекст уровня представления должен использоваться для передачи имен узлов, если они присутствуют. Они могут быть представлены:
1) в контексте уровня представления, соответствующего одному из абстрактных синтаксисов, определенному типом документа (закодированного пользователем);
2) в том же контексте уровня представления в качестве информации структурирования файла (закодированному службой ПДУФ (FTAM).
Использование абстрактной структуры, определенной в модуле блока данных БДДФ (FADU) ГОСТ Р 34.980.1, чтобы получить соответствующую последовательность информации для передачи, будет создавать полную иерархическую структуру файлов, то есть будут передаваться вся информация структурирования и все данные в указанном блоке данных БДДФ (FADU). Однако можно выбрать файлы для чтения с ограниченным типом структуры этих файлов с помощью использования контекстов доступа. Во всех случаях элементы данных передаются в порядке, определенном в блоке данных БДДФ (FADU) ГОСТ Р 34.980, а узлы передаются в том порядке, в котором они появляются в упорядоченной последовательности обхода.
Определение содержания сообщения файла по нотации ACH.1
Черт. 3
Определение структуры файла по нотации ACH.1
Черт. 4, лист 1

Черт. 4, лист 2

Черт. 4, лист 3
7.5.1. НА - контекст доступа всех иерархических блоков данных
В контексте доступа НА (Hierarchical All - все иерархические) все четыре типа элементов данных («Элемент данных дескриптора узла», «Элемент данных входного поддерева», «Элемент данных выходного поддерева» и «Элемент данных содержания сообщения файла») передаются в адресуемом блоке данных БДДФ.
7.5.2. НИ (HN) - контекст доступа иерархических блоков данных
В контексте доступа НИ (HN) (Hierarchical No - неиерархический) все элементы данных типа «Элемент данных описателя узла», «Элемент данных входного поддерева» и «Элемент данных выходного поддерева» передаются из адресуемого блока данных БДДФ (FADU).
7.5.3. ВД (FA) - контекст доступа всех двухмерных блоков данных
В контексте доступа ВД (FA) (Flat All - все двухмерные) элементы данных типа «Элемент данных описателя узла» и «Элемент данных содержания сообщения файла» передаются из адресуемого блока данных БДДФ (FADU). Передаются только те элементы типа «Элемент данных описателя узла», в которых значением параметра «Наличие данных» является TRUE (ИСТИНА).
7.5.4. ДУ (FL) - контекст доступа двухмерных блоков данных уровня 1
В контексте доступа ДУ (FL) (двухмерный уровень - Flat Level) элементы данных типа «Элемент данных дескриптора узла» и «Элемент данных содержания сообщения файла» передаются из тех узлов в адресуемом блоке данных БДДФ (FADU), которые принадлежат указанному уровню. Передаются только те элементы типа «Элемент данных дескриптора узла», в которых значением параметра «Наличие данных» является TRUE (ИСТИНА).
7.5.5. ЕД (FS) - контекст доступа единственного двухмерного блока данных
В контексте доступа ЕД (FS) (единственный двухмерный - Flat Single) передаются единственный элемент типа «Элемент данных дескриптора узла» и все элементы типа «Элемент содержания сообщения файла» единственного блока данных БД (DU), принадлежащего корневому узлу адресуемого блока данных БДДФ (FADU).
7.5.6. ВН (UA) - контекст доступа всех неструктурированных блоков данных
В контексте доступа ВН (UA) (все неструктурированные - Unstructured All) передаются только элементы данных типа «Элемент содержания сообщения» из адресуемого блока данных БДДФ (FADU).
7.5.7. НЕ (US) - контекст доступа единственного неструктурированного блока данных
В контексте доступа НЕ (US) (единственный неструктурированный - Unstructured Single) передаются все элементы данных типа «Элемент данных содержания сообщения файла» единственного блока данных БД (DU), принадлежащего корневому узлу адресуемого блока данных БДДФ (FADU).
7.5.8. Краткое описание контекстов доступа
Результат чтения непустого иерархического поддерева в контекстах доступа показан в табл. 1 в терминах типов данных, определенных в блоке данных БДДФ (FADU) ГОСТ Р 34.980.
Результат чтения в контексте доступа
|
Контекст доступа |
Результат |
|
НА |
Единственное поддерево |
|
НИ (HN) |
Неопределенный тип, потому что элементы типа «Элемент данных описателя узла» с параметром «Наличие данных» = ИСТИНА передаются без элементов данных, составляющих блок данных БД (DU) |
|
ВД (FA) |
Группа поддеревьев, каждое с одним узлом |
|
ДУ (FL) |
Группа поддеревьев, каждое с одним узлом |
|
ЕД (FS) |
Единственное поддерево с одним узлом |
|
ВН (UA) |
Единственный блок данных БД (DU) |
|
НЕ (US) |
Единственный блок данных БД (DU) |
Блок данных БДДФ (FADU) идентифицируется с помощью указания корневого узла соответствующего поддерева. Блок данных БДДФ (FADU) может идентифицироваться с помощью любого из следующих механизмов:
а) «Первый» - идентифицируется первый блок данных БДДФ (FADU) в упорядоченной последовательности обхода такой структуры файла, для которой указывается наличие данных;
б) «Последний» - идентифицируется последний блок данных БДДФ (FADU) в упорядоченной последовательности обхода структуры файла;
в) «Предшествующий» - идентифицируется блок данных БДДФ (FADU), предшествующий идентифицированному в настоящий момент блоку данных БДДФ (FADU) в упорядоченной последовательности обхода структуры доступа к файлу;
г) «Текущий» - указатель текущего местоположения в файле остается неизменным;
д) «Следующий» - идентифицируется блок данных БДДФ (FADU), следующий за идентифицированным в настоящий момент блоком данных БДДФ (FADU) в упорядоченной последовательности обхода структуры доступа к файлу;
е) «Начальный» - точное значение механизма «Начальный» зависит от используемого набора ограничений, но является таким, что операция «Определить местоположение следующего» будет идентифицировать «Первый» блок данных БДДФ (FADU);
ж) «Конечный» - устанавливает состояние файла, при котором не выполняется установление указателя текущего местоположения, а использование механизма «Предшествующий» будет идентифицировать «Последний» блок данных БДДФ (FADU) в упорядоченной последовательности обхода для структуры доступа к файлу;
з) имя узла - указывает идентификатор такого блока данных БДДФ (FADU), который должен быть идентифицирован. Поиск указанного имени узла ограничивается до порождения узла, на который показывает указатель текущего местоположения;
и) последовательность имен узлов - указывает перечень идентификаторов блоков данных БДДФ (FADU) от корневого узла файла до узла, местоположение которого должно быть определено. Первый элемент «Имя узла» в перечне указывает узел, являющийся порождением корневого узла файла, таким образом сам корневой узел идентифицируется пустым элементом в механизме «Последовательность имен узлов»;
к) номер узла - указывает узел, который должен быть выбран с помощью своего номера в упорядоченной последовательности обхода структуры доступа к файлу. Корневой узел файла имеет нулевой номер узла.
На общую иерархическую структуру накладываются ограничения, и ее дальнейшая динамика квалифицируется определенным номером набора ограничений, каждый номер набора ограничений определяет соответствующую структуру при общем использовании. Наборы ограничений описаны в приложении А. При обменах протоколами наборы ограничений указываются с помощью имен, которые имеют тип «Идентификатор объекта» нотации ACH.1.
Кроме этого, на множество действий, которые окончательно допускаются в режиме «Открытие файла», в действительности в дальнейшем накладывают ограничения действия, указанные в наборе ограничений. Эти дальнейшие ограничения накладываются атрибутом файла «Разрешенные действия», атрибутом взаимодействия «Текущий режим обработки», атрибутом файла «Управление доступом», атрибутом взаимодействия «Текущее управление совместным доступом» и функциональными блоками, выбранными для текущего режима службы ПДУФ (FTAM).
Виртуальное файлохранилище определяет действия, которые манипулируют блоками данных в файле. При определении индивидуальных действий (см. разд. 10, 11) сообщаются блоки данных, к которым должны применяться эти действия, и сообщается, какие воздействия необходимо применить к этим блокам данных. По некоторым действиям также устанавливается некоторое состояние файлохранилища, такое как «Выбор файла» или «Определение местоположения» блока данных БДДФ (FADU).
Действия вызываются с помощью сервисных примитивов. Их семантика определяется в сочетании с файловыми сервисными примитивами, определенными в ГОСТ Р 34.1980.3 (ИСО 8571/3) (см. примечание 1).
Использование каждого действия подчиняется тому, что ответственный логический объект управляет доступом (см. п. 12.16). Применение действия подчиняется системе управления согласованностью действий, управляющей параллельными активностями во время выполнения этого действия и после завершения этого действия (см. примечания 2 и 3).
Примечания:
1. Некоторые примитивы определения услуг также тесно связаны с соответствующими действиями, но два примитива всегда логически являются явными.
2. Если принимается согласие на использование элемента совершения операций, согласованности действий и восстановления при ошибках, то должны применяться системы управления согласованностью действий, как указано в данном стандарте.
3. Система управления согласованностью действий предоставляет абоненту возможность или запрашивать незатребованные ранее действия (разделенный доступ, исключительный доступ), или не запрашивать доступ для различных действий над ресурсами. Если не запрашивается или не разрешается разделяемый доступ или исключительный доступ, действия других ассоциаций не имеют места. Если запрашивается или разрешается разделенный доступ, то нет места исключительному доступу с помощью других ассоциаций.
4. Ответственный логический объект выполняет действия (как определено в разд. 10, 11) таким образом, что они являются периодическими. Периодическое выполнение определяется, чтобы выполнить операции согласованности действий, выполняющие активности способом, при котором получается такой же результат, как и при серийном выполнении этих же самых активностей. Серийное выполнение - это такое выполнение, при котором каждое действие завершается до начала следующего действия.
Иерархическая модель содержания сообщения файла определяется в блоке данных БДДФ (FADU) ГОСТ Р 34.980 модуля нотации ACH.1. Эта модель определяет три типа данных, которые называются структурными элементами файла. Это:
а) поддерево - тип данных главной точки входа модуля, отображающий полный блок данных БДДФ (FADU).
б) порождение - тип данных, который содержит последовательность входного поддерева, последовательность одного или нескольких поддеревьев и последовательность выходного поддерева. Использование этого типа данных на внешнем уровне не отображает единственный блок данных БДДФ (FADU), а разделяет группы блоков данных БДДФ (FADU), требуя специального действия над ними (см. п. 8.3);
в) блок данных БД (DU): тип данных, которые состоят только из единственного блока данных.
Принимающая система передаваемых данных большого объема оповещается, чтобы она могла распознать структурный элемент файла при приеме соответствующей группы данных типа «Элемент данных». Эти данные являются группой данных типа «Элемент данных» в значении типа данных этого структурного элемента файла.
Определенные наборы ограничений подразделяются на два варианта некоторых действий, определяющих различные семантики для этих наборов ограничений. Они называются:
а) нормальное действие, получающееся в результате передачи полного поддерева на внешний уровень;
б) действие ограниченного, использования, получающееся в результате передачи структурного элемента файла типа «Порождение». Это действие ограниченного использования применяется к каждому поддереву в последовательности в пределах значения данных типа «Порождение».
Примечание. Этот модуль используется, чтобы в общем иерархическом наборе ограничений иметь различие между действием «Вставить в качестве родственного» и действием «Вставить в качестве порождения».
При выполнении действия для чтения блока данных БДДФ (FADU) (см. п. 11.2) ответственный логический объект должен сформировать один или несколько структурных элементов файла типа «Поддерево» или единственный структурный элемент файла типа «Блок данных БД (DU)», в зависимости от используемого контекста доступа.
Перед выполнением действия для записи ответственный логический объект должен выполнить действие «Определение местоположения», используя предоставленную идентификацию блока данных БДДФ (FADU).
При выполнении действия «Вставка», «Замена» и «Расширение» (см. пп. 11.3 - 11.5) ответственный логический объект должен проанализировать принятые группы значений данных для того, чтобы распознать структурный элемент файла. Доступность структурных элементов файла будет зависеть от использования набора ограничений, но в общем случае ответственный логический объект будет распознавать:
а) группы значений данных, которые могут быть распознаны как элемент типа «Поддерево»; такой структурный элемент файла отображает блок данных БДДФ (FADU);
б) группы значений данных, которые могут быть распознаны как элемент типа «Порождение»; этот элемент отображает группы блоков данных БДДФ (FADU), над которыми должны быть выполнены действия ограниченного использования. Значение действия ограниченного использования и его воздействие указываются, в каждом наборе ограничений, для которого этот структурный элемент файла является допустимым;
в) группы значений данных, которые могут быть распознаны как элемент типа «Блок данных БД (DU)» и которые не распознаются как часть любого другого структурного элемента файла, состоящего из более длинной группы значений данных; этот структурный элемент файла отображает тип «Элемент данных». В определенных наборах ограничений этот структурный элемент файла используется для расширения или замены блока данных БДДФ (FADU), местоположение которого указывается в настоящий момент.
Примечания:
1. Если передача данных выполняется в режиме службы ПДУФ (FTAM), значения данных передаются ответственному логическому объекту с помощью примитива индикации P-Daтa.
2. Структурный элемент файла типа «Порождение» состоит из элемента типа «Входное поддерево», группы элементов типа «Поддерево» и элемента типа «Выходное поддерево» (см. п. 7.2),
3. Модуль ограниченного использования действия применяется, например, чтобы в общем иерархическом файле различать действия «Вставка»; нормальным является действие «Вставить в качестве родственного», а действием ограниченного использования является действие «Вставить в качестве порождения».
4. Структурный элемент файла типа «Блок данных БД (DU)» не разделяется. Конец этого элемента указывается или индикатором конца передаваемых данных, или индикатором начала следующего элемента «Поддерево», или индикатором начала структурного элемента файла «Порождение».
5. В общем случае для распознавания структурного элемента файла требуется предусмотреть одно какое-либо значение данных.
При приеме каждого структурного элемента файла ответственный логический объект должен:
г) выполнить требуемое при передаче целого файла действие в ответ на прием элемента «Поддерево» или элемента «Блок данных БД (DU)» или в ответ на прием каждого элемента группы ограниченного использования, указанного в элементе «Порождение»;
д) после выполнения каждого действия изменить указатель текущего местоположения, как указано в наборе ограничений.
Если возникает ошибка, то этот процесс завершается немедленно, но если ошибок не было и указанные для распознавания структурного элемента файла действия были выполнены, то ответственный логический объект должен попытаться распознать следующий структурный элемент файла и повторить описанный выше процесс. Это продолжается до тех пор, пока не завершится передача данных или пока не будет обнаружена ошибка. Эта ошибка может привести к тому, что при приеме группы значений данных нельзя будет распознавать полный структурный элемент файла. Однако данные при одной передаче могут содержать несколько отдельных структурных элементов файла.
Определены два класса атрибутов:
а) атрибуты файла; каждый файл описывается множеством значений атрибутов файла. Область действия атрибутов файла распространяется на виртуальное файлохранилище, и если значение атрибута файла изменяется действием какого-либо абонента, то это новое значение будет представлено другим абонентам при последующем чтении этого атрибута;
б) атрибуты взаимодействия; каждая активность выполняется в режиме службы ПДУФ (FTAM) и описывается множеством значений атрибутов взаимодействия. Область действия атрибутов взаимодействия распространяется, в большей степени, на режим службы ПДУФ (FTAM), и различные и независимые множества значений атрибутов взаимодействия относятся к каждому отдельному режиму службы ПДУФ (FTAM). Существуют два различных подмножества атрибутов взаимодействия:
1) действующие атрибуты один к одному соответствуют атрибутам файла.
Примечание. В большинстве случаев отображение является простым, хотя значения множества атрибутов файла устанавливаются во время создания файла. Однако некоторые действующие атрибуты, такие как «Действующий тип содержания сообщения» и «Действующее законное ограничение» имеют различные значения, которые являются подмножествами значений атрибутов файла;
2) текущие атрибуты относятся к абоненту и, в общем случае, выделяются из параметров при обменах протоколами.
Примечание. Текущие атрибуты не являются точными эквивалентами статическим атрибутам файла, но в некоторых случаях очень близко им соответствуют. Например, атрибут «Текущие пароли для доступа» должен быть частью терма «Пароли для доступа» в атрибуте «Управление доступом».
Определены три типа атрибутов:
а) скалярные атрибуты; каждый скалярный атрибут в определенное время имеет одно значение;
б) векторные атрибуты; каждый векторный атрибут имеет значение, которое представляет собой список, содержащий несколько элементов, или не содержащий ни одного элемента, каждый из которых имеет независимое значение. Эти элементы являются упорядоченными;
в) множественные атрибуты; каждый множественный атрибут имеет значение, которое представляет собой неупорядоченное множество, состоящее из нескольких элементов или не содержащее ни одного элемента, каждый из которых имеет различное значение.
Эффект действия по изменению атрибутов на каждый из этих различных типов атрибутов определен в п. 10.3.
Для каждого атрибута определяется тип его значения (или тип значения его элементов для векторного или множественного атрибута). Тип значения является одним из следующих:
а) последовательность символов (исключая пробел) из множества символов, определенных типом «Графическая строка» в ГОСТ 34.973 (нотация ACH.1);
б) последовательность октетов, как определено типом OCTET STRING (СТРОКА ОКТЕТОВ) в ГОСТ 34.973 (нотация ACH.1);
в) целочисленный тип, как определено типом INTEGER (ЦЕЛОЧИСЛЕННЫЙ ТИП) в ГОСТ 34.973 (нотация ACH.1):
г) булевский, как определено типом BOOLEAN (БУЛЕВСКИЙ) в ГОСТ 34.973 (нотация ACH.1);
д) символическое имя прикладного логического объекта, как определено типом «Символическое имя AE (Application Entity - прикладной логический объект)» в модуле ACSE-1 (Association Control Service Element - сервисный элемент управления ассоциацией) нотации ACH.1 в стандарте ИСО 8650;
е) дата и время; значения даты и времени ограничены до значений выражения типа «Общая форма записи времени», как определено в стандарте ИСО 8601;
ж) элемент поименованного множества значений, определенных в настоящем стандарте;
з) OBJECT IDENTIFIER (ИДЕНТИФИКАТОР ОБЪЕКТА), как определено в ГОСТ 34.973;
и) указание, что значение не может быть определено.
Примечания:
1. Решение и точность, с которыми формируются значения атрибутов «Дата и время», определяются ответственным логическим объектом и не определены в настоящем стандарте.
Усечение справа при отображении значения используется произвольно при указании точности (см. стандарт ИСО 8601); усечение слева не используется,
2. Для экземпляра значения будет выполняться ответ, если среда реальной системы не имеет возможности сохранить информацию.
Определены три уровня обеспечения атрибутов файла в файлохранилище:
а) атрибут не обеспечивается; абонент, не обеспечивающий атрибут, никогда не сможет указать ссылку на него. Попытка указания ссылки на атрибут, который не обеспечивает ответственный логический объект, приводит в результате к ошибке;
б) атрибут обеспечивается частично; абонент не должен требовать частичного обеспечения любого атрибута. Указание абонентом ссылки на атрибут, который ответственным логическим объектом обеспечивается частично, приведет к результату «Значение не доступно»; попытки изменить такой атрибут будут безуспешными;
в) атрибут обеспечивается; абонент, требующий обеспечение атрибута, должен способствовать выполнению запрошенных действий над файлохранилищем, указывая, по крайней мере, минимальные значения атрибутов, как определено в разд. 15.
Примечание. Данная возможность может быть субъектом для соответствующих признаков.
Указание ссылки на атрибут, обеспечиваемый ответственным логическим объектом, будет производить, по крайней мере, минимальные значения, как определено в разд. 15. Ответственный логический объект, требующий обеспечения атрибута, должен обеспечить соответствующую семантику атрибута, как определено в разд. 12 и 13.
Данное действие создает новый файл или произвольно выбирает существующий файл и устанавливает атрибуты нового файла. Действие устанавливает режим «Выбор файла» и выбирает вновь созданный файл (см. п. 10.2). Начальное состояние файла определяется элементом «Состояние» в наборе ограничений для этого файла при его создании (см. приложение А).
Данное действие устанавливает связь между абонентом и соответствующим файлом. Данное действие устанавливает режим «Выбор файла», который предварительно требуется для выполнения действий, указанных в пп. 10.3 - 10.8. Для того чтобы успешно выбрать файл, параметры должны указываться только для одного файла.
Данное действие изменяет существующие атрибуты файла:
а) для скалярного атрибута действие заменяет существующее значение атрибута;
б) для векторного атрибута действие заменяет полный список элементов на данный список;
в) для множественного атрибута действие:
добавляет данный элемент или элементы к атрибуту;
и/или удаляет элемент, или элементы, эквивалентные данному значению или значениям из атрибута.
Примечания:
1. Для успешного выполнения операции добавления элемента к множественному атрибуту требуется, чтобы этот элемент отличался от всех элементов в этом множественном атрибуте.
2. Для успешного выполнения операции удаления элемента из множественного атрибута требуется наличие этого элемента в этом множественном атрибуте.
Данное действие запрашивает значение требуемых атрибутов. Для векторного и множественного атрибута данное действие предоставляет полный список значений элементов.
Данное действие устанавливает режим «Открытие файла» для выполнения действий над выбранным файлом при доступе к файлу (см. разд. 11). Файл может быть открыт для чтения, если допустимыми являются действия «Чтение» и «Определение местоположения», или для записи, если допустимыми являются действия при доступе к файлу.
Данное действие завершает, в зависимости от способа, режим «Открытие файла», ранее установленный действием «Открытие файла».
Данное действие удаляет выбранный файл или отменяет выборку выбранного файла. Оно завершает текущий режим «Выбор файла».
Данное действие завершает, в зависимости от способа, текущий режим «Выбор файла».
Действие доступа к файлу выполняются в режиме, установленном действием «Открытие файла». Действия, которые являются допустимыми для соответствующего файла, будут зависеть от набора ограничений и могут быть модифицированы с помощью этого набора ограничений, который применяется к данному файлу (см. приложение А). Кроме этого, атрибуты файла «Разрешенные действия» и «Управление доступом» могут в дальнейшем ограничить, так или иначе, некоторые действия, которые могли бы быть выполнены над этим файлом.
Множество блоков данных БДДФ (FADU) указывают способы, с помощью которых они могут использоваться, могут быть модифицированы набором ограничений. Структурирование содержания сообщения файла с целью доступа имеет структуру доступа к файлу, определенную в разд. 7, которая модифицируется при выполнении действия «Чтение» с использованием контекста доступа.
Данное действие определяет местоположение указанного блока данных БДДФ (FADU). Значения параметров являются допустимыми, чтобы запросить местоположение в начале или в конце файла. Когда файл открывается, местоположение указывается в прилагаемом наборе ограничений.
Значения параметров нужны для определения различных способов идентификации блока данных БДДФ (FADU). Область допустимых значений идентификации блоков данных БДДФ (FADU) определена в п. 7.6.
Если операция «Определение местоположения» завершается со сбоем, указатель текущего местоположения остается неизменным.
Данное действие определяет местоположение и читает блок данных БДДФ (FADU). Значение указателя местоположения после доступа не изменяется.
Блоки данных и информация структурирования, которые должны передаваться, определяются на основе запрошенного контекста доступа. Запрос может быть для любых определенных контекстов доступа, указанных в наборе ограничений.
Данное действие создает новый блок данных БДДФ (FADU) н вставляет его в позицию в файле, указанную в наборе ограничений (см . приложения А и Г). В иерархических файлах блок данных БДДФ может вставляться в любой уровень относительно узла, который становится порождающим, уровень указывается в элементе «Элемент данных описателя узла» блока данных БДДФ (FADU) (см. п. 7.2). По умолчанию относительным уровнем является уровень 1.
Данное действие заменяет содержание сообщения в существующем блоке данных БД (DU) или БДДФ (FADU). Предыдущее содержание сообщения теряется. Заменяется или весь блок данных БДДФ (FADU), для которого в настоящий момент определено местоположение, или заменяется только содержание сообщения блока данных БД (DU), принадлежащего своему корневому узлу:
а) замена всего блока данных БДДФ (FADU) возможна, если доступна информация структурирования файла по замене блока данных БДДФ (FADU). Ни имя узла, ни длина дуги корневого узла блока данных БДДФ (FADU), для которого в настоящий момент определено местоположение, не могут быть изменены средствами действия «Замена». Действие «Замена» применяется и к информации структурирования и к блокам данных БД (DU) в блоке данных БДДФ (FADU), т.е. новая информация структурирования может быть получена как часть результата действия «Замена»;
б) замена блока данных, принадлежащего корневому узлу блока БДДФ (FADU), для которого в настоящий момент определено местоположение, допускается, только если информация структурирования файла не является доступной вместе с заменяемым блоком данных БД (DU).
Действие «Замена» не изменяет указатель текущего местоположения.
Данное действие добавляет данные в конец блока данных БД (DU), принадлежащего корневому узлу блока данных БДДФ (FADU), для которого в настоящий момент определено местоположение. Действие «Расширение» применяется только к существующим блокам данных БД (DU). Действие «Расширение» не изменяем указатель текущего местоположения.
Данное действие стирает блок данных БДДФ (FADU), и на его место помещается первый оставшийся блок данных БДДФ (FADU) в упорядоченной последовательности обхода после стертого блока данных БДДФ (FADU). Если выполняется действие «Стирание», то определяется местоположение всего корневого узла файла, после создания файл восстанавливает свое состояние.
В табл. 2 определено влияние действий при доступе к файлу на указатель текущего местоположения. Этот указатель текущего местоположения может быть установлен с помощью неявного определения местоположения, если сервисный примитив, который вызывает действие, содержал идентификатор блока данных БДДФ (FADU). Если действие «Определение местоположения» не завершается успешно, то указатель текущего местоположения остается неизменным.
Примечание. Примеры влияния действий на текущее местоположение и структуры способов, которые могут быть построены, приведены в приложении Г.
Влияние действий на местоположение
|
Операция доступа |
Местоположение после доступа |
|
Определение местоположения |
Как указано идентификацией блока данных БДДФ (FADU), определенной в п. 11.1 |
|
Чтение |
Как указано идентификацией блока данных БДДФ (FADU) |
|
Вставка |
См. приложение А |
|
Замена |
Не изменяется |
|
Расширение |
Не изменяется |
|
Стирание |
Указывает на блок данных БДДФ (FADU), следующий за стертым блоком данных БДДФ (FADU) (при упорядоченной последовательности обхода) |
Каждый атрибут файла является глобальным в том смысле, что в любое конкретное время атрибут имеет одно и то же значение или одно и то же множество значений. Все абоненты при выполнении действий над файлом или будут получать одно и то же значение, одно и то же множество значений, или будут получать указание «Значение не доступно» для атрибута файла.
Каждый файл в файлохранилище имеет имя. «Имя файла» является векторным атрибутом, элементы которого формируют последовательность компонентов имени. Каждый компонент имеет значение типа «Графическая строка» (см. разд. 15).
Значение атрибута «Имя файла» устанавливается во время создания файла, но может быть изменено действием «Изменение атрибута».
Примечания:
1. Настоящий стандарт не определяет интерпретацию компонентов имени файла; стандарт обеспечивает прозрачный механизм именования для абонента и ответственного логического объекта.
2. Отношение между компонентами, определенными в виртуальном файлохранилище, и любое разделение на компоненты в среде реальной системы определяется выбором локальной реализующей системы. Реализующая система может отображать структуру локальных компонентов в компоненты атрибута «Имя файла» или может предпочесть отобразить свой имеющийся синтаксис имени файла только в однокомпонентное имя файла в терминах виртуального файлохранилища.
3. Реализующая система может отобразить компоненты имени файла виртуального файлохранйлища в обозначении пути доступа к выбираемому файлу, но такой выбор является невидимым при взаимосвязи.
Атрибут «Разрешенные действия» является векторным атрибутом и указывает множество действий, которые могут быть выполнены над файлом, и множество способов идентификации блоков данных БДДФ (FADU), которые могут использоваться для доступа к файлу (см. п. 7.6 и 11). Ответственный логический объект реализует это множество разрешенных действий любым способом, который лежит в основе отображения этих действий в реальной системе.
Различные способы идентификации блоков данных БДДФ (FADU) разбиты по категориям на следующие три группы идентификации блоков данных БДДф (FADO):
|
обход: |
начальный, первый, следующий, последний, конечный; |
|
обратный обход: |
начальный, первый, предшествующий, последний, конечный; |
|
произвольный порядок: |
текущий, одно имя узла, последовательность имен узлов, номер узла. |
Данный атрибут является векторным атрибутом, элементы которого принимают значения типа БУЛЕВСКИЙ. Каждый из этих элементов указывает допустимость действия или группу идентификации блока данных БДДФ (FADU). Этими элементами являются:
а) допустимые действия:
1) чтение;
2) вставка;
3) замена;
4) расширение;
5) стирание;
6) чтение атрибута;
7) изменение атрибута;
8) удаление файла;
б) допустимые группы идентификации блоков данных БДДФ (FADU):
1) обход;
2) обратный обход;
3) произвольный порядок.
Значение атрибута «Разрешенные действия» устанавливается при создании файла и не может быть изменено действием «Изменение атрибута».
Атрибут «Тип содержания сообщения» указывает типы абстрактных данных содержания сообщения файла и информацию структурирования, которая является необходимой, если во время передачи файла должна быть сформирована структура и семантика полного файла. «Тип содержания сообщения» является скалярным атрибутом
Значение атрибута «Тип содержания сообщения» устанавливается при создании файла и не может быть изменено при использовании действия «Изменение атрибута».
Данное значение представляет или имя типа документа, возможно с параметрами в единственном значении какого-либо типа, или пару имен, состоящую из имени абстрактного синтаксиса и имени набора ограничений. Каждое из этих имен имеет значение типа OBJECT IDENTIFIER (ИДЕНТИФИКАТОР ОБЪЕКТА).
Действие «Открытие файла» для записи не достигнет успешного завершения, если информация «Тип содержания сообщения», которая предоставляется с запросом на выполнение действия «Открытие файла», не соответствует данному атрибуту. Действие «Открытие файла» для чтения завершится успешно, если только какая-либо информация, которая предоставляется с запросом на выполнение действия «Открытие файла», равна либо данному атрибуту, либо упрощению или релаксации атрибута (см. приложение В). Более подробно данная информация может быть представлена в следующем виде:
а) информация не предоставлена, в этом случае используется значение атрибута;
б) имя абстрактного синтаксиса и имя набора ограничений, в этом случае соответствие должно быть точным;
в) имя типа документа без параметров, в этом случае соответствие должно быть точным для операции записи, но может представлять определенное упрощение для операции «Чтение»;
г) имя типа документа с нулевыми параметрами, в этом случае имя должно соответствовать или представлять упрощение для операции «Чтение», но значения параметров принимаются из значения атрибута;
д) имя типа документа с ненулевыми параметрами, в этом случае имя должно соответствовать или представлять упрощение для операции «Чтение» и параметры должны соответствовать или быть более ограниченными для операции «Запись» и соответствовать или представлять релаксацию для операции «Чтение».
Атрибут «Счет за хранение» идентифицирует подотчетную санкционированную систему, ответственную за подсчет расходов по хранению файла, и является скалярным атрибутом.
Значение данного атрибута устанавливается при создании файла, но может быть изменено действием «Изменение атрибута».
Значение атрибута «Счет за хранение» имеет тин «Графическая строка».
Примечание. Механизмы управления счетом и средства, с помощью которых оценивают и согласовывают расходы, находятся вне сферы действия данного стандарта.
Атрибут «Дата и время создания» указывает, когда был создан файл, и является скалярным атрибутом.
Данный атрибут устанавливается ответственным логическим объектом при создании файла и указывает местную дату и время ответственного логического объекта. Значение атрибута «Дата и время создания» устанавливается в момент завершения действия «Создание файла».
Данный атрибут не может быть изменен с помощью использования действия «Изменение атрибута».
Значение данного атрибута имеет тип «Общая форма записи времени» (см. п. 9.3).
Атрибут «Дата и время последней модификации» является скалярным атрибутом. Он указывает, когда последний раз было модифицировано содержание сообщения файла.
Данный атрибут изменяется ответственным логическим объектом всякий раз, когда файл закрывается после того, как он был открыт для модификации или расширения (включая закрытие после отказа соединения). Атрибут не изменяется до тех пор, пока файл является открытым для изменения содержания сообщения; он не изменяется, если изменяются атрибуты файла. Значение атрибута «Дата и время последней модификации» устанавливается в момент завершения действия «Закрытие файла».
Данный атрибут не может быть изменен с помощью использования действия «Изменение атрибута».
Значение данного атрибута имеет тип «Общая форма записи времени» (см. п. 9.3). Для вновь созданного файла значение данного атрибута равно значению атрибута «Дата и время создания»
Атрибут «Дата и время последнего доступа для чтения» является скалярным атрибутом. Он указывает, когда последний раз было прочитано содержание сообщения файла.
Данный атрибут изменяется ответственным логическим объектом всякий раз, когда файл закрывается, после того, как он был открыт для чтения (включая закрытие после отказа соединения). Значение атрибута «Дата и время последнего доступа для чтения» устанавливается в момент завершения действия «Закрытие файла». Данный атрибут не изменяется до тех пор, пока файл является открытым; он не изменяется, если файл был выбран, но не был открыт, например для чтения его атрибутов.
Данный атрибут не может быть изменен с помощью использования действия «Изменение атрибута».
Значение данного атрибута имеет тип «Общая форма записи времени» (см. п. 9.3). Для вновь созданного файла значение данного атрибута равно значению атрибута «Дата и время создания».
Атрибут «Дата и время последней модификации атрибутов» является скалярным атрибутом. Он указывает, когда последний раз было модифицировано значение какого-либо атрибута файла.
Данный атрибут изменяется ответственным логическим объектом всякий раз, когда над одним или несколькими атрибутами успешно выполнится действие «Изменение атрибута». Данный атрибут не модифицируется при неявном изменении какого-либо атрибута, такого как «Размер файла». Значение атрибута «Дата и время последней модификации атрибутов» устанавливается в момент завершения действия «Изменение атрибута».
Данный атрибут не может быть изменен действием «Изменение атрибута».
Значение данного атрибута имеет тип «Общая форма записи времени» (см. п. 9.3). Для вновь созданного файла значение данного атрибута равно значению атрибута «Дата и время создания».
Атрибут «Идентификатор владельца» является скалярным атрибутом. Он устанавливается ответственным логическим объектом во время создания файла. Во время создания файла данный идентификатор становится значением атрибута взаимодействия «Идентификатор текущего абонента».
Атрибут не может быть изменен с помощью использования действия «Изменение атрибута».
Значение данного атрибута имеет тип «Графическая строка».
Атрибут «Идентификатор абонента, последний раз модифицировавшего файл» является скалярным атрибутом. Он изменяется ответственным логическим объектом всякий раз, когда файл закрывается после того, как он был открыт для модификации или расширения (включая закрытие после отказа соединения). Во время закрытия файла данный идентификатор становится значением атрибута взаимодействия «Идентификатор текущего абонента».
Данный атрибут не может быть изменен с помощью использования действия «Изменение атрибута». Значение данного атрибута имеет тип «Графическая строка». Для вновь созданного файла значение данного атрибута равно значению атрибута «Идентификатор владельца».
Атрибут «Идентификатор абонента, последний раз читавшего файл» является скалярным атрибутом. Он изменяется ответственным логическим объектом всякий раз, когда файл закрывается после того, как он был открыт для чтения (включая закрытие после отказа соединения). Во время закрытия файла данный идентификатор становится значением атрибута взаимодействия «Идентификатор текущего абонента».
Данный атрибут не может быть изменен с помощью использования действия «Изменение атрибута».
Значение данного атрибута имеет тип «Графическая строка». Для вновь созданного файла значение данного атрибута равно значению атрибута «Идентификатор владельца».
Атрибут «Идентификатор абонента, последний раз модифицировавшего атрибуты файла» является скалярным атрибутом. Он изменяется ответственным логическим объектом всякий раз, когда над одним или несколькими атрибутами успешно выполняется действие «Изменение атрибута». Данный идентификатор становится значением атрибута взаимодействия «Идентификатор текущего абонента».
Данный атрибут не может быть изменен с помощью использования действия «Изменение атрибута».
Значение данного атрибута имеет тип «Графическая строка». Для вновь созданного файла значение данного атрибута равно значению атрибута «Идентификатор владельца».
Атрибут «Доступность файла» является скалярным атрибутом. Он указывает, предполагается ли задержка до того, как файл может быть открыт.
Значение данного атрибута устанавливается во время создания файла, но может быть изменено с помощью действия «Изменение атрибута».
Значением данного атрибута может быть или «Доступен немедленно» или «Доступен с задержкой».
Примечание. Данный атрибут указывает классификацию файлов, которая по отношению к ответственному логическому объекту является смысловой, а не количественной мерой задержки. Если первоначально устанавливается значение «Доступен немедленно», то предполагается, что файл хранится на несъемном устройстве, и для доступа к файлу будет иметь место незначительная задержка. Если абонент устанавливает значение «Доступен с задержкой», то ответственному логическому объекту должно быть указано, что файл может храниться на съемном устройстве. Если абонент устанавливает значение атрибута «Доступен немедленно», то ответственному логическому объекту можно указать, чтобы он скопировал данный файл на немедленно доступное устройство в случае, если файл был загружен на съемное устройство. Однако действительное использование данного атрибута зависит от реализации.
Атрибут «Размер файла» является скалярным атрибутом. Он изменяется ответственным логическим объектом всякий раз, когда файл закрывается после того, как он был открыт для модификации или расширения (включая закрытие после отказа соединения). Значение данного атрибута устанавливается в номинальный размер целого файла в октетах при закрытии файла (см. примечание 2).
Данный атрибут не может быть изменен с помощью использования действия «Изменение атрибута» или не может быть установлен с использованием параметра «Начальные атрибуты» при выполнении действия «Создание файла».
Значение данного атрибута является целочисленным. Для вновь созданного файла значением является ноль.
Примечания:
1. Размер файла базируется на соответствующем отображении типов данных реального файлохранилища. Размер файла может изменяться в зависимости от принятого в другой форме синтаксиса передачи при перемещении или сохранении данных.
2. Если реальное файлохранилище допускает, чтобы пространство для файла выделялось кратным количеству базисных блоков (например), в блоках, в областях памяти), оно может быть неспособным определить точное число октетов в файле. Кроме того, размер файла может предполагаться кратным только базисным блокам (в октетах).
Атрибут «Будущий размер файла» является скалярным атрибутом. Он указывает номинальный размер в октетах, который может достигнуть данный файл в результате его модификации и расширения.
Значение данного атрибута устанавливается при создании файла, но может быть изменено действием «Изменение атрибута».
Значение данного атрибута имеет ЦЕЛОЧИСЛЕННЫЙ ТИП.
Примечание. Если значение атрибута «Текущий размер файла» достигает значения атрибута «Будущий размер файла», ответственный логический объект может:
а) увеличить значение атрибута «Будущий размер файла»,
б) увеличить значение атрибута «Будущий размер файла» и выдать предупреждающее уведомление;
в) не увеличивать значение атрибута «Будущий размер файла», а указать ошибку.
Атрибут «Управление доступом» является множественным атрибутом. Он определяет условия, при которых разрешается доступ к файлу.
Каждый элемент этого множества представляет одно условие, при котором доступ к файлу является допустимым. Доступ к файлу разрешается, если удовлетворяется, по крайней мере, одно из этих условий. Однако доступ к файлу должен основываться на единственном условии, а не на объединении некоторого числа отдельных условий.
Значение данного атрибута устанавливается при создании файла, но может быть изменено действием «Изменение атрибута».
Условие состоит из одного или двух термов, представляющих собой оператор разрешенного доступа (см. п. 12.16 а) вместе с множеством (от нуля до трех) других термов, представляющих признаки, основанные на значениях различных атрибутов взаимодействия (см. п. 12.16 б). Полное условие считается удовлетворительным, если только удовлетворительными являются все термы в данном операторе.
Более подробно это;
а) оператор доступа, содержащий:
1) терм списка действий в формате булевского вектора; действие присутствует в этом списке, если соответствующим булевским значением является ИСТИНА; булевские значения соответствуют таким действиям, как «Чтение», «Вставка», «Знамена», «Расширение», «Стирание», «Чтение атрибута», «Изменение атрибута» и «Удаление файла».
Терм списка действий используется всякий раз, когда делается попытка установить атрибут «Текущий запрос доступа». Терм списка действий считается удовлетворительным, если только в этом списке действий присутствуют все действия с предложенными значениями для атрибута «Текущий запрос доступа».
Если терм списка действий является удовлетворительным, то также возможны действия «Выбор файла» и «Отмена выбора файла». Если удовлетворяемый терм списка действий содержит действия доступа к файлу (см. п. 11), то также возможны действия «Открытие файла» и «Закрытие файла». Кроме этого, также допускается действие «Определение местоположения», если оно является допустимым в данном установленном режиме службы ПДУФ (FT AM);
2) необязательный терм совместного доступа в формате вектора ключей совместного доступа; ключи совместного доступа соответствуют таким действиям, как «Чтение», «Вставка», «Замена», «Расширение», «Стирание», «Чтение атрибута», «Изменение атрибута» и «Удаление файла». Ключ совместного доступа является булевским векторным термом, элементы которого соответствуют возможным значениям блокирования совместного доступа (см. п. 13.9); элементы ключа совместного доступа соответствуют таким значениям блокирования, как «Не требуется», «Разделяемый», «Исключительный» и «Не доступно».
Терм совместного доступа используется всякий раз, когда делается попытка установить атрибут «Текущее управление совместным доступом». Терм совместного доступа считается удовлетворительным, если только булевским значением ключа совместного доступа, соответствующим требуемому блокированию в предложенном значении для атрибута «Текущее управление совместным доступом», является ИСТИНА.
Если этот терм отсутствует в элементе «Управление доступом», то параметр «Управление совместным доступом» не должен присутствовать в течение доступа, разрешенного этим элементом «Управление доступом»;
б) и признаками являются термы, содержащие:
1) необязательный идентификатор; значение имеет тип «Графическая строка». Терм считается удовлетворительным, если он соответствует значению атрибута взаимодействия «Идентификатор текущего абонента» для данной ассоциации (см. п. 13.3);
2) необязательные пароли в формате вектора строк (одна или несколько строк в векторе могут быть пустыми); каждый элемент вектора соответствует одному из таких действий, как «Чтение», «Вставка», «Замена», «Расширение», «Стирание», «Чтение атрибута», «Изменение атрибута» и «Удаление файла». Терм считается удовлетворительным, если каждая ненулевая строка в векторе равна соответствующему паролю, который содержится в атрибуте «Текущие пароли для доступа»;
3) необязательное местоположение; значение представляет символическое имя прикладного логического объекта. Терм считается удовлетворительным, если он соответствует значению атрибута «Символическое имя текущего вызывающего прикладного логического объекта» для данного режима ПДУФ (FTAM) (см. п. 13.6).
Примечания:
1. В данном стандарте не определено начальное значение атрибута «Управление доступом» при создании файла.
2 Атрибут может обеспечиваться реализующими системами, которые в одно время разрешают только условие «Управление доступом» (список имеет один элемент).
3. Некоторые реализующие системы могут накладывать ограничения на термы, которые могут быть объединены в условия, или на количество условий различных форматов, которые могут существовать. Например, реализующая система может допустить только один пароль на тип разрешенного доступа.
4. Соответствие идентификатора, пароля или символического имени прикладного логического объекта не является необходимым для базы текстуальной идентификации. Например, имя какого-либо индивидуального объекта может соответствовать имени группы, если этот индивидуальный объект является элементом этой группы.
Атрибут «Законное ограничение» является скалярным атрибутом. Он содержит информацию о законном статусе файла и его использовании.
Значение данного атрибута устанавливается при создании файла. Оно может быть изменено действием «Изменение атрибута».
Значение данного атрибута имеет тип «Графическая строка».
Примечание. Смысл обеспечения данного атрибута зависит от формы государственного законодательства защиты данных.
«Атрибут пользователя» является скалярным атрибутом. Его значение не определено в данном стандарте.
Значение данного атрибута может быть установлено при создании файла. Оно может быть изменено действием «Изменение атрибута».
Значение данного атрибута может принимать любой формат.
Примечание. Использование данного атрибута строго оговаривается. Он обеспечивается для использования в тех обстоятельствах, при которых не используется комбинация атрибутов в пределах данного стандарта, которая может представить подразумеваемую семантику.
Атрибуты взаимодействия используются в качестве описательного инструмента для отображения состояния выполняемого режима службы ПДУФ (FTAM). Они представляют собой множество значений атрибутов взаимодействия для каждого инициализированного режима службы ПДУФ (FTAM). Значения данных атрибутов отображают только состояние доступа к файлохранилищу, а не детальное описание пути коммуникации к файлохранилищу.
Атрибут «Действующий тип содержания сообщения» является скалярным атрибутом, указывающим или имя типа документа или пару, состоящую из имени абстрактного синтаксиса и имени набора ограничений, установленную для передачи файла. Данное значение устанавливается во время открытия файла и берется из атрибута «Тип содержания сообщения» или принимается перекрывающее значение, предоставленное абонентом.
Данное значение представляет или имя типа документа, возможно, с параметрами в единственном значении какого-либо типа, или пара «Имя абстрактного синтаксиса/Имя набора ограничений». Каждое из этих имен имеет значение типа OBJECT IDENTIFIER (ИДЕНТИФИКАТОР ОБЪЕКТА).
Область действия атрибута «Действующий тип содержания сообщения» распространяется на режим «Открытие файла».
Атрибут «Текущий запрос доступа» является векторным атрибутом, элементы которого принимают булевские значения. Имеется один элемент для каждого действия, которое может быть, а, возможно, может и не быть в определенном режиме «Выбор файла», и, таким образом, данный элемент требуется во время режима службы ПДУФ (FTAM).
Данными элементами для действий доступа к файлу являются:
а) «Чтение», разрешающий действие «Чтение» при доступе к файлу;
б) «Вставка», разрешающий действие «Вставка» при доступе к файлу;
в) «Замена», разрешающий действие «Замена» при доступе к файлу;
г) «Расширение», разрешающий действие «Расширение» при доступе к файлу;
д) «Стирание», разрешающий действие «Стирание» при доступе к файлу.
Если разрешается действие доступа к файлу, то также возможны действия «Открытие файла» и «Закрытие файла». Кроме этого, также разрешается действие «Определение местоположения», если оно является допустимым в установленном режиме службы ПДУФ (FTAM).
Данными элементами при действиях над целыми файлами являются:
е) «Чтение атрибута», разрешающий действие над файлом «Чтение атрибута»;
ж) «Изменение атрибута», разрешающий действие над файлом «Изменение атрибута»;
з) «Удаление файла», разрешающий действие над файлом «Удаление файла».
Если разрешается какое-либо действие доступа к файлу, то также возможны действия «Выбор файла» и «Отмена выбора файла».
Область действия атрибута «Текущий запрос доступа» распространяется на режим «Выбор файла».
Атрибут «Идентификатор текущего абонента» является скалярным атрибутом. Он указывает ответственному логическому объекту идентификатор абонента во время установления режима службы ПДУФ (FTAM).
Значение данного атрибута имеет тип «Графическая строка».
Область действия атрибута «Идентификатор текущего абонента» распространяется на режим службы ПДУФ (FTAM).
Атрибут «Текущее местоположение» указывает текущую позицию в файле и является скалярным атрибутом. Значение данного атрибута может быть модифицировано каким-либо действием («Определение местоположения», «Стирание», «Чтение», «Вставка») во время режима «Открытие файла». Начальное значение текущего местоположения при инициализации определяется набором ограничений во время выполнения операции (см. приложение А).
Значениями данного атрибута может быть или ЦЕЛОЧИСЛЕННЫЙ ТИП, указывающий «n»-й узел в упорядоченной последовательности обхода, или список имен блоков данных БДДФ (FADU), указывающий путь к этому узлу (см. п. 7.6).
Область действия атрибута «Текущее местоположение» распространяется на режим «Открытие файла».
Атрибут «Текущий режим обработки» является векторным атрибутом, элементы которого принимают булевские значения. Для каждого действия, разрешенного в определенном режиме «Открытие файла», имеется один элемент.
Данными элементами являются:
а) «Чтение», разрешающий действие «Чтение» при доступе к файлу;
б) «Вставка», разрешающий действие «Вставка» при доступе к файлу;
в) «Замена», разрешающий действие «Замена» при доступе к файлу;
г) «Расширение», разрешающий действие «Расширение» при доступе к файлу;
д) «Стирание», разрешающий действие «Стирание» при доступе к файлу.
Всегда разрешается действие «Определение местоположения» при доступе к файлу, если оно является допустимым при установленном режиме службы ПДУФ (FTAM).
Область действия атрибута «Текущий режим обработки» распространяется на режим «Открытие файла».
Атрибут «Символическое имя текущего вызывающего прикладного логического объекта» является скалярным атрибутом. Он указывает символическое имя такого прикладного логического объекта, который установил режим службы ПДУФ (FTAM).
Значением данного атрибута является символическое имя прикладного логического объекта.
Область действия атрибута «Символическое имя текущего вызывающего прикладного логического объекта» распространяется на данный режим службы ПДУФ (FTAM).
«Символическое имя текущего ответственного прикладного логического объекта» является скалярным атрибутом. Он указывает символическое имя такого прикладного логического объекта, который соответствует виртуальному файлохранилищу.
Значением данного атрибута является символическое имя прикладного логического объекта.
Область действия атрибута «Символическое имя текущего ответственного прикладного логического объекта» распространяется на режим службы ПДУФ (FTAM).
Атрибут «Текущий счет» является скалярным атрибутом. Он указывает обоснованную санкционированную отчетность за расходы, подсчитанные ответственным логическим объектом, связанные с использованием файлов во время режима службы ПДУФ (FTAM).
Значение данного атрибута имеет тип «Графическая строка».
Область действия атрибута «Текущий счет» распространяется на режим службы ПДУФ (FTAM), однако для подсчета расходов при действиях над специфическим файлом во время режима «Выбор файла» может использоваться альтернативное значение. В этом случае данное значение устанавливается во время выполнения действия «Выбор файла», а предыдущее значение этого атрибута восстанавливается, когда выполняется действие «Отмена выбора файла».
Примечание Данный атрибут не указывает необходимую отчетность за соединение, ориентированную на расходы, подсчитанные поставщиком файловых услуг
Атрибут «Текущее управление совместным доступом» указывает ограничения, накладываемые на параллельный доступ к файлу, как запрошено абонентом, при каждом запрошенном действии доступа к файлу, определенном в п. 13.2.
Атрибут «Текущее управление совместным доступом» является векторным атрибутом; его элементы соответствуют действиям при доступе к файлу, описанным в п. 13.2. Каждый элемент вектора представляет одно из четырех значений, приведенных в табл. 3.
Таблица 3
Выбор управления совместным доступом
|
Я могу выполнить действие |
Другие могут выполнить действие |
|
|
Не требуется |
Нет |
Да |
|
Разделяемый |
Да |
Да |
|
Исключительный |
Да |
Нет |
|
Не доступно |
Нет |
Нет |
Область действия атрибута «Текущее управление совместным доступом» распространяется или на режим «Выбор файла» или на режим «Открытие файла», в зависимости от того, устанавливается ли данное значение во время действия «Выбор файла» или во время действия «Открытие файла».
Атрибут «Текущий способ блокирования» является скалярным атрибутом. Он указывает, были или не были включены модули блокирования блока данных БДДФ (FADU). Значение данного атрибута выбирается из параметра «Включение блокирования блока данных БДДФ (FADU)» во время открытия файла.
Значение данного атрибута является булевским; если включен модуль блокирования блока данных БДДФ (FADU), то значением является ИСТИНА.
Область действия атрибута «Текущий способ блокирования» распространяется на режим «Открытие файла».
Атрибут «Текущие пароли для доступа» является векторным атрибутом. Каждый элемент представляет значение, связанное с одним из восьми элементов атрибута «Текущий запрос доступа». Эти значения устанавливаются из параметров файловых сервисных, примитивов «Выбор файла» и «Создание файла».
Данное значение становится недействительным, когда освобождается режим «Выбор файла». Данные значения проверяются на соответствие значениям в атрибуте «Управление доступом» (см. п. 12.16), чтобы определить, должен ли быть разрешен доступ.
Значение каждого элемента данного атрибута имеет тип «Графическая строка» или СТРОКА ОКТЕТОВ.
Область действия атрибута «Текущие пароли для доступа» распространяется на режим «Выбор файла».
Примечание. Данный атрибут может использоваться для сообщения паролей, возможностей или элементов общей схемы кодирования ключей.
«Действующее законное ограничение» является скалярным атрибутом. Его значения не определены в настоящем стандарте, и этот атрибут не имеет отношения к атрибуту файла «Законное ограничение». Данные значения устанавливаются во время выполнения действия «Открытие файла» и выбирается из атрибута «Законное ограничение».
Значение данного атрибута имеет тип «Графическая строка».
Область действия атрибута «Действующее законное ограничение» распространяется на режим «Открытие файла».
Стандарт определяет широкий ряд атрибутов, которые может обеспечивать реализующая система (см. п. 9.4). С целью определения уровней обеспечения эти атрибуты собраны в группы, как указано ниже. Для каждой группы:
а) не обеспечивается вся группа;
б) обеспечивается каждый атрибут в группе или частично обеспечивается группа, и, если обеспечение запрошено, предоставляется либо значащий ответ, либо ответ «Значение не доступно».
Примечание Допустимость групп атрибутов в протоколах службы ПДУФ (FTAM) указывается при установлении режима службы ПДУФ (FTAM).
Следующие атрибуты всегда определяются и являются допустимыми в любой спецификации, которая отображает виртуальное файлохранилище. Для этих атрибутов не может быть принято значение «Значение не доступно»:
а) атрибуты файла;
1) имя файла;
2) разрешенные действия;
3) тип содержания сообщения;
б) атрибуты взаимодействия:
1) действующий тип содержания сообщения;
2) текущий запрос доступа;
3) идентификатор текущего абонента;
4) текущее местоположение;
5) текущий режим обработки;
6) символическое имя текущего вызывающего прикладного логического объекта;
7) символическое имя текущего ответственного прикладного логического объекта.
Следующие атрибуты являются значащими, только если для полностью обеспечиваемых атрибутов ответственный логический объект гарантирует сохранение информации и допускает одну активность для справочной информации, установленной некоторой предыдущей активностью. Любой из этих атрибутов может принимать значение «Значение не доступно». При указании группы хранения допускается ссылка на определения следующих атрибутов:
а) атрибуты файла:
1) счет за хранение;
2) дата и время создания;
3) дата и время последней модификации;
4) дата и время последнего доступа для чтения;
5) дата и время последней модификации атрибутов;
6) идентификатор владельца;
7) идентификатор абонента, последний раз модифицировавшего файл;
8) идентификатор абонента, последний раз читавшего файл;
9) идентификатор абонента, последний раз модифицировавшего атрибуты файла;
10) доступность файла;
11) размер файла;
12) будущий размер файла;
б) атрибуты взаимодействия:
1) текущий счет;
2) текущее управление совместным доступом;
3) текущий способ блокирования.
Следующие атрибуты относятся к управлению защитой и доступом. Они формируют группу защиты. Любой из этих атрибутов может принимать значение «Значение не доступно»:
а) атрибуты файла:
1) управление доступом;
2) законное ограничение;
б) атрибуты взаимодействия:
1) текущие пароли для доступа;
2) действующее законное ограничение;
Следующий атрибут находится вне сферы действия стандартизации модели OSI. Он свободно устанавливается и может указываться, только если указывается используемая группа пользователя
Атрибут файла:
Используется пользователем.
В данном разделе определяется набор ограничений, накладываемых на пределы атрибутов, которые называются «Минимальные пределы атрибутов виртуального файлохранилища» и представляют собой тот минимум, который требуется для взаимодействия при обеспечении этих атрибутов (см. примечания). Они применяются для таких атрибутов, определенных в разд. 12 и 13, которые имеют общие типы данных, такие как ЦЕЛОЧИСЛЕННЫЙ ТИП или СТРОКА ЗНАКОВ. Если значением атрибута является перечень или вектор перечней, то любое из значений этого перечня должно быть доступным или должна быть возможность их формирований без выдачи индикации об ошибке, даже когда предоставляется только частичное обеспечение.
К атрибутам взаимодействия, которые непосредственно соответствуют атрибутам файла, должен применяться такой же минимальный предел, как и для соответствующих атрибутов файла.
Значение типа «Строка знаков» ограничивается до количества печатаемых знаков, определенных типом «Графическая строка», и не должно включать символ пробела, если это не установлено явно. По крайней мере, должен быть обеспечен набор знаков G0, зарегистрированный в качестве элемента 2 в реестре наборов знаков. Обеспечивать все имеющиеся последовательности не требуется.
Все пределы являются исключительными.
1. Для минимальных пределов атрибутов используются стандарты, на которые имеются ссылки в данном стандарте, для указания минимального множества значений, которые требуются любым открытым реализующим системам, или абоненту или ответственному логическому объекту для передачи и доступа. Они также должны указывать, для каких атрибутов со значением «Значение не доступно» имеется только обеспечиваемое значение.
2. Минимальные пределы атрибутов виртуального файлохранилища могут быть слишком ограниченными для нескольких специфических использований файловой услуги. Определение этих пределов не принуждает, чтобы определенные реализующие системы по какому-либо способу связывали и допускали произвольные значения атрибутов соответствующего типа, находящиеся вне определенных пределов.
3. Минимальные пределы для атрибутов взаимодействия, как указано в табл. 4, действительно ограничивают пределы значений для параметров, используемых в соответствующих сервисных примитивах (см. ГОСТ Р 34.1980.3).
Таблица 4
Атрибуты взаимодействия
|
Атрибут |
Тип |
Минимальный предел атрибутов |
|
Текущий запрос доступа |
Булевский вектор |
См. примечание |
|
Идентификатор текущего абонента |
Графическая строка |
От 1 до 8 знаков |
|
Текущее местоположение |
Элемент данных описателя узла |
См. примечание |
|
Текущий режим обработки |
Булевский вектор |
См. примечание |
|
Символическое имя текущего вызывающего прикладного логического объекта |
Символическое имя прикладного логического объекта |
Минимум не требуется |
|
Символическое имя текущего ответственного прикладного логического объекта |
Символическое имя прикладного логического объекта |
Минимум не требуется |
|
Текущий счет |
Графическая строка |
От 1 до 8 знаков |
|
Текущее управление совместным доступом |
Вектор перечня |
См. примечание |
|
Текущий способ блокирования |
Булевский |
Минимум не требуется |
|
Текущие пароли для доступа |
Графическая строка или СТРОКА ОКТЕТОВ |
От 0 до 8 знаков или октетов |
Примечание. Не может указываться минимальный предел для таких атрибутов взаимодействия. Те значения, которые могут принимать данные атрибуты, зависят от возможностей абонента и ответственного логического объекта и могут быть в дальнейшем ограничены набором ограничений при использовании, и/или атрибутом файла «Разрешенные действия», и/или атрибутом файла «Управление доступом» (см. табл. 5).
Таблица 5
Атрибуты файла
|
Атрибут |
Тип |
Минимальный предел атрибута |
|
|
Имя файла |
Вектор Графических строк |
Единственный элемент |
|
|
|
Каждый элемент |
От 1 до 8 букв или цифр верхнего регистра начиная с буквы |
|
|
Разрешенные Действия |
Булевский вектор |
Любое непустое подмножество определенных значений |
|
|
Тип содержания сообщения |
Пара «Имя абстрактного синтаксиса /Имя набора ограничений» или Имя типа документа |
Минимум не требуется |
|
|
Счет за хранение |
Графическая строка |
От 1 до 8 знаков |
|
|
Дата и время создания |
Дата и время |
Как в стандарте ИСО 8601 |
|
|
Дата и время последней модификации |
Дата и время |
Как в стандарте ИСО 8601 |
|
|
Дата и время последнего доступа для чтения |
Дата и время |
Как в стандарте ИСО 8601 |
|
|
Дата и время последней модификации атрибутов |
Дата и время |
Как в стандарте ИСО 8601 |
|
|
Идентификатор владельца |
Графическая строка |
От 1 до 8 знаков |
|
|
Идентификатор абонента, последний раз модифицировавшего файл |
Графическая строка |
От 1 до 8 знаков |
|
|
Идентификатор абонента, последний раз читавшего файл |
Графическая строка |
От 1 до 8 знаков |
|
|
Идентификатор абонента, последний раз модифицировавшего атрибуты файла |
Графическая строка |
От 1 до 8 знаков |
|
|
Доступность файла |
Перечень |
Любое непустое подмножество определенных значений |
|
|
Размер файла |
Целочисленный тип |
Минимум не требуется |
|
|
Будущий размер файла |
Целочисленный тип |
Минимум не требуется |
|
|
Управление доступом |
Множество условий |
Единственное условие |
|
|
Список действий |
Булевский вектор |
Любое непустое подмножество определенных значений |
|
|
Совместный доступ |
Вектор булевских векторов |
Любое непустое подмножество определенных значений |
|
|
Идентификатор |
Графическая строка |
От 1 до 8 знаков |
|
|
Пароли |
Графическая строка или СТРОКА ОКТЕТОВ |
От 1 до 8 знаков или октетов |
|
|
Местоположение |
Символическое имя прикладного логического объекта |
Символические имена всех прикладных логических объектов |
|
|
Законное ограничение |
Графическая строка |
Графическая строка от 0 до 80 знаков и/или пробелов |
|
|
Атрибут пользователя |
Любой |
Не применяется |
|
A.1. Общие соглашения
А.1.1. Функция набора ограничений
В разд. 7 настоящего стандарта определена общая иерархическая структура, а в разд. 8 и 11 определены применяемые к ней действия. Эта общая структура создается и в дальнейшем на ее динамику накладываются ограничения с помощью определения номера из наборов ограничений, каждый из которых указывает определенную структуру при общем использовании. Наборы ограничений указываются при обменах протоколами с помощью имен, которые являются значениями типа ИДЕНТИФИКАТОР ОБЪЕКТА нотации ACH.1.
На множество действий, которые окончательно допускаются во время режима «Открытие файла», действительно в дальнейшем накладываются ограничения после действий, указанных в наборе ограничений. Такое дальнейшее ограничение накладывается атрибутом файла «Разрешенные действия», атрибутом взаимодействия «Текущий режим обработки» и функциональными блоками, выбранными при текущем режиме службы ПДУФ (FTAM).
Дополнительные ограничения, накладываемые на содержание сообщения файла, после того как они были указаны в наборе ограничений, могут также применяться через спецификацию в типе документа (например, тип документа может в дальнейшем ограничить доступные типы данных).
А.1.2. Отношение к передаче данных большого объема
В результате одной передачи данных большого объема с помощью повторяемых действий, описанных в данном стандарте (см. разд. 8 и приложение Г), могут быть вставлены, заменены или расширены несколько блоков данных БДДФ (FADU).
А.1.3. Содержание набора ограничений
Определение набора ограничений содержит:
a) оператор предполагаемой области приложения;
б) описатель набора ограничений для ссылки в документации;
в) идентификатор набора ограничений для ссылки в протоколе службы ПДУФ (FTAM);
г) ограничения на имена узлов;
д) множество допустимых действий доступа к файлу;
е) какие-либо действия ограниченного использования при записи в файл (см. разд. 8);
ж) множество контекстов доступа к файлу, в которых может быть прочитан файл;
з) состояние файла при его создании;
и) местоположение блока данных БДДФ (FADU), определенное сразу после действия «Открытие файла»;
к) определение «Начало файла»;
л) определение «Конец файла»;
м) метод, по которому выполняется чтение целого файла;
н) метод, по которому выполняется запись целого файла;
о) какие-либо общие ограничения, накладываемые на возможность модификации структуры;
п) какие-либо специальные семантики указанных действий доступа к файлу сверх тех, которые представлены в разд. 11;
р) форматы идентификации блока данных БДДФ (FADU), доступные для каждого действия доступа к файлу.
А.1.4 Обозначения
В таблицах, которые следуют ниже, следующие сокращения указывают допустимую область идентификации блоков данных БДДФ (FADU), используемую при определенных действиях над файлохранилищем:
а) допустимо: действие может применяться к любому блоку данных БДДФ (FADU);
б) лист: действие является допустимым, если оно выполняется над блоком данных БДДФ (FADU), который представляет собой узел типа «лист»;
в) целый: действие выполняется над целым файлом (т.е. начиная с корневого узла).
А.2. Определения набора ограничений
А.2.1. Набор ограничений на неструктурированный файл
А.2.1.1. Область приложения
Набор ограничений на неструктурированный файл применяется к файлам, которые могут быть переданы или к которым может быть доступ как к целому файлу, или которые могут быть расширены, но к отдельным частям этих файлов нет доступа.
А.2.12. Базисные ограничения
Базисные ограничения в наборе ограничений на неструктурированный файл представлены в табл. 6.
Таблица 6
Базисные ограничения в наборе ограничений на неструктурированный файл
|
Дескриптор набора ограничений |
Неструктурированный |
|
Идентификатор набора ограничений |
{ГОСТ Р 34.980 (ИСО 8571) Набор ограничений (4) Неструктурированный (1)} |
|
Имена узлов |
Нет |
|
Действия доступа к файлу |
«Чтение», «Замена», «Расширение», «Стирание» |
|
Действия ограниченного использования |
Нет |
|
Допустимые контексты доступа |
ВН (UA) |
|
Состояние при создании |
Корневой узел с пустым блоком данных |
|
Местоположение после открытия |
«Первый» |
|
Начало файла |
Не применяется |
|
Конец файла |
Не применяется |
|
Чтение целого файла |
Чтение в контексте доступа ВН (А) блока данных БДДФ (FADU) с идентификацией «Первый» |
|
Запись целого файла |
Передача единственного блока данных БДДФ (FADU) (без описателя узла) с идентификацией «Первый» и действием доступа к файлу «Замена» |
А.2.1.3. Структурные ограничения
Результат всех действий, разрешенных в данном наборе ограничений на неструктурированный файл, влияет на структуру с корневым узлом, который имеет блок данных (хотя этот блок данных может быть пустым).
А.2.1.4. Ограничения на действия
Стирание: результатом действия «Стирание» является корневой узел с пустым блоком данных.
А.2.1.5. Ограничения на идентификацию
В наборе ограничений на неструктурированный файл всегда указывается значение «Первый», для идентификации блока данных БДДФ (FADU). Такая форма идентификации блока данных БДДФ (FADU) используется со всеми разрешенными действиями над файлом.
А.2.2. Набор ограничений на последовательный двухмерный файл
А.2.2.1. Область приложения
Набор ограничений на последовательный двухмерный файл применяется к файлам, которые имеют структуру последовательности отдельных блоков данных БДДФ (FADU) и к которым, исходя из этой индивидуальности, может быть выполнен доступ с помощью указания позиции в этой последовательности.
А.2.2.2. Базисные ограничения
Базисные ограничения в наборе ограничений на последовательный двухмерный файл представлены в табл. 7.
Таблица 7
Базисные ограничения в наборе ограничений на последовательный двухмерный файл
|
Дескриптор набора ограничений |
Последовательный двухмерный файл |
|
Идентификатор набора ограничений |
{ГОСТ Р 34.980 (ИСО 8571) Набор ограничений (4) Последовательный двухмерный (2)} |
|
Имена узлов |
Нет |
|
Действия доступа к файлу |
«Определение местоположения», «Чтение», «Вставка», «Стирание» |
|
Действия ограниченного использования |
Нет |
|
Допустимые контексты доступа |
ВД (FA), ВН (UA) |
|
Состояние при создании |
Корневой узел без соответствующего блока данных |
|
Местоположение после открытия |
Корневой узел |
|
Начало файла |
Корневой узел |
|
Конец файла |
Узел не выбирается; блок данных с идентификацией «Предыдущий» представляет последний узел в последовательности обхода, обращение к блокам данных с идентификацией «Текущий» и «Следующий» вызывает ошибку |
|
Чтение целого файла |
Чтение в контексте доступа ВД (FA) или ВН (UA) блока данных БДДФ (FADU) с идентификацией «Начальный» |
|
Запись целого файла |
Передача ряда блоков данных БДДФ (FADU) типа «лист», которые должны были быть сформированы при чтении целого файла в контексте доступа ВД (FA); выполнение передачи блока данных БДДФ (FADU) с идентификацией «Конечный» и действием доступа к файлу «Вставка» |
А.2.2.3. Структурные ограничения
Корневой узел не должен иметь соответствующий блок данных; все порождения этого корневого узла должны быть узлами типа «лист» и должны иметь соответствующий блок данных; все дуги, выходящие из корневого узла, должны иметь длину, равную 1.
А.2.2.4. Ограничения на действия
Вставка: действие «Вставка» допускается только в конец файла с идентификацией «Конечный» блока данных БДДФ (FADU), узел вставляется после всех существующих узлов в файле. Указатель местоположения после действия «Вставка» имеет значение «Конечный».
Стирание: действие «Стирание» допускается только в отношении корневого узла, чтобы очистить файл, с идентификацией «Начальный» блока данных БДДФ (FADU). Результатом данного действия является одиночный корневой узел с соответствующим блоком данных.
А.2.2.5. Ограничения на идентификацию
Идентификация блока данных БДДФ (FADU), связанная с действием над файлом, должна иметь одно из следующих значений: «Начальный», «Конечный», «Первый», «Последний», «Текущий», «Следующий», «Предыдущий» или «Номер в упорядоченной последовательности обхода», равный или больше 1. Действия, с которыми эти идентификации могут использоваться, приведены в табл. 8.
Таблица 8
Ограничений на идентификацию в наборе ограничений на последовательный двухмерный файл
|
Действие |
„Начальный” |
„Конечный” |
„Первый” |
„Последний” |
„Текущий” |
„Следующий” |
„Предыдущий” |
„Обход” |
|
Определение местоположения |
Допустимо |
Допустимо |
Допустимо |
Допустимо |
Допустимо |
Допустимо |
Допустимо |
Допустимо |
|
Чтение |
Целый |
- |
Лист |
Лист |
Лист |
Лист |
Лист |
Лист |
|
Вставка |
- |
Лист |
- |
- |
- |
- |
- |
- |
|
Стирание |
Целый |
- |
- |
- |
- |
- |
- |
- |
А.2.3. Набор ограничений на упорядоченный двухмерный файл
А.2.3.1. Область приложения
Набор ограничений на упорядоченный двухмерный файл применяется к файлам, которые имеют структуру последовательности отдельных блоков данных БДДФ (FADU), каждый из которых имеет имя и к которому, исходя из этой индивидуальности, может быть выполнен доступ с помощью этих имен. Нет необходимости иметь эти имена уникальными.
А.2.3.2. Базисные ограничения
Базисные ограничения в наборе ограничений на упорядоченный двухмерный файл представлены в табл. 9.
Примечание. При введении данных целого файла по действию «Запись» программа объединения объединяет передаваемый файл с существующим файлом, сортируя узлы типа «лист» в единую последовательность, в то время как действие «Замена» стирает данные существующего файла и устанавливает новое содержание сообщения файла.
Таблица 9
Базисные ограничения в наборе ограничений на упорядоченный двухмерный файл
|
Дескриптор набора ограничений |
Упорядоченный двухмерный файл |
|
Идентификатор набора ограничений |
{ГОСТ Р 34.980 (ИСО 8571) Набор ограничений (4) Упорядоченный двухмерный (3)} |
|
Имена узлов |
Все имена должны быть одного типа; тип имен и порядок имен должны быть определены, когда делается ссылка к данному набору ограничений |
|
Действия доступа к файлу |
«Определение местоположения», «Чтение», «Вставка», «Замена», «Расширение», «Стирание» |
|
Действия ограниченного использования |
Нет |
|
Допустимые контексты |
НА, ВД (FA), ВН (UA) |
|
Состояние при создании |
Корневой узел без соответствующего блока данных |
|
Местоположение после открытия |
Корневой узел |
|
Начало файла |
Корневой узел |
|
Конец файла |
Узел не выбирается; блок данных с идентификацией «Предыдущий» представляет последний узел в последовательности обхода, обращение к блокам данных с идентификацией «Текущий» и «Следующий» вызывает ошибку |
|
Чтение целого файла |
Чтение в контексте доступа ВД (FA) блока данных БДДФ (FADU) с идентификацией «Начальный» |
|
Запись целого файла(1): объединение |
Передача серии блоков данных БДДФ (FADU) типа «лист», которые должны были быть сформированы при чтении целого файла в контексте доступа ВД (FA); выполнение передачи блока данных БДДФ (FADU) с идентификацией «Начальный» и действием доступа к файлу «Вставка» |
|
Запись целого файла (2): замена |
Передача блока данных БДДФ (FADU), отображенного рядом элементов данных, которые должны были быть сформированы при чтении файла в контексте доступа НА; выполнение передачи блока данных БДДФ (FADU) с идентификацией «Начальный» и действием доступа к файлу «Замена» |
А.2.3.3. Структурные ограничения
Корневой узел не должен иметь соответствующий блок данных и не должен иметь имя узла; все порождения из корневого узла должны быть узлами типа «лист» и должны иметь как соответствующий блок данных, так и имя узла; все дуги, выходящие из корневого узла, должны иметь длину 1.
А.2.3.4 Ограничения на действия
Вставка: действие «Вставка» для блока данных БДДФ (FADU) с идентификацией «Начальный» вставляет новый узел типа «лист» в последовательность обхода в соответствии с позицией имени из описателя узла (который должен быть передан) в определенном порядке имен. Если блок данных БДДФ (FADU) с таким же значением имени уже существует, то новый блок данных БДДФ (FADU) вставляется следом за ним. Указатель местоположения после действия «Вставка» имеет значение «Начальный»,
Замена целого файла: идентификацией блока данных БДДФ (FADU) является значение «Начальный» и полный блок данных БДДФ (FADU) упорядоченного плоского файла заменяет корневой узел.
Расширение или замена узла типа «лист» (семантика зависит от формата передаваемых данных):
а) если единственный блок данных БД (DU) передается без дескриптора узла, тогда заменяется блок данных БД (DU) в узле типа «лист», адресуемом идентификацией блока данных БДДФ (FADU).
б) если передается полный блок данных БДДФ (FADU) типа «лист» и идентификацией этого блока данных БДДФ (FADU) является значение «Последовательность имен узлов» с единственным элементом, «Текущий», «Предыдущий» или «Следующий», тогда действие выполняется, только если имя передаваемого узла в описателе узла равно имени существующего узла;
в) если передается полный блок данных БДДФ (FADU) типа «лист» и идентификацией этого блока данных БДДФ (FADU) является значение «Начальный», тогда заменяется узел, указанный в описателе передаваемого узла.
Стирание: результатом действия «Стирание» с идентификацией «Начальный» блока данных БДДФ (FADU) является пустой файл; действие «Стирание» с идентификацией блока данных БДДФ (FADU) «Текущий» «Следующий», «Предыдущий» или «Последовательность имен узлов» с единственным элементом удаляет таким образом идентифицируемый узел типа «лист»
Примечание. Если существует несколько узлов с таким же самым именем, то либо первый из этих узлов в упорядоченной последовательности обхода, либо текущий узел будет заменен, расширен или стерт, в зависимости от используемого идентификатора блока данных БДДФ (FADU).
А.2.3.5. Ограничения на идентификацию
Идентификация блока данных БДДФ (FADU), связанная с действием над файлом, должна иметь одно из следующих значений: «Начальный», «Конечный», «Первый», «Последний», «Текущий», «Следующий», «Предыдущий», «Последовательность имен узлов» с единственным элементом или «Номер в упорядоченной последовательности обхода», равный или больше 1. Действия, с которыми могут использоваться эти идентификации, приведены в табл. 10.
Примечания:
1. Если после выполнения действия «Определение местоположения», «Чтение», «Вставка», «Замена» или «Расширение» либо перед выполнением действия «Стирание» существует один или несколько блоков данных БДДФ (FADU) с одним и тем же именем в качестве текущего блока данных БДДФ (FADU), то формируется предупреждающее диагностическое сообщение. Другие диагностические сообщения указывают, является ли или не является блок данных БДДФ (FADU) с этим именем, местоположение которого в настоящий момент указывается, последним в последовательности обхода.
2. Идентификация со значением «Следующий» и «Предыдущий» блока данных БДДФ (FADU) обеспечивается, главным образом, для доступных из множества блоков данных БДДФ (FADU), которые разделяют такое же имя.
3. В данном наборе ограничений имеются ограничения, накладываемые на использование номеров в последовательности обхода. Порядок блоков данных БДДФ (FADU) определяется именами их узлов и, таким образом, номер соответствующего узла в последовательности обхода будет, в общем случае, изменен при модификации файла.
А.2.4. Набор ограничений на упорядоченный двухмерный файл с уникальными именами
А.2.4.1. Область применения
Набор ограничений на упорядоченный двухмерный файл с уникальными именами применяется к файлам, которые имеют структуру последовательности отдельных блоков данных БДДФ (FADU), каждый из которых имеет уникальное имя и к которым, исходя из этой индивидуальности может быть выполнен доступ с помощью этих имен.
А.2.4.2. Базисные ограничения
Базисные ограничения в наборе ограничений на упорядоченный двухмерный файл с уникальными именами представлены в табл. 11.
Примечание. При введении данных целого файла по действию «Запись» программа объединения объединяет передаваемый файл с существующим файлом, сортируя узлы типа «лист» в единую последовательность, в то время как действие «Замена» стирает данные существующего файла и устанавливает новое содержание сообщения файла.
А.2.4.3. Структурные ограничения
Корневой узел не должен иметь соответствующий блок данных и не должен иметь имя узла; все порождения из корневого узла должны быть узлами типа «лист» и должны иметь как соответствующий блок данных, так и имя узла; все дуги, выходящие из корневого узла, должны иметь длину 1.
А.2.4.4. Ограничения на действия
Вставка: действие «Вставка» для блока данных БДДФ (FADU) с идентификацией «Начальный» вставляет новый узел типа «лист» в последовательность обхода в соответствии с позицией имени из описателя узла (который должен быть передан) в определенном порядке имен. Если блок данных БДДФ (FADU) с таким же значением имени уже существует, то действие «Вставка» отвергается. Указатель местоположения после действия «Вставка» имеет значение «Начальный».
Замена целого файла: идентификацией блока данных БДДФ (FADU) является значение «Начальный» и полный блок данных БДДФ (FADU) упорядоченного плоского файла с уникальными именами заменяет корневой узел.
Расширение или замена узла типа «лист» (семантика зависит от формата передаваемых данных):
Таблица 10
Ограничения на идентификацию в наборе ограничений на упорядоченный двухмерный файл
|
Действие |
„Начальный” |
„Конечный” |
„Первый” |
„Последний” |
„Текущий” |
„Следующий” |
„Предыдущий” |
„Последовательность имен узлов с единственным элементом” |
„Обход” |
|
Определение местоположения |
Допустимо |
Допустимо |
Допустимо |
Допустимо |
Допустимо |
Допустимо |
Допустимо |
Допустимо |
Допустимо |
|
Чтение |
Целый |
- |
Лист |
Лист |
Лист |
Лист |
Лист |
Лист |
Лист |
|
Вставка |
Лист |
- |
- |
- |
- |
- |
- |
- |
- |
|
Замена |
Целый |
- |
- |
- |
Лист |
Лист |
Лист |
Лист |
- |
|
Расширение |
- |
- |
- |
- |
Лист |
Лист |
Лист |
Лист |
- |
|
Стирание |
Целый |
- |
- |
- |
Лист |
Лист |
Лист |
Лист |
- |
Таблица 11
Базисные ограничения в наборе ограничений на упорядоченный двухмерный файл с уникальными именами
|
Дескриптор набора ограничений |
Упорядоченный двухмерный файл с уникальными именами |
|
Идентификатор набора ограничений |
{ГОСТ Р 34.980 (ИСО 8571) Набор ограничений (4) Упорядоченный двухмерный с уникальными именами: (4)} |
|
Имена узлов |
Все имена должны быть одного типа; тип имен и порядок имен должны быть определены, когда делается ссылка к данному набору ограничений |
|
Действия доступа к файлу |
«Определение местоположения», «Чтение», «Вставка», «Замена», «Расширение», «Стирание» |
|
Действия ограниченного использования |
Нет |
|
Допустимые контексты доступа |
НА, ВД (FA), ВН (UA) |
|
Состояние при создании |
Корневой узел без соответствующего блока данных |
|
Местоположение после открытия |
Корневой узел |
|
Начало файла |
Корневой узел |
|
Конец файла |
Узел не выбирается; блок данных с идентификацией «Предыдущий» представляет последний узел в последовательности обхода, обращение к блокам данных с идентификацией «Текущий» и «Следующий» вызывает ошибку |
|
Чтение целого файла |
Чтение в контексте доступа ВД (FA) блока данных БДДФ (FADU) с идентификацией «Начальный» |
|
Запись целого файла (1): объединение |
Передача серии блоков данных БДДФ (FADU) типа «лист», которые должны были быть сформированы при чтении целого файла в контексте доступа ВД (FA); выполнение передачи блока данных БДДФ (FADU) с идентификацией «Начальный» и действием доступа к файлу «Вставка» |
|
Запись целого файла (2): замена |
Передача блока данных БДДФ (FADU), отображенного рядом элементов данных, которые должны были быть сформированы при чтении файла в контексте доступа НА; выполнение передачи блока данных БДДФ (FADU) с идентификацией «Начальный» и действием доступа к файлу «Замена» |
а) если единственный блок данных БД (DU) передается без описателя узла, тогда заменяется такой блок данных БД (DU) в узле типа «лист», адресуемом идентификацией блока данных БДДФ (FADU);
б) если передается полный блок данных БДДФ (FADU) типа «лист» и идентификацией этого блока данных БДДФ (FADU) является значение «Последовательность имен узлов» с единственным элементом или имеет значение «Текущий», тогда действие выполняется, только если имя передаваемого узла равно имени существующего узла;
в) если передается полный блок данных БДДФ (FADU) типа «лист» и идентификацией этого блока данных БДДФ (FADU) является значение «Начальный», тогда заменяется узел, указанный в описателе передаваемого узла.
Стирание: результатом действия «Стирание» с идентификацией блока данных БДДФ (FADU) «Последовательность имен узлов» с единственным элементом или идентификацией «Текущий» является удаление идентифицируемого таким образом узла типа «лист».
А.2.4.5. Ограничения на идентификацию
Идентификация блока данных БДДФ (FADU), связанная с действием над файлом, должна иметь одно из следующих значений: «Начальный», «Конечный», «Текущий», «Следующий», «Предыдущий», «Последовательность имен узлов» с единственным элементом или «Номер в упорядоченной последовательности обхода», равный или больше 1. Действия, с которыми могут использоваться эти идентификации, приведены в табл. 12.
Примечание. Ограничения на использование номеров последовательности обхода имеются в данном наборе ограничений. Порядок блоков данных БДДФ (FADU) определяется именами их узлов и, таким образом, номер соответствующего узла в последовательности обхода будет, в общем случае, изменен при модификации файла.
Таблица 12
Ограничения на идентификацию в наборе ограничений на упорядоченный двухмерный файл с уникальными именами
|
Действие |
„Начальный” |
„Конечный” |
„Текущий” |
„Следующий” |
„Предыдущий” |
„Последовательность имен узлов с единственным элементом” |
„Обход” |
|
Определение место положения |
Допустимо |
Допустимо |
Допустимо |
Допустимо |
Допустимо |
Допустимо |
Допустимо |
|
Чтение |
Целый |
- |
Лист |
Лист |
Лист |
Лист |
Лист |
|
Вставка |
Лист |
- |
- |
- |
- |
- |
- |
|
Замена |
Целый |
- |
Лист |
- |
- |
Лист |
- |
|
Расширение |
- |
- |
Лист |
- |
- |
Лист |
- |
|
Стирание |
Целый |
- |
Лист |
- |
- |
Лист |
- |
А.2.5. Набор ограничений на упорядоченный иерархический файл
А.2.5.1. Область применения
Набор ограничений на упорядоченный иерархический файл применяется к файлам, которые имеют иерархическую структуру и в которых порождение каждого узла упорядочено в последовательность обхода в соответствии с позицией их имен в определенной последовательности.
А.2.5.2. Базисные ограничения
Базисные ограничения в наборе ограничений на упорядоченный иерархический файл представлены в табл. 13.
А.2.5.3. Структурные ограничения
Ограничений на структуру файла нет; допускается полная общность с иерархической моделью файла.
А.2.5.4. Ограничения на действия
Вставка: новый узел вставляется внутри порождения указанного узла, позиция которого была указана, таким образом, что имена всех порождений этого узла упорядочены. Имя вставляемого узла должно отличаться от имени любого узла, который уже присутствует в качестве порождения указанного узла.
Другие действия: другие действия являются точно такими же, какие указаны в разд. 11.
Таблица 13
Базисные ограничения в наборе ограничений на упорядоченный иерархический файл
|
Дескриптор набора ограничений |
Упорядоченный иерархический файл |
|
Идентификатор набора ограничений |
{ГОСТ Р 34.980 (ИСО 8571) Набор ограничений (4) Упорядоченный иерархический (5)} |
|
Имена узлов |
Все имена должны быть одного типа; имя каждого блока данных БДДФ (FADU) должно отличаться от имен родственных блоков данных БДДФ (FADU); тип имен и порядок имен должны быть определены, когда делается ссылка к данному набору ограничений |
|
Действия доступа к файлу |
«Определение местоположения», «Чтение», «Вставка», «Замена», «Расширение», «Стирание» |
|
Действия ограниченного использования |
Нет |
|
Допустимые контексты доступа |
НА, НИ (HN), ВД (FA), ДУ (FL), ЕД (FS), ВН (UA), НЕ (US) |
|
Состояние при создании |
Корневой узел без соответствующего блока данных |
|
Местоположение после открытия |
Начало файла |
|
Начало файла |
Узел не выбирается; блок данных с идентификацией «Следующий» представляет первый узел в последовательности обхода (корневой узел); обращение к блокам данных с идентификацией «Текущий» и «Предыдущий» вызывает ошибку |
|
Конец файла |
Узел не выбирается; блок данных с идентификацией «Предыдущий» представляет последний узел в последовательности обхода; обращение к блокам данных с идентификацией «Текущий» и «Следующий» вызывает ошибку |
|
Чтение целого файла |
Чтение в контексте доступа НА с идентификацией блока данных БДДФ (FADU), состоящей из пустой последовательности имен узлов |
|
Запись целого файла |
Передача блока данных БДДФ (FADU) как последовательности элементов данных, которые должны были быть сформированы при чтении файла в контексте доступа НА; выполнение передачи с идентификацией блока данных БДДФ (FADU), состоящей из пустой последовательности имен узлов, и действием доступа к файлу «Замена» |
А.2.5.5. Ограничения на идентификацию
Идентификация блока данных БДДФ (FADU), связанная с действием над файлом, должна иметь одно из следующих значений: «Начальный», «Конечный», «Текущий», «Следующий», «Предыдущий», «Имя узла» или «Последовательность имен узлов». Действия, с которыми могут использоваться эти идентификации, приведены в табл. 14.
Примечания:
1. Пустая последовательность имен узлов используется для адресации корневого узла при выполнении действий над целым файлом.
2. Предполагается, что идентификация блока данных со значением «Следующий» и «Предыдущий» будет, в общем случае, использоваться в контексте доступа ЕД (FS) или для доступа к ряду узлов типа «лист» одного порождающего узла.
А.2.6. Набор ограничений на общий иерархический файл
А.2.6.1. Область применения
Набор ограничений на общий иерархический файл применяется к файлам, которые имеют иерархическую структуру и полную общность с обобщенной структурой.
А.2.6.2. Базисные ограничения
Базисные ограничения в наборе ограничений на общий иерархический файл представлены в табл. 15.
А.2.6.3. Структурные ограничения
Ограничений на структуру файла нет; допускается полная общность с иерархической моделью файла.
А.2.6.4. Ограничения на действия
Вставка: имеются две формы действия «Вставка».
Нормальное действие - «Вставка в качестве родственного»: созданный блок данных БДДФ (FADU) помещается в упорядоченную последовательность обхода после текущего местоположения таким образом, что дуга, связывающая его со своим порождающим узлом, имеет длину, указанную в дескрипторе узла. Вставленный блок данных БДДФ (FADU) и блок данных, на который указывает текущее местоположение, разделяет один и тот же порождающий узел.
Действие «Вставка в качестве родственного» не может быть выполнено, если текущее местоположение указывает на корень данного файла.
Текущее местоположение после данного действия указывает на корневой узел вновь вставленного блока данных БДДФ (FADU).
Действие ограниченного использования - «Вставка в качестве порождения»: в начале серии действий ограниченного использования записывается копия текущего местоположения и устанавливается новое местоположение, которое находится в последовательности обхода между предыдущим местоположением и следующим узлом в последовательности обхода (т.е. перед первым порождением предварительно размещенного узла, если он имеется).
Кроме того, действия ограниченного использования выполняются с такой же семантикой, как и действие нормальной вставки «Вставка в качестве родственного», но используя это временное местоположение.
В конце выполнения серии действий ограниченного использования восстанавливается текущее местоположение из копии местоположения, принятого в начале выполнения серии действий ограниченного использования.
Другие действия: другие действия являются точно такими же, какие указаны в разд. 11.
Таблица 14
Ограничения на идентификацию в наборе ограничений на упорядоченный иерархический файл
|
Действие |
„Начальный” |
„Конечный” |
„Текущий” |
„Следующий” |
„Предыдущий” |
„Имя узла” |
„Последовательность имен узлов” |
|
Определение местоположения |
Допустимо |
Допустимо |
Допустимо |
Допустимо |
Допустимо |
Допустимо |
Допустимо |
|
Чтение |
- |
- |
Допустимо |
Допустимо |
Допустимо |
Допустимо |
Допустимо (примечание 1) |
|
Вставка |
- |
- |
Допустимо |
- |
- |
Допустимо |
Допустимо |
|
Замена |
- |
- |
Допустимо |
- |
- |
Допустимо |
Допустимо (примечание 1) |
|
Расширение |
- |
- |
Допустимо |
- |
- |
Допустимо |
Допустимо |
|
Стирание |
- |
- |
Допустимо |
- |
- |
Допустимо |
Допустимо (примечание 1) |
Таблица 15
Базисные ограничения в наборе ограничений на общий иерархическнй файл
|
Дескриптор набора ограничений |
Общий иерархический файл |
|
Идентификатор набора ограничений |
{ГОСТ Р 34.980 (ИСО 8571) Набор ограничений (4) Общий иерархический (6)} |
|
Имя узла |
Типы имен должны быть определены, когда делается ссылка к данному набору ограничений; все имена на одном уровне иерархии должны быть одного типа |
|
Действия доступа к файлу |
«Определение местоположения», «Чтение», «Вставка», «Замена», «Расширение», «Стирание» |
|
Действия ограниченного использования |
Вставка; нормальное действие «Вставка в качестве родственного». Действие ограниченного использования «Вставка в качестве порождения» |
|
Допустимые контексты доступа |
НА, НИ (HN), ВД (FA), ДУ (FL), ЕД (FS), ВН (UA), НЕ (US) |
|
Состояние при создании |
Корневой узел без соответствующего блока данных |
|
Местоположение после открытия |
Начало файла |
|
Начало файла |
Узел не выбирается; блок данных с идентификацией «Следующий» представляет первый узел в последовательности обхода (корневой узел); обращение к блокам данных с идентификацией «Текущий» и «Предыдущий» вызывает ошибку |
|
Конец файла |
Узел не выбирается; блок данных с идентификацией «Предыдущий» представляет последний узел в последовательности обхода; обращение к блокам данных с идентификацией «Текущий» и «Следующий» вызывает ошибку |
|
Чтение целого файла |
Чтение в контексте доступа НА с идентификацией блока данных ВДДФ (FADU), состоящей из пустой последовательности имен узлов |
|
Запись целого файла |
Передача блока данных БДДФ (FADU) как последовательности элементов данных, которые должны были быть сформированы при чтении файла в контексте доступа НА; выполнение передачи с идентификацией блока данных БДДФ (FADU), состоящей из пустой последовательности имен узлов, и действием доступа к файлу «Замена» |
Примечание. Если имеется несколько узлов с таким же самым именем узла, то или первый из этих узлов в порядке обхода или текущий узел будет заменен, расширен или стерт, в зависимости от используемой идентификации блока данных БДДФ (FADU).
А.2.6.5. Ограничения на идентификацию
Идентификация блока данных БДДФ (FADU), связанная с действием над файлом, должна иметь одно из следующих значений: «Первый», «Конечный», «Текущий», «Следующий», «Предыдущий», «Имя узла» или «Последовательность имен узлов». Действия, с которыми могут использоваться эти идентификации, приведены в табл. 16.
Примечания:
1. Пустая последовательность имен узлов используется для адресации корневого узла при выполнении действий над целым файлом.
2. Если после выполнения действия «Определение местоположения», «Чтение» «Вставка», «Замена», «Расширение» или перед выполнением действия «Стирание» имеется один или несколько блоков данных БДДФ (FADU) с таким же именем и с порождающим узлом в качестве текущего блока данных БДДФ (FADU), то формируется предупреждающее диагностическое сообщение. Другие диагностические сообщения указывают, является ли или нет блок данных БДДФ (FADU) с таким же именем, местоположение которого указывается в настоящий момент, последним в последовательности обхода,
3. Идентификация блока данных БДДФ (FADU) со значением «Следующий» и «Предыдущий» обеспечивается, главным образом, для адресации блоков данных БДДФ (FADU) из множеств, которые разделяют такое же имя.
4. Предполагается, что идентификация блока данных со значением «Следующий» и «Предыдущий» будет, в общем случае, использоваться в контексте доступа ЕД (FS) или для доступа к ряду узлов типа «лист» одного порождающего узла.
А.2.7. Набор ограничений на общий иерархический файл с уникальными именами
А.2.7.1. Область применения
Набор ограничений на общий иерархический файл с уникальными именами применяется к файлам, которые имеют иерархическую структуру и полную общность с обобщенной структурой, за исключением того, что имена порожденных узлов любых данных порождающих узлов являются уникальными.
А.2.7.2. Базисные ограничения
Базисные ограничения в наборе ограничений на общий иерархический файл с уникальными именами представлены в табл. 17.
А.2.7.3. Структурные ограничения
Ограничений на структуру файла нет; допускается полная общность с иерархической моделью файла.
А.2.7.4. Ограничения на действия
Вставка: имеются две формы действия «Вставка». Имя вставляемого узла должно отличаться от имени любого узла, который уже существует в качестве родственного вставляемому узлу.
Нормальное действие - «Вставка в качестве родственного»: созданный блок данных БДДФ (FADU) помещается в упорядоченную последовательность обхода после текущего местоположения таким образом, что дуга, связывающая его со своим порождающим узлом, имеет длину, указанную в описателе узла. Вставленный блок данных БДДФ (FADU) и блок данных, на который указывает текущее местоположение, разделяют один и тот же порождающий узел.
Действие «Вставка в качестве родственного» не может быть выполнено, если текущее местоположение указывает на корневой узел данного файла.
Текущее местоположение после данного действия указывает на корневой узел вновь вставленного блока данных БДДФ (FADU).
Таблица 16
Ограничения на идентификацию в наборе ограничений на общий иерархический файл
|
Действие |
„Начальный” |
„Конечный” |
„Текущий” |
„Следующий” |
„Предыдущий” |
„Имя узла” |
„Последовательность имен узлов” |
|
Определение местоположения |
Допустимо |
Допустимо |
Допустимо |
Допустимо |
Допустимо |
Допустимо |
Допустимо |
|
Чтение |
- |
- |
Допустимо |
Допустимо |
Допустимо |
Допустимо |
Допустимо (примечание 1) |
|
Вставка |
- |
- |
Допустимо |
Допустимо |
Допустимо |
Допустимо |
Допустимо |
|
Замена |
- |
- |
Допустимо |
Допустимо |
Допустимо |
Допустимо |
Допустимо (примечание 1) |
|
Расширение |
- |
- |
Допустимо |
Допустимо |
Допустимо |
Допустимо |
Допустимо |
|
Стирание |
- |
- |
Допустимо |
Допустимо |
Допустимо |
Допустимо |
Допустимо (примечание 1) |
Таблица 17
Базисные ограничения в наборе ограничений на общий иерархический файл с уникальными именами
|
Дескриптор набора ограничений |
Общий иерархический файл с уникальными именами |
|
Идентификатор набора ограничений |
{ГОСТ Р 34.980 (ИСО 8571) Набор ограничений (4) Общий иерархический с уникальными именами (7)} |
|
Имя узла |
Типы имен должны быть определены, когда делается ссылка к данному набору ограничений; все имена на одном уровне иерархии должны быть одного типа. Имена порожденных узлов любого соответствующего порождающего узла должны быть уникальными |
|
Действия доступа к файлу |
«Определение местоположения», «Чтение», «Вставка», «Замена», «Расширение», «Стирание» |
|
Действия ограниченного использования |
Вставка: нормальное действие «Вставка в качестве родственного». Действие ограниченного использования «Вставка в качестве порождения» |
|
Допустимые контексты доступа |
НА, НИ (HN), ВД (FA), ДУ (FL), ВН (UA), НЕ (US), ЕД (FS) |
|
Состояние при создании |
Корневой узел без соответствующего блока данных |
|
Местоположение после открытия |
Начало файла |
|
Начало файла |
Узел не выбирается; блок данных с идентификацией «Следующий» представляет первый узел в последовательности обхода (корневой узел); обращение к блокам данных с идентификацией «Текущий» и «Предыдущий» вызывает ошибку |
|
Конец файла |
Узел не выбирается; блок данных с идентификацией «Предыдущий» представляет последний узел в последовательности обхода; обращение к блокам данных с идентификацией «Текущий» и «Следующий» вызывает ошибку |
|
Чтение целого файла |
Чтение в контексте доступа НА с идентификацией блока данных БДДФ (FADU), состоящей из пустой последовательности имен узлов |
|
Запись целого файла |
Передача блока данных БДДФ (FADU) как последовательности элементов данных, которые должны были быть сформированы при чтении файла в контексте доступа НА; выполнение передачи с идентификацией блока данных БДДФ (FADU), состоящей из пустой последовательности имен узлов, и действием доступа к файлу «Замена» |
Действие ограниченного использования - «Вставка в качестве порождения»: в начале серии действий ограниченного использования записывается копия текущего местоположения и устанавливается новое местоположение, которое находится в последовательности обхода между предыдущим местоположением и следующим узлом в последовательности обхода (т.е. перед первым порождением предварительно размещенного узла, если он имеется).
Кроме того, действия ограниченного использования выполняются с такой же семантикой, как и действие нормальной вставки «Вставка в качестве родственного», но используя это временное местоположение.
В конце выполнения серии действий ограниченного использования восстанавливается текущее местоположение из копии местоположения, принятого в начале выполнения серии действий ограниченного использования.
Другие действия: другие действия являются точно такими же, какие указаны в разд. 11.
А.2.7.5. Ограничения на идентификацию
Идентификация блока данных БДДФ (FADU), связанная с действием над файлом, должна иметь одно из следующих значений: «Первый», «Конечный», «Текущий», «Следующий», «Предыдущий», «Имя узла» или «Последовательность имен узлов». Действия, с которыми могут использоваться эти идентификации, приведены в табл. 18.
Примечания:
1. Пустая последовательность имен узлов используется для адресации корневого узла при выполнении действий над целым файлом.
2. Предполагается, что идентификация блока данных со значением «Следующий» и «Предыдущий» будет, в общем случае, использоваться в контексте доступа ЕД (FS) или для доступа к ряду узлов типа «лист» одного порождающего узла.
Таблица 18
Ограничения на идентификацию в наборе ограничений на общий иерархический файл
|
Действие |
„Начальный” |
„Конечный” |
„Текущий” |
„Следующий” |
„Предыдущий” |
„Имя узла” |
„Последовательность имен узлов” |
|
Определение местоположения |
Допустимо |
Допустимо |
Допустимо |
Допустимо |
Допустимо |
Допустимо |
Допустимо |
|
Чтение |
- |
- |
Допустимо |
Допустимо |
Допустимо |
Допустимо |
Допустимо (примечание 1) |
|
Вставка |
- |
- |
Допустимо |
- |
- |
Допустимо |
Допустимо |
|
Замена |
- |
- |
Допустимо |
- |
- |
Допустимо |
Допустимо (примечание 1) |
|
Расширение |
- |
- |
Допустимо |
- |
- |
Допустимо |
Допустимо |
|
Стирание |
- |
- |
Допустимо |
- |
- |
Допустимо |
Допустимо (примечание 1) |
Данное приложение содержит образцы общих определений типов документов для взаимодействия реализующих систем службы ПДУФ.
Б.1. Типы документов для неструктурированного текстового файла
1. Образец элемента: ПДУФ-1 (FTAM-1)
2. Объекты информации
Объекты информации в типе документа для неструктурированного текстового файла
|
Имя типа документа |
{ГОСТ Р 34.980 (ИСО 8571) Тип документа (5) Неструктурированный текстовый (1)} «ИСО FTAM Неструктурированный текстовый» |
|
Имена абстрактных синтаксисов а) имя абстрактного синтаксиса 1 |
{ГОСТ Р 34.980 (ИСО 8571) Абстрактный синтаксис (2) Неструктурированный текстовый (3)} «Абстрактный синтаксис для неструктурированного текстового файла службы FTAM» |
|
Имена синтаксисов передачи |
{Объединение ИСО МККТТ ACH.1 (1) Базисное кодирование (1)} «Базисное кодирование единого типа ACH.1» |
|
Синтаксис параметров ПАРАМЕТРЫ:: = ПОСЛЕДОВАТЕЛЬНОСТЬ { Номер универсального класса [0] НЕЯВНЫЙ ЦЕЛОЧИСЛЕННЫЙ ТИП НЕОБЯЗАТЕЛЬНАЯ ВОЗМОЖНОСТЬ, Максимальная длина строки [1] НЕЯВНЫЙ ЦЕЛОЧИСЛЕННЫЙ ТИП НЕОБЯЗАТЕЛЬНАЯ ВОЗМОЖНОСТЬ, Значение строки [2] НЕЯВНЫЙ ЦЕЛОЧИСЛЕННЫЙ ТИП {переменный (0), фиксированный (1), незначащий (2)} НЕОБЯЗАТЕЛЬНАЯ ВОЗМОЖНОСТЬ} |
|
|
Модель файла |
{ГОСТ Р 34.980 (ИСО 8571) Модель файла (3) Иерархический (1)} «Иерархическая модель файла службы FTAM» |
|
Набор ограничений |
{ГОСТ Р 34.980 (ИСО 8571) Набор ограничений (4) Неструктурированный (1)} «Набор ограничений на неструктурированный файл службы FTAM» |
|
Содержание сообщения файла Тип данных 1::=ВЫБОРОЧНЫЙ ТИП { Печатная строка - Универсальный класс 19-, Телетексная строка - Универсальный класс 20-, Видеотексная строка Универсальный класс 21-, Строка типа IA5 - Универсальный класс 22-, Графическая строка - Универсальный класс 25-, Видимая строка - Универсальный класс 26-, Общая строка - Универсальный класс 27-,} |
|
3. Назначение и область применения
Данные типы документов определяют содержание сообщения файла при хранении, передаче и доступе с помощью службы FTAM и при передаче с помощью службы JTM (Job Transfer and Manipulation) - ПОЗ (Передача и обработка заданий).
4. Ссылки
ГОСТ Р 34.980.1 - ГОСТ Р 34.1980.4 (ИСО 8571/1 - ИСО 8571/4) «Информационная технология. Взаимосвязь открытых систем. Передача, доступ и управление файлом».
ИСО 8832 «Системы обработки информации. Взаимосвязь открытых систем. Спецификация протокола базисного класса для передачи заданий и манипулирования заданиями».
ГОСТ 34.301 (ИСО 6429) «Информационная технология. 7-битные и 8-битные кодированные наборы символов. Управляющие функции».
5. Определения
Данный раздел использует такие термины, как элемент данных, блок данных и блоков данных доступа к файлу, в соответствии с ГОСТ Р 34.980.1 (ИСО 8571/1).
5.1. Строка знаков: упорядоченный ряд, либо содержащий, либо не содержащий один или несколько знаков из некоторого указанного репертуара знаков.
5.2. Графический знак: знак из некоторого репертуара знаков, зарегистрированного для использования, как например, набор знаков G0, G1, G2 или G3 в международном реестре наборов знаков ИСО, или знак ПРОБЕЛ.
5.3. Исполнительный элемент формата: управляющая функция, управляющая размещением и позиционированием информации на печатающем устройстве или на устройстве отображения. Знаками исполнительного элемента общего формата являются BS, CR, FF, НТ, LF и VT.
6. Сокращения
ПДУФ (FTAM) «Передача, доступ и управление файлом. -
- File Transfer, Access and Management».
ПОЗ (JTM) «Передача и обработка заданий. -
- Job Transfer and Manipulation».
7. Семантика документов
Данный документ состоит из одного блока данных доступа к файлу, который либо не содержит ни одной строки знаков, либо содержит только одну или несколько строк знаков. Порядок расположения этих элементов является важным. Семантика этих строк знаков не указывается данным типом документа.
Структура документа данного типа принимает форму, допустимую иерархической моделью файла службы ПДУФ (FTAM), ограниченную набором ограничений на неструктурированный файл (см. табл. 19). Эти определения представлены в настоящем стандарте.
Каждая строка знаков содержит знаки из набора знаков, определенных типом набора знаков нотации ACH.1 (Стандарт ИСО 8824), номер универсального класса которого представляется параметром «Номер универсального класса». Если параметр «Номер универсального класса» отсутствует, то по умолчанию принимается тип «Графическая строка» (25); то есть, строки знаков могут содержать знаки из любых наборов знаков» (плюс знак ПРОБЕЛ), зарегистрированных (в международном реестре кодируемых наборов знаков, которые должны использоваться с последовательностями перехода) для использования, как например, наборы знаков» G0, G1, G2 или G3.
Данным определением не накладываются ограничения на размер и длину, за исключением тех ограничений, которые указаны здесь. Каждая строка знаков имеет длину, определяемую количеством знаков, заданную параметром «Максимальная длина строки». Если параметр «Максимальная длина строки» отсутствует, то по умолчанию принимается, что эти строки знаков являются неограниченными.
Примечание. Ограничение на длину указывает количество знаков из применяемого набора знаков, а не количество октетов при кодировании и не длину строки при любом отображении документа, где они имеют другое назначение.
Точное значение строк знаков определяется параметром «Значение строки». Если значением данного параметра является «переменный» или если данный параметр отсутствует, то длина строк знаков является меньшей или равной данной длине. Если значением является «фиксированный», то длина каждой строки знаков точно равна данной длине. Если значением является «незначащий», то нет необходимости сохранять границы строк знаков, когда файл сохраняется, и не нужно привязывать их к семантике документа.
Если документ интерпретируется на устройство изображения знаков (вне сферы действия настоящего стандарта), то эта интерпретация зависит от используемого набора знаков:
а) если набор знаков содержит исполнительные элементы формата, то они должны интерпретироваться, как определено в ГОСТ 34.301; символы «Конец строки знаков» и «Конец блока данных доступа к файлу» не имеют форматирующего значения;
б) если набор знаков не содержит исполнительные элементы формата, то каждый символ «Конец строки знаков» интерпретируется как значение «Возврат каретки» и как форматирующие действия «Перевод строки» при любом изображении. Символ «Конец блока данных доступа к файлу» не имеет форматирующего значения, кроме такого, который находится в конце последней строки в этом блоке.
8. Структура абстрактного синтаксиса
Структура абстрактного синтаксиса данного документа представляет собой ряд строк символов, каждая из которых имеет тип строки символов нотации ACH.1, указанный параметром «Номер универсального класса».
9. Определение передачи
9.1. Определение типа данных
Файл не содержит или содержит несколько значений типа «Тип данных 1», определенного в табл. 19. Выбор в этом типе данных определяется параметром «Номер универсального класса» или его значением, принимаемым по умолчанию.
9.2. Значения данных уровня представления
Документ передается в качестве серии значений данных уровня представления. Каждое значение данных уровня представления должно состоять из одного значения типа данных «Тип данных 1» нотации ACH.1, содержащего одну из строк знаков из этого документа. Каждый знак должен передаваться с использованием одного из наборов знаков, указанного параметром «Номер универсального класса».
Все значения передаются в одном и том же (но любом) контексте уровня представления, установленном для обеспечения имени абстрактного синтаксиса «Имя абстрактного синтаксиса 1», представленного в табл. 19.
Примечание. Стандарты специфических носителей информации могут наложить дополнительные ограничения на контекст уровня представления, который должен использоваться, если более высокий уровень разрешает выбор.
Граничные условия между примитивами P-DATA выбираются, в зависимости от возможностей, посылающим логическим объектом во время передачи и не содержат семантику типа документа. Принимающие логические объекты, которые обеспечивают этот тип документа, должны принимать документ с любыми разрешенными вариантами передачи.
9.3. Последовательность значений данных уровня представления
Последовательность значений данных уровня представления является такой же, как последовательность строк знаков в блоке данных БД (DU) файла.
10. Синтаксис передачи
Реализующая система, обеспечивающая эти типы документов, должна обеспечивать правила формирования синтаксиса передачи, указанные в табл. 19 для всех передаваемых значений данных уровня представления.
Реализующие системы могут произвольно обеспечивать другие синтаксисы передачи.
11. Специфические спецификации элемента СЭПУ (ASE)
11.1. ГОСТ Р 34.980 ПДУФ (ИСО 8571 FTAM)
11.1.1. Упрощение и релаксация
11.1.1.1. Релаксация набора знаков
Данная операция убирает подробную информацию в идентификации типа документа.
Документ типа «ПДУФ-1» («FTAM-1») может быть подвергнут релаксации до другого документа типа «ПДУФ-1» («FTAM-1») с другим значением параметра «Номер универсального класса» или без значения этого параметра, если результирующий тип документа разрешает все знаки из исходного типа документа. Если такая релаксация вызывает включение набора исполнительных элементов формата и если эти элементы не присутствовали перед выполнением упрощения, то символы «Возврат каретки» и «Перевод строки» должны добавляться в конец каждой строки.
Примечание. Если символы «Возврат каретки» и «Перевод строки» не являются частью набора исполнительного элемента формата, то форматирующее действие может изображаться символом «Новая строка» или подобным другим специфическим выбором реализующей системы, если не определено отображение символа «Новая строка».
11.1.1.2. Релаксация длины строки.
Данная операция убирает подробную информацию в идентификации типа документа.
Документ типа «ПДУФ-1» («FTAM-1) может быть подвергнут релаксации для получения другого документа типа «ПДУФ-1» («FTAM-1») с большим значением параметра «Максимальная длина строки» или без значения параметра «Максимальная длина строки» (неограниченная строка).
11.1.2. Операция «Расширение»
Если операция «Расширение» применяется к блоку данных документа типа «ПДУФ-1» (FTAM-1)», то передаваемые данные должны иметь тип документа «ПДУФ-1» («FTAM-1») с параметрами, равными подобным параметрам исходного типа документа «ПДУФ-1» («FTAM-1»). Результирующий документ состоит из строк знаков исходного документа типа «ПДУФ-1» («FTAM-1»), следующими за строками знаков нового документа типа «ПДУФ-1» («FTAM-1»). Граница между исходными и новыми строками знаков является невидимой в новом документе.
11.1.3. Операция «Замена»
Если операция «Замена» применяется к блоку данных БДДФ (FADU) корневого узла документа типа «ПДУФ-1» («FTAM-1»), то передаваемый материал должен быть документом «ПДУФ-1» («FTAM-1») любого типа с такими же значениями параметров.
11.2. ИСО 8832 (JTM)
Следующие пункты применяются к любой реализации службы ПОЗ (JTM), требующей обеспечение документа типа «ПДУФ-1» («FTAM-1»).
11.2.1. Обеспечение других типов документов
Также должен обеспечиваться тип документа «ПОЗ-1» («ЛМ-1»),
Примечание. Эти типы документов по семантике являются идентичными.
11.2.2. Длина и параметры
Реализующая система должна иметь возможность обработки любого типа документа «ПДУФ-1» («FTAM-1») со всеми значениями параметров, должна подчиняться пределу возможной реализации, основанной на общем числе знаков из указанных наборов знаков в документе.
Примечание. См. ИСО 8832 для спецификации «Обеспечение», особенно в отношении наборов знаков.
Предел реализации должен разрешать использование документов, содержащих до 64000 знаков. Ограничения должны быть описаны в операторе подтверждения реализации протокола.
11.2.3. Сцепление
Должна обеспечиваться возможность сцепления документа типа «ПДУФ-1» («FTAM-1») и должен производиться документ того же типа, состоящий из комбинированной последовательности строк знаков.
Примечание. Граница исходных документов является видимой только в результирующем документе, как и обычная граница между двумя строками знаков.
11.2.4. Уточнение
11.2.4.1. Уточнение набора знаков и длины
Любой документ, запрашиваемый с помощью примитива J-GIVE, использующий тип документа «ПДУФ-1» («FTAM-1»), должен быть получен из любого сохраненного типа документа «ПДУФ-1» («FTAM-1»), который является результатом его релаксации при обработке документа по правилам, описанным в п. 11.1.1.1 или в п. 11.1.1.2 или в обоих этих пунктах. Результатом данной обработки может быть какой-либо документ или может быть выполнена диагностика. Более подробно см. ИСО 8832.
11.2.5. Релаксация
Любой документ, запрашиваемый с помощью примитива J-GIVE, использующий тип документа «ПДУФ-1» («FTAM-1»), который является результатом релаксации того типа документа, который был сохранен, должен быть обеспечен в качестве запрашиваемого типа документа «ПДУФ-1» («FTAM-1»).
Примечание. Значение в примитиве ответа J-GIVE никогда не сжимается.
Б.2. Тип документа для последовательного текстового файла
1. Образец элемента: ПДУФ-2 (FTAM-2)
2. Объекты информации
Объекты информации в типе документа для последовательного текстового файла
|
Имя типа документа |
{ГОСТ Р 34.980 (ИСО 8571) Тип документа (5) Последовательный текстовый (2)} «ИСО FT AM Последовательный текстовый |
|
Имена абстрактных синтаксисов: |
|
|
а) имя абстрактного синтаксиса 1; |
{ГОСТ Р 34.980 (ИСО 8571) Абстрактный синтаксис (2) Неструктурированный текстовый (3)} «Абстрактный синтаксис для неструктурированного текстового файла службы FTAM»; |
|
б) имя абстрактного синтаксиса 2 |
{ГОСТ Р 34.980 (ИСО 8571). Абстрактный синтаксис (2). Блок данных БДДФ (FADU) службы ПДУФ-2 (FTAM-2)} «Блок данных FADU службы FTAM» |
|
Имена синтаксисов передачи |
{Объединение ИСО МККТТ ACH.1 (1) Базисное кодирование (1)} «Базисное кодирование единого типа ACH.1» |
|
Синтаксис параметров ПАРАМЕТРЫ:: = ПОСЛЕДОВАТЕЛЬНОСТЬ { Номер универсального класса [0] НЕЯВНЫЙ ЦЕЛОЧИСЛЕННЫЙ ТИП НЕОБЯЗАТЕЛЬНАЯ ВОЗМОЖНОСТЬ, Максимальная длина строки [1] НЕЯВНЫЙ ЦЕЛОЧИСЛЕННЫЙ ТИП НЕОБЯЗАТЕЛЬНАЯ ВОЗМОЖНОСТЬ, Значение строки [2] НЕЯВНЫЙ ЦЕЛОЧИСЛЕННЫЙ ТИП {переменный (0), фиксированный (1), незначащий (2)} НЕОБЯЗАТЕЛЬНАЯ ВОЗМОЖНОСТЬ} |
|
|
Модель файла |
{ГОСТ Р 34.980 (ИСО 8571) Модель файла (3) Иерархический (1)} «Иерархическая модель файла службы FTAM» |
|
Набор ограничений |
{ГОСТ Р 34.980 (ИСО 8571) Набор ограничений (4) Последовательный двухмерный (2)} «Набор ограничений на последовательный двухмерный файл службы FTAM» |
|
Содержание сообщения файла Тип данных 1:: = ВЫБОРОЧНЫЙ ТИП { Печатная строка - Универсальный класс 19-, Телетексная строка - Универсальный класс 20-, Видеотексная строка - Универсальный класс 21-, Строка типа IA5 - Универсальный класс 22-, Графическая строка - Универсальный класс 25-, Видимая строка - Универсальный класс 26-, Общая строка - Универсальный класс 27-,} Тип данных 2:: = ВЫБОРОЧНЫЙ ТИП { Элемент данных описателя узла, Элемент данных входного поддерева, Элемент данных выходного поддерева} |
|
3. Назначение и область применения
Данные типы документов определяют содержание сообщения файла при хранении, при передаче и доступе с помощью службы FTAM и при передаче с помощью службы JTM (Job Transfer and Manipulation) - ПОЗ (Передача н обработка заданий).
4. Ссылки
ГОСТ Р 34.980.1 - ГОСТ Р 34.1980.4 (ИСО 8571/1 - ИСО 8571/4) «Информационная технология. Взаимосвязь открытых систем. Передача, доступ и управление файлом».
ИСО 8832 «Системы обработки информации. Взаимосвязь открытых систем. Спецификация протокола базисного класса для передачи заданий и манипулирования заданиями».
ГОСТ 34.301 (ИСО 6429) «Информационная технология. 7-битные и 8-битные кодированные наборы символов Управляющие функции».
5. Определения
Данный раздел использует такие термины, как элемент данных, блок данных и блок данных доступа к файлу, в соответствии с ГОСТ Р 34.980.1.
5.1. Строка знаков: упорядоченный ряд, либо содержащий, либо не содержащий один или несколько знаков из некоторого указанного репертуара знаков.
5.2. Графический знак: знак из некоторого репертуара знаков, зарегистрированного для использования, как например, набор знаков G0, G1, G2 или G3 в международном реестре наборов знаков ИСО, или знак ПРОБЕЛ.
5.3. Исполнительный элемент формата: управляющая функция, которая управляет размещением и позиционированием информации на печатающем устройстве или на устройстве отображения. Знаками исполнительного элемента общего формата являются BS, CR, FF, НТ, LF и VT.
6. Сокращения
ПДУФ (FTAM) «Передача, доступ и управление файлом -
- File Transfer, Access and Management».
ПОЗ (JTM) «Передача и обработка заданий -
- Job Transfer and Manipulation».
7. Семантика документов
Данный документ либо не содержит ни одного, либо содержит один или несколько блоков данных доступа к файлу, каждый из которых либо не содержит ни одной строки знаков, либо содержит одну или несколько строк знаков.
Порядок расположения каждого из этих элементов является важным. Семантика этих строк знаков не указывается данным типом документа.
Структура документа данного типа принимает любую из форм, допустимую иерархической моделью файла службы ПДУФ (FTAM), ограниченную набором ограничений на последовательный плоский файл (см. табл. 20). Эти определения представлены в настоящем стандарте.
Каждая строка знаков содержит знаки из набора знаков, определенных типом набора знаков нотации ACH.1 (ГОСТ 34.973 (ИСО 8824), номер универсального класса которого представляется параметром «Номер универсального класса». Если параметр. «Номер универсального класса» отсутствует, то по умолчанию принимается тип «Графическая строка» (25); то есть, строки знаков могут содержать знаки из любых наборов знаков (плюс знак ПРОБЕЛ), зарегистрированных (в международном реестре кодируемых наборов знаков, которые должны использоваться с последовательностями перехода) для использования, как например, наборов знаков G0, G1, G2 или G3.
Данным определением не накладываются ограничения на размер и длину, за исключением тех ограничений, которые указаны здесь. Каждая строка знаков имеет длину, определяемую количеством знаков, заданную параметром «Максимальная длина строки». Если параметр «Максимальная длина строки» отсутствует, то по умолчанию принимается, что эти строки знаков являются неограниченными.
Примечание. Ограничение на длину указывает количество знаков из применяемого набора знаков, а не количество октетов при кодировании и не длину строки при любом отображении документа, где они имеют другое назначение.
Точное значение строк знаков определяется параметром «Значение строки». Если значением данного параметра является «переменный» или если данный параметр отсутствует, то длина строк знаков является меньшей или равной данной длине. Если значением является «фиксированный», то длина каждой строки знаков точно равна данной длине. Если значением является «незначащий», то нет необходимости сохранять границы строк знаков, когда файл сохраняется, и не нужно привязывать их к семантике документа.
Если документ интерпретируется на устройство изображения знаков (вне сферы действия настоящего стандарта), то эта интерпретация зависит от используемого набора знаков:
а) если набор знаков содержит исполнительные элементы формата, то они должны интерпретироваться, как определено в ГОСТ 34.301 (ИСО 6429); символы «Конец строки знаков» и «Конец блока данных доступа к файлу» не имеют форматирующего значения, и не нужно привязывать их к семантике документа;
б) если набор знаков не содержит исполнительные элементы формата, то каждый символ «Конец строки знаков» интерпретируется как значение «Возврат каретки» и как форматирующие действия «Перевод строки» при любом изображении. Символ «Конец блока данных доступа к файлу» не имеет форматирующего значения, кроме такого, который находится в конце последней строки в этом блоке.
8. Структура абстрактного синтаксиса
Структура абстрактного синтаксиса данного документа представляет собой иерархический структурированный файл, как определено в модулях «ГОСТ Р 34.980 - БЛОК ДАННЫХ БДДФ» и «ГОСТ Р 34.980 - СОДЕРЖАНИЕ СООБЩЕНИЯ» нотации ACH.1 в ГОСТ Р 34.980, в котором каждый из элементов «Элемент данных содержания сообщения файла» имеет структуру абстрактного синтаксиса документа «ГОСТ Р 34.980 Неструктурированный текстовый», определенного элементом реестра регистрации типов документов «ПДУФ-1» в ГОСТ Р 34.980.
9. Определение передачи
9.1. Определения типов данных
Файл содержит значения данных, которыми являются либо
а) значение «Тип данных 1», определенное в табл. 20, где выбор в этом типе данных определяется параметром «Номер универсального класса», или его значением, принимаемым по умолчанию; либо
б) значение «Тип данных 2», определенное в табл. 20, тип данных нотации ACH.1, выраженный в качестве элемента «Элемент данных» в модуле «ГОСТ Р 34.980 - БЛОК ДАННЫХ БДДФ» нотации ACH.1.
9.2. Значения данных уровня представления
Документ передается в качестве серии значений данных уровня представления, каждое из которых является либо:
а) одним значением типа данных «Тип данных 1» нотации ACH.1, содержащим одну из строк знаков из этого документа. Каждый знак должен передаваться с использованием одного из наборов знаков, указанного параметром «Номер универсального класса». Все значения передаются в одном и том же (но любом) контексте уровня представления, установленном для обеспечения имени абстрактного синтаксиса «Имя абстрактного синтаксиса 1», представленного в табл. 20;
б) одним значением типа данных «Тип данных 2» нотации ACH.1. Все значения передаются в одном и том же (но любом) контексте уровня представления, установленном для обеспечения имени абстрактного синтаксиса «Имя абстрактного синтаксиса 2», представленного в табл. 20.
Примечания:
1. Стандарты специфических носителей информации могут наложить дополнительные ограничения на контекст уровня представления, который должен использоваться, если более высокий уровень разрешает выбор.
2. Любой тип документа, определенный в этом элементе, или не использует «Тип данных 2» или начинается с передачи данных типа «Тип данных 2».
Граничные условия между примитивами P-DATA выбираются, в зависимости от возможностей, посылающим логическим объектом во время передачи и не содержат семантику типа документа. Принимающие логические объекты, которые обеспечивают этот тип документа, должны принимать документ с любыми разрешенными вариантами передачи.
9.3. Последовательность значений данных уровня представления
Последовательность значений данных уровня представления типа (а) и последовательность значений данных уровня представления типов (а) и (б) являются такими же, как последовательность строк знаков в блоке данных БД (DU) файла и последовательность блоков данных в иерархической структуре, если она стала плоской согласно определению иерархической модели файла.
10. Синтаксис передачи
Реализующая система, обеспечивающая эти типы документов, должна обеспечивать правила формирования синтаксиса передачи, указанные в табл. 20 для всех передаваемых значений данных уровня представления.
Реализующие системы могут произвольно обеспечивать другие синтаксисы передачи,
11. Специфические спецификации элемента СЭПУ (ASE)
11.1. ГОСТ Р 34.980 (ПДУФ) (ИСО 8571 (FTAM))
11.1.1. Упрощение и релаксация
11.1.1.1. Структурное упрощение
Данное упрощение убирает информацию.
Тип документа «ПДУФ-2» («FTAM-2») может быть упрощен до типа документа «ПДУФ-1» («FTAM-1»). Результирующий документ содержит такую же последовательность значений данных, какая была бы в результате получения документа из допущенного структурированного текстового файла в контексте доступа ВН (UA). То есть, присутствуют только значения данных уровня представления в абстрактном синтаксисе «Имя абстрактного синтаксиса 1».
Примечание. Граница между блоками данных доступа к файлу остается границей между строками, но любое данное ей специальное значение теряется.
11.1.1.2. Релаксация набора знаков
Данная операция убирает подробную информацию в идентификации типа документа.
Документ типа «ПДУФ-2» («FTAM-2») может быть подвергнут релаксации для получения другого документа типа «ПДУФ-2» («FTAM-2») с другим значением параметра «Номер универсального класса» или без значения этого параметра, если результирующий тип документа разрешает все знаки из исходного типа документа. Если такая релаксация вызывает включение набора исполнительных элементов формата и если эти элементы не присутствовали перед выполнением упрощения, то символы «Возврат каретки» и «Перевод строки» должны добавляться в конец каждой строки
Примечание. Если символы «Возврат каретки» и «Перевод строки» не являются частью набора исполнительного элемента формата, то форматирующее действие может изображаться символом «Новая строка» или подобным другим специфическим выбором реализующей системы, если не определено отображение символа «Новая строка».
11.1.1.3. Релаксация длины строки
Данная операция убирает подробную информацию в идентификации типа документа.
Документ типа «ПДУФ-2» («FTAM-2») может быть подвергнут релаксации для получения другого документа типа «ПДУФ-2» («FTAM-2») с большим значением параметра «Максимальная длина строки» или без значения параметра «Максимальная длина строки» (неограниченная строка).
11.1.2. Выбор контекста доступа
Документ типа «ПДУФ-2» («FTAM-2») может быть доступен в любом из контекстов доступа, определенных в наборе ограничений на последовательный двухмерный файл. Блоки данных уровня представления, передаваемые в каждом случае, являются такими же, какие получаются из структурных элементов, определенных в ГОСТ Р 34.980 (ИСО 8571) для этого контекста доступа.
В контекстах доступа ВД (FA) и НА результирующий документ соответствует типу «ПДУФ-2» («РТАМ-2»). В контексте доступа ВН (UA) тип результирующего документа соответствует типу «ПДУФ-1» («FTAM-1»)
11.1.3. Операция «Вставка»
Если операция «Вставка» применяется к концу файлу, то передаваемый материал должен представлять собой серию блоков данных БДДФ (FADU), которые должны были быть сформированы при чтении какого-либо типа документа «ПДУФ-2» («FTAM-2») с такими же значениями параметров в контексте доступа ВД (FA).
11.2. ИСО 8832 (JTM)
Следующие пункты применяются к любой реализации службы ПОЗ (JTM), требующей обеспечение документа типа «ПДУФ-2» («FTAM-2»).
11.2.1. Обеспечение других типов документов
Также должны обеспечиваться типы документа «ПДУФ-1» («FTAM-1») и «ПОЗ-1» («JTM-1»).
Примечание. Эти типы документов по семантике являются идентичными.
11.2.2. Длина и параметры
Реализующая система должна иметь возможность обработки любого типа документа «ПДУФ-2» («FTAM -2») со всеми значениями параметров, должна подчиняться пределу возможной реализации, основанной на общем числе знаков из указанных наборов знаков в документе.
Примечание. См. ИСО 8832 для спецификации «Обеспечение», особенно в отношении наборов знаков.
Предел реализации должен разрешать использование документов, содержащих до 64000 знаков. Ограничения должны быть описаны в операторе подтверждения реализации протокола.
11.2.3. Сцепление
Должна обеспечиваться возможность сцепления документа типа «ПДУФ-2» («FTAM-2») и должен производиться документ того же типа, состоящий из комбинированной последовательности блоков данных.
Примечание. Граница исходных документов является видимой только в результирующем документе, как и обычная граница между двумя блоками данных.
11.2.4. Уточнение
11.2.4.1. Уточнение набора знаков и длины
Любой документ, запрашиваемый с помощью примитива J-GIVE, использующий тип документа «ПДУФ-2» («FTAM-2»), должен быть получен из любого сохраненного типа документа «ПДУФ-2» («FTAM-2»), который является результатом его релаксации при обработке документа по правилам, описанным в пп. 11.1.1.2 или в 11.1.1.3, или в обоих этих пунктах. Результатом данной обработки может быть какой-либо документ или может быть выполнена диагностика. Более подробно см ИСО 8832.
11.2.4.2. Структурное уточнение
Любой документ, запрашиваемый с помощью примитива J-GIVE, использующий тип документа «ПДУФ-2» («FTAM-2»), должен быть получен из любого сохраненного типа документа «ПДУФ-1» («FTAM-1») с помощью обращения целого документа типа «ПДУФ-1» («FTAM-1») в качестве единственного блока данных (только блока данных) в документ типа «ПДУФ-2» («FTAM-2»).
11.2.5. Структурное упрощение
Любой документ, запрашиваемый с помощью примитива J-GIVE, использующий тип документа «ПДУФ-1» («FTAM-1»), должен быть получен из типа документа «ПДУФ-2» («FTAM-2») с помощью применения структурного упрощения, указанного в п. 11.1.1.1.
11.2.6. Релаксация
Любой документ, запрашиваемый с помощью примитива J-GIVE, использующий тип документа «ПДУФ-2» («FTAM-2»), который является результатом релаксации того типа документа, который был сохранен, должен быть обеспечен в качестве запрашиваемого типа документа «ПДУФ-2» («FTAM-2»).
Примечание. Значение в примитиве ответа J-GIVE никогда не сжимается.
Б.3. Тип документа для неструктурированного двоичного файла
1. Образец элемента: ПДУФ-3 (FTAM-3)
2. Объекты информации
Объекты информации в типе документа для неструктурированного двоичного файла
|
Имя типа документа |
{ГОСТ Р 34.980 (ИСО 8571) Тип документа (5) Неструктурированный двоичный (1)} «ИСО FTAM Неструктурированный двоичный» |
|
Имена абстрактных синтаксисов: |
|
|
а) имя абстрактного синтаксиса 1 |
{ГОСТ Р 34.980 (ИСО 8571) Абстрактный синтаксис (2) Неструктурированный двоичный (4)} «Абстрактный синтаксис для неструктурированного двоичного файла службы FTAM» |
|
Имена синтаксисов передачи |
{Объединение ИСО МККТТ ACH.1 (1). Базисное кодирование (1)} «Базисное кодирование единого типа ACH.1» |
|
Синтаксис параметров ПАРАМЕТРЫ:: = ПОСЛЕДОВАТЕЛЬНОСТЬ { Максимальная длина строки [1] НЕЯВНЫЙ ЦЕЛОЧИСЛЕННЫЙ ТИП НЕОБЯЗАТЕЛЬНАЯ ВОЗМОЖНОСТЬ, Значение строки [2] НЕЯВНЫЙ ЦЕЛОЧИСЛЕННЫЙ ТИП {переменный (0), фиксированный (1), незначащий (2)} НЕОБЯЗАТЕЛЬНАЯ ВОЗМОЖНОСТЬ} |
|
|
Модель файла |
{ГОСТ Р 34.980 (ИСО 8571) Модель файла (3) Иерархический (1)} «Иерархическая модель файла службы FTAM» |
|
Набор ограничений |
{ГОСТ Р 34.980 (ИСО 8571) Набор ограничений (4) Неструктурированный (1)} «Набор ограничений на неструктурированный файл службы FTAM» |
|
Содержание сообщения файла Тип данных 1:: = СТРОКА ОКТЕТОВ |
|
3. Назначение и область применения
Данные типы документов определяют содержание сообщения файла при хранении, при передаче и доступе с помощью службы ПДУФ (FTAM) и при передаче с помощью службы ПОЗ (JTM) - Передача и обработка заданий.
4. Ссылки
ГОСТ Р 34.980.1 - ГОСТ Р 34.1980.4 (ИСО 8571/1 - ИСО 8571/4)
«Информационная технология. Взаимосвязь открытых систем. Передача, доступ и управление файлом».
ИСО 8832 «Системы обработки информации. Взаимосвязь открытых систем. Спецификация протокола базисного класса для передачи заданий и манипулирования заданиями».
5. Определения
Данный раздел использует такие термины, как элемент данных, блок данных и блок данных доступа к файлу, в соответствии с ГОСТ Р 34.980.1.
51. Двоичная строка: упорядоченный ряд, либо содержащий, либо не содержащий один или несколько двоичных октетов.
6. Сокращения
ПДУФ (FTAM) «Передача, доступ и управление файлом -
- File Transfer, Access and Management».
ПОЗ (JTM) «Передача и обработка заданий -
- Job Transfer and Manipulation».
7. Семантика документов
Данный документ состоит из одного блока данных доступа к файлу, который либо не содержит ни одной двоичной строки, либо содержит только одну или несколько двоичных строк. Порядок расположения этих элементов является важным. Семантика этих двоичных строк не указывается данным типом документа.
Структура документа данного типа принимает форму, допустимую иерархической моделью файла службы ПДУФ (FTAM), ограниченную набором ограничений на неструктурированный файл (см. табл. 21). Эти определения представлены в настоящем стандарте.
Каждая двоичная строка состоит из октетов любого значения от 0 до 255. Данным типом документа не накладывается ограничений на смысл, приписываемый этим значениям.
Данным определением не накладываются ограничения на размер и длину, за исключением тех ограничений, которые указаны здесь. Каждая двоичная строка имеет длину, определяемую количеством октетов, заданную параметром «Максимальная длина строки». Если параметр «Максимальная длина строки» отсутствует, то по умолчанию принимается, что эти двоичные строки являются неограниченными.
Точное значение двоичных строк определяется параметром «Значение строки». Если значением данного параметра является «переменный», то длина двоичных строк является меньшей или равной данной длине. Если значением является «фиксированный», то длина каждой двоичной строки точно равна данной длине. Если значением является «незначащий» или данный параметр отсутствует, то нет необходимости сохранять границы двоичных строк, когда файл сохраняется, и не нужно привязывать их к семантике документа.
8. Структура абстрактного синтаксиса
Структура абстрактного синтаксиса данного документа представляет собой ряд данных «Строка октетов» нотации ACH.1
9. Определение передачи
9.1. Определение типа данных
Файл не содержит или содержит несколько значений типа «Тип данных 1», определенного в табл. 21.
9.2. Значения данных уровня представления
Документ передается в качестве серии значений данных уровня представления. Каждое значение данных уровня представления должно состоять из одного значения типа данных «Тип данных 1» нотации ACH.1, содержащего одну из двоичных строк из этого документа.
Все значения передаются в одном и том же (но любом) контексте уровня представления, установленном для обеспечения имени абстрактного синтаксиса «Имя абстрактного синтаксиса 1», представленного в табл. 21.
Примечание. Стандарты специфических носителей информации могут наложить дополнительные ограничения на контекст уровня представления, который должен использоваться, если более высокий уровень разрешает выбор.
Граничные условия между примитивами P-DATA выбираются, в зависимости от возможностей, посылающим логическим объектом во время передачи и не содержат семантику типа документа. Принимающие логические объекты, которые обеспечивают этот тип документа, должны принимать документ с любыми разрешенными вариантами передачи.
9.3. Последовательность значений данных уровня представления
Последовательность значений данных уровня представления является такой же, как последовательность двоичных строк в блоке данных БД (DU) файла.
10. Синтаксис передачи
Реализующая система, обеспечивающая эти типы документов, должна обеспечивать правила формирования синтаксиса передачи, указанные в табл. 21, для всех передаваемых значений данных уровня представления.
Реализующие системы могут произвольно обеспечивать другие синтаксисы передачи.
11. Специфические спецификации элемента СЭПУ (ASE)
11.1. ГОСТ Р 34.980 (ПДУФ)
11.1.1. Упрощение и релаксация
11.1.1.1. Релаксация длины строки
Данная операция убирает подробную информацию в идентификации типа документа.
Документ типа «ПДУФ-3» («FTAM-3») может быть подвергнут релаксации для получения другого документа типа «ПДУФ-3» («FTAM-3») с большим значением параметра «Максимальная длина строки» или без значения параметра «Максимальная длина строки» (неограниченная строка).
11.1.2. Операция «Расширение»
Если операция «Расширение» применяется к блоку данных документа типа «ПДУФ-3» («FTAM-3»), то передаваемые данные должны иметь тип документа «ПДУФ-3» («FTAM-3») с параметрами, равными подобным параметрам исходного типа документа «ПДУФ-3» («FTAM-3»), Результирующий документ состоит из строк знаков исходного документа типа «ПДУФ-1» («FTAM-1»), следующих за строками знаков нового документа типа «ПДУФ-3» («FTAM-3»). Граница между исходными и новыми строками знаков является невидимой в новом документе.
11.1.3. Операция «Замена»
Если операция «Замена» применяется к блоку данных БДДФ (FADU) корневого узла документа типа «ПДУФ-3» («FTAM-3»), то передаваемый материал должен быть документом типа «ПДУФ-3» («FTAM-3») любого типа с такими же значениями параметров.
11.2. ИСО 8832 (JTM)
Следующие пункты применяются к любой реализации службы ПОЗ (JTM), требующей обеспечение документа типа «ПДУФ-3» («FTAM-3»)
11.2.1. Длина и параметры
Реализующая система должна иметь возможность обработки любого типа документа «ПДУФ-3» («FTAM-3») со всеми значениями параметров, должна подчиняться пределу возможной реализации, основанной на общем числе октетов.
Примечание. См. ИСО 8832 для спецификации «Обеспечение».
Предел реализации должен разрешать использование документов, содержащих до 64000 октетов. Ограничения должны быть описаны в операторе подтверждения реализации протокола.
11.2.2. Сцепление
Должна обеспечиваться возможность сцепления документа типа «ПДУФ-3» («FTAM-3») и должен производиться документ того же типа, состоящий из комбинированной последовательности двоичных строк.
Примечание. Граница исходных документов является видимой только в результирующем документе, как и обычная граница между двумя двоичными строками.
11.2.3. Уточнение
11.2.3.1. Уточнение длины
Любой документ, запрашиваемый с помощью примитива J-GIVE, использующий тип документа «ПДУФ-3» («FTAM-3»), должен быть получен из любого сохраненного типа документа «ПДУФ-3» («FTAM-3»), который является результатом его релаксации при обработке документа по правилам, описанным в п. 11.1.1.1. Результатом данной обработки может быть какой-либо документ или может быть выполнена диагностика. Более подробно см. ИСО 8832
112 4 Релаксация
Любой документ, запрашиваемый с помощью примитива J-GIVE, использующий тип документа «ПДУФ-3» («FTAM-3), который является результатом релаксации того типа документа, который был сохранен, должен быть обеспечен в качестве запрашиваемого типа документа «ПДУФ-3» («FTAM-3»).
Примечание. Значение в примитиве ответа J-GIVE никогда не сжимается.
Б.4. Типы документов для последовательного двоичного файла
1. Образец элемента: ПДУФ-4 (FTAM-4)
2. Объекты информации
Объекты информации в типе документа для последовательного двоичного файла
|
Имя типа документа |
{ГОСТ Р 34.980 (ИСО 8571) Тип документа (5) Последовательный двоичный (4)} «ИСО FTAM Последовательный двоичный» |
|
|
Имена абстрактных синтаксисов: |
||
|
а) имя абстрактного синтаксиса 1; |
{ГОСТ Р 34.980 (ИСО 8571) Абстрактный синтаксис (2) Неструктурированный двоичный (4)} «Абстрактный синтаксис для неструктурированного двоичного файла службы |
|
|
б) имя абстрактного синтаксиса 2 |
{ГОСТ Р 34.980 (ИСО 8571) Абстрактный синтаксис (2) Блок данных FADU службы FTAM (2)} «Блок данных FADU службы РТАМ» |
|
|
Имена синтаксисов передачи |
{Объединение ИСО МККТТ ACH.1 (1) Базисное кодирование (1)} «Базисное кодирование единого типа ACH.1» |
|
|
Синтаксис параметров ПАРАМЕТРЫ:: = ПОСЛЕДОВАТЕЛЬНОСТЬ { Максимальная длина строки [1] НЕЯВНЫЙ ЦЕЛОЧИСЛЕННЫЙ ТИП НЕОБЯЗАТЕЛЬНАЯ ВОЗМОЖНОСТЬ, Значение строки [2] НЕЯВНЫЙ ЦЕЛОЧИСЛЕННЫЙ ТИП {переменный (0), фиксированный (1), незначащий (2)} НЕОБЯЗАТЕЛЬНАЯ ВОЗМОЖНОСТЬ} |
|
|
|
Модель файла |
{ГОСТ Р 34.980 (ИСО 8571) Модель файла (3) Иерархический (1)} «Иерархическая модель файла службы FTAM» |
|
|
Набор ограничений |
{ГОСТ Р 34.980 (ИСО 8571) Набор ограничений (4) Последовательный двухмерный (2)} «Набор ограничений на последовательный двухмерный файл службы РТАМ» |
|
|
Содержание сообщения файла Тип данных 1:: = «СТРОКА ОКТЕТОВ Тип данных 2:: ВЫБОРОЧНЫЙ ТИП { Элемент данных описателя узла, Элемент данных входного поддерева, Элемент данных выходного поддерева |
|
|
3. Назначение и область применения
Данные типы документов определяют содержание сообщения файла при хранении, при передаче и доступе с помощью службы FTAM и при передаче с помощью службы JTM (Job Transfer and Manipulation) - ПОЗ (Передача и обработка заданий).
4. Ссылки
ГОСТ Р 34.980.1 - ГОСТ Р 34.1980.4 (ИСО 8571/1 - ИСО 8571/4) «Информационная технология. Взаимосвязь открытых систем. Передача, доступ и управление файлом».
ИСО 8832 «Системы обработки информации. Взаимосвязь открытых систем. Спецификация протокола базисного класса для передачи заданий и манипулирования заданиями.
5. Определения
Данный раздел использует такие термины, как элемент данных, блок данных и блок данных доступа к файлу, в соответствии с ГОСТ Р 34.980.1.
5.1. Двоичная строка упорядоченный ряд, либо содержащий, либо не содержащий один или несколько двоичных октетов.
6. Сокращения
ПДУФ (FTAM) «Передача, доступ и управление файлом -
- File Transfer, Access and Management»
ПОЗ (JTM) «Передача и обработка заданий -
Job Transfer and Manipulation»,
7. Семантика документов
Данный документ либо не содержит ни одного, либо содержит один или несколько блоков данных доступа к файлу, каждый из которых либо не содержит ни одной двоичной строки, либо содержит одну или несколько двоичных строк. Порядок расположения этих элементов является важным. Семантика этих двоичных строк не указывается данным типом документа.
Структура документа данного типа принимает любую из форм, допустимую иерархической моделью файла службы ПДУФ (FTAM), ограниченную набором ограничений на последовательный двухмерный файл (см. табл. 22). Эти определения представлены в настоящем стандарте.
Каждая двоичная строка состоит из октетов любого значения от 0 до 255. Данным типом документа не накладывается ограничений на смысл, приписываемый этим значениям.
Данным определением не накладываются ограничения на размер и длину, за исключением тех ограничений, которые указаны здесь. Каждая двоичная строка имеет длину, определяемую количеством октетов, заданную параметром «Максимальная длина строки». Если параметр «Максимальная длина строки» отсутствует, то по умолчанию принимается, что эти двоичные строки являются неограниченными.
Точное значение двоичных строк определяется параметром «Значение строки». Если значением данного параметра является «переменный», то длина двоичных строк является меньшей или равной данной длине. Если значением является «фиксированный», то длина каждой двоичной строки точно равна данной длине. Если значением является «незначащий» или если данный параметр отсутствует, то нет необходимости сохранять границы двоичных строк, когда файл сохраняется, и не нужно привязывать их к семантике документа,
8. Структура абстрактного синтаксиса
Структура абстрактного синтаксиса данного документа представляет собой иерархический структурированный файл, как определено в модулях «ГОСТ Р 34.980 - БЛОК ДАННЫХ БДДФ» и «ГОСТ Р 34.980 - СОДЕРЖАНИЕ СООБЩЕНИЯ» нотации ACH.1 в ГОСТ Р 34.980, в котором каждый из элементов «Элемент данных содержания сообщения файла» имеет структуру абстрактного синтаксиса документа «ИСО FTAM Неструктурированный двоичный», определенного элементом реестра регистрации типов документов ПДУФ-3 в ГОСТ Р 34.980.
9. Определение передачи
9.1. Определение типа данных
Значениями данных уровня представления, используемых для передачи, является либо:
а) значение «Тип данных 1», определенное в табл. 22;
б) значение «Тип данных 2», определенное в табл. 22, тип данных нотации ACH.1, выраженный в качестве элемента «Элемент данных» в модуле «ГОСТ Р 34.980 - БЛОК ДАННЫХ БДДФ» нотации ACH.1
9.2. Значения данных уровня представления
Документ передается в качестве серии значений данных уровня представления, каждое из которых является либо:
а) одним значением типа данных «Тип данных 1» нотации ACH.1, содержащим одну из строк знаков из этого документа. Все значения передаются в одном и том же (но любом) контексте уровня представления, установленном для обеспечения имени абстрактного синтаксиса «Имя абстрактного синтаксиса 1», представленного в табл. 22;
б) одним значением типа данных «Тип данных 2» нотации ACH.1. Все значения передаются в одном и том же (но любом) контексте уровня представления, установленном для обеспечения имени абстрактного синтаксиса «Имя абстрактного синтаксиса 2», представленного в табл. 22.
Примечания:
1. Стандарты специфических носителей информации могут наложить дополнительные ограничения на контекст уровня представления, который должен использоваться, если более высокий уровень разрешает выбор.
2. Любой тип документа, определенный в этом элементе, или не использует «Тип данных 2», или начинается с передачи данных типа «Тип данных 2».
Граничные условия между примитивами P-DATA выбираются, в зависимости от возможностей, посылающим логическим объектом во время передачи и не содержат семантику типа документа. Принимающие логические объекты, которые обеспечивают этот тип документа, должны принимать документ с любыми разрешенными вариантами передачи.
9.3. Последовательность значений данных уровня представления
Последовательность значений данных уровня представления типа (а) и последовательность значений данных уровня представления типов (а) и (б) являются такими же, как последовательность двоичных строк в блоке данных БД (DU) файла и последовательность блоков данных в иерархической структуре, если она стала плоской согласно определению иерархической модели файла в настоящем стандарте
10. Синтаксис передачи
Реализующая система, обеспечивающая эти типы документов, должна обеспечивать правила формирования синтаксиса передачи, указанные в табл. 22 для всех передаваемых значений данных уровня представления.
Реализующие системы могут произвольно обеспечивать другие синтаксисы передачи.
11. Специфические спецификации элемента СЭПУ (ASE)
11.1. ГОСТ Р 34.980 (FTAM)
11.1.1. Упрощение и релаксация
11.1.1.1. Структурное упрощение
Данное упрощение убирает информацию.
Тип документа «ПДУФ-4» («FTAM-4») может быть упрощен до типа документа «ПДУФ-3» («FTAM-3») Результирующий документ содержит такую же последовательность значений данных, какая была бы в результате получения документа из допущенного структурированного двоичного файла в контексте доступа ВН (UA). То есть, присутствуют только значения данных уровня представления в абстрактном синтаксисе «Имя абстрактного синтаксиса 1».
Примечание. Граница между блоками данных доступа к файлу остается границей между строками, но любое данное ей специальное значение теряется.
11.1.1.2. Релаксация длины строки
Данная операция убирает подробную информацию в идентификации типа документа.
Документ типа «ПДУФ-4» («FTAM-4») может быть подвергнут релаксации для получения другого документа типа «ПДУФ-4» («FTAM-4») с большим значением параметра «Максимальная длина строки» или без значения параметра «Максимальная длина строки» (неограниченная строка).
11.1.2. Выбор контекста доступа
Документ типа «ПДУФ-4» («FTAM-4») может быть доступен в любом из контекстов доступа, определенных в наборе ограничений на последовательный двухмерный файл. Блоки данных уровня представления, передаваемые в каждом случае являются такими же, какие получаются из структурных элементов, определенных в настоящем стандарте для этого контекста доступа.
В контекстах доступа ВД (FA) и НА результирующий документ соответствует типу «ПДУФ-4» («FTAM-4»). В контексте доступа ВН (UA) тип результирующего документа соответствует типу «ПДУФ-3» («FTAM-3»).
11.1.3. Операция «Вставка»
Если операция «Вставка» применяется к концу файла, то передаваемый материал должен представлять собой серию блоков данных БДДФ (FADU), которые должны были быть сформированы при чтении какого-либо типа документа «ПДУФ-4» («FTAM-4») с такими же значениями параметров в контексте доступа ВД (FA).
11.2. ИСО 8832 (JTM)
Следующие пункты применяются к любой реализации службы ПОЗ (JTM), требующей обеспечение документа типа «ПДУФ-4» («FTAM-4»).
11.2.1. Обеспечение других типов документов
Также должен обеспечиваться тип документа «ПДУФ-3» («FTAM-3»).
11.2.2. Длина и параметры
Реализующая система должна иметь возможность обработки любого типа документа «ПДУФ-4» («FTAM-4») со всеми значениями параметров, должна подчиняться пределу возможной реализации основанной на общем числе октетов в этом документе.
Примечание. См. ИСО 8832 для спецификации «Обеспечение».
Предел реализации должен разрешать использование документов, содержащих до 64000 октетов. Ограничения должны быть описаны в операторе подтверждения реализации протокола.
11.2.3. Сцепление
Должна обеспечиваться возможность сцепления документа типа «ПДУФ-4» («FTAM-4») и должен производиться документ того же типа, состоящий из комбинированной последовательности блоков данных.
Примечание. Граница исходных документов является видимой только в результирующем документе, как и обычная граница между двумя блоками данных.
11.2.4. Уточнение
1124.1. Уточнения длины
Любой документ, запрашиваемый с помощью примитива J-GIVE, использующий тип документа «ПДУФ-4» («FTAM-4»), должен быть получен из любого сохраненного типа документа «ПДУФ-4» («FTAM-4»), который является результатом его релаксации при обработке документа по правилам, описанным в п. 11.1.1.2. Результатом данной обработки может быть какой-либо документ или может быть выполнена диагностика. Более подробно см. ИСО 8832.
11.2.4.2. Структурное уточнение
Любой документ, запрашиваемый с помощью примитива J-GIVE, использующий тип документа «ПДУФ-4» («FTAM-4»), должен быть получен из любого сохраненного типа документа «ПДУФ-3» («FTAM-3») с помощью обращения целого документа типа «ПДУФ-3» («FTAM-3») в качестве единственного блока данных (только блока данных) в документ типа «ПДУФ-4» («FTAM-4»).
11.2.5. Структурное упрощение
Любой документ, запрашиваемый с помощью примитива J-GIVE, использующий тип документа «ПДУФ-3» («FTAM-3»), должен быть получен из типа документа «ПДУФ-4» («FTAM-4») с помощью применения структурного упрощения, указанного в п. 11.1.1.1.
11.2.6. Релаксация
Любой документ, запрашиваемый с помощью примитива J-GIVE, использующий тип документа «ПДУФ-4» («FTAM-4»), который является результатом релаксации того типа документа, который был сохранен, должен быть обеспечен в качестве запрашиваемого типа документа «ПДУФ-4» («FTAM-4»).
Примечание. Значение в примитиве ответа J-GIVE никогда не сжимается.
Б.5. Тип документа для простого иерархического файла
1. Образец элемента: ПДУФ-5 (FTAM-5).
2. Объекты информации
Таблица 23
Объекты информации в типе документа для иерархического файла
|
Имя типа документа |
{ГОСТ Р 34.980 (ИСО 8571) Тип документа (5) Простой иерархический (5)} «ИСО FTAM Простой иерархический файл» |
|
Имена абстрактных синтаксисов |
Указать на ссылку к типу документа |
|
Имена синтаксисов передачи |
Указать на ссылку к типу документа |
|
Синтаксис параметров |
Указать на ссылку к типу документа |
|
Модель файла |
{ГОСТ Р 34.980 (ИСО 8571) Модель файла (3) Иерархический (1)} «Иерархическая модель файла службы FTAM» |
|
Набор ограничений |
Указать на ссылку к типу документа |
|
Содержание сообщения файла |
Указать на ссылку к типу документа |
3. Назначение и область применения
Данный тип документа определяет структуру содержания сообщения простого иерархического файла с идентификаторами узлов, которые представляют собой строки, при хранении и при передаче с помощью службы ПДУФ (FTAM). Он предоставляет ссылки с помощью определений типа документа, которые указывают абстрактный синтаксис элементов данных в структуре для того, чтобы представить полное определение файла.
Примечание. Определение не является действительным значением для типа содержания сообщения и должно указываться косвенно.
4. Ссылки
ГОСТ Р 34.980.1 - ГОСТ Р 34.1980.4 «Информационная технология. Взаимосвязь открытых систем. Передача, доступ и управление файлом».
5. Определения
Данный раздел использует такие термины, как элемент данных, блок данных и блок данных доступа к файлу, в соответствии с ГОСТ Р 34.980.1 (ИСО 8571/1).
6. Сокращения
ПДУФ (FTAM) «Передача, доступ и управление файлом. -
- File Transfer, Access and Management».
7. Семантика документов
Данный документ состоит из иерархического файла, в котором блоки данных доступа к файлу именуются уникальными идентификаторами строк.
8. Структура абстрактного синтаксиса
Структура абстрактного синтаксиса данного документа представляет собой иерархический структурированный файл, как определено в модуле «ГОСТ Р 34.980 - БЛОК ДАННЫХ FADU» нотации ACH.1 в ГОСТ Р 34.980, в котором каждый из элементов данных содержания сообщения файла может иметь любой абстрактный синтаксис, указанный при ссылке на тип документа, и элемент данных «Имя узла» в модуле «ГОСТ Р 34.980 - БЛОК ДАННЫХ FADU» принимает необязательное значение «Кодируется службой FTAM».
9. Определение передачи
Определение процедур передачи должно быть указано в документе любого типа, на который имеется ссылка в документе типа «ПДУФ-5» («FTAM-5»).
10. Синтаксис передачи
Синтаксис передачи должен указываться в документе любого типа, на который имеется ссылка в документе типа «ПДУФ-5» («FTAM-5»).
11. Специфические спецификации элемента СЭПУ (ASE).
Любые специфические спецификации элемента СЭПУ (ASE) должны указываться в документе любого типа, на который имеется ссылка в документе типа «ПДУФ-5» («FTAM-5»).
В.1. Введение
В данном приложении представлены примеры содержания сообщения и последовательности элементов, имеющие место в различных структурах файла. Результат чтения таких файлов в различных контекстах доступа показан на следующих чертежах. Для каждого примера структура файла показана вместе с порядком расположения структурных элементов в последовательности обхода и выбором элементов, передаваемых в различных контекстах доступа. В каждом примере корневой узел файла, который принимается, должен быть идентифицирован при выполнении операции чтения.
Определения модели файла, наборы ограничений, применяемые к нему, и контексты доступа, в которых этот файл может быть прочитан, приведены в разд. 7. Термины, определенные в разд. 7, представляют собой сокращения в описаниях, представленных ниже:
а) «Узел» означает элемент данных дескриптора узла;
б) БД (DU) означает «Блок данных», который является последовательностью элементов данных содержания сообщения файла;
в) «Входное поддерево» означает элемент данных входного поддерева;
г) «Выходное поддерево» означает элемент данных выходного поддерева.
Точка в элементе означает, что соответствующий элемент данных передается в соответствующем контексте доступа.
В.2. Неструктурированные файлы
Неструктурированный файл состоит из корневого узла с единственным принадлежащим ему блоком данных (см. черт. 5). Это особый случай общей иерархической модели файла, представленной набором ограничений на неструктурированный файл.
Передача неструктурированного файла
Черт. 5
В.3. Двухмерные файлы
Двухмерный файл состоит из корневого узла и ряда узлов типа «лист», принадлежащих корневому узлу, с длиной дуги 1. Каждый узел типа «лист» имеет принадлежащий ему блок данных (см. черт. 6). Имеются три набора ограничений на двухмерный файл, которые могут применяться к общей иерархической модели: на последовательный двухмерный файл, на упорядоченный двухмерный файл и на упорядоченный двухмерный файл с уникальными именами.
В контексте доступа ВД (PA) описатель корневого узла «A» не передается, потому что у него нет принадлежащего ему блока данных, и поэтому индикатор наличия данных установлен в состояние ЛОЖЬ.
Передача двухмерного файла
Черт. 6
В.4. Иерархические файлы
Имеются три набора ограничений, определяющие иерархические файлы с разными типами идентификации узлов: на упорядоченный иерархический файл, на общий иерархический файл и на общий иерархический файл с уникальными именами. Структурно они все производят общие иерархические файлы. Пример иерархического файла показан на черт. 7,
Передача иерархического файла
Черт. 7, лист 1

Черт 7, лист 2
Примечание. В данном примере доступ в контексте доступа ДУ (FL) осуществляется на уровне 2.
Г.1. Основные примеры
Данное приложение содержит ряд примеров модификации структурированного файла, иллюстрирующие способ, при котором используются нормальные действия и действия ограниченного использования, чтобы выполнить различные воздействия над структурой. Для простоты действия описываются в качестве элементарных, но на практике они должны выполнять элемент за элементом.
В первых пяти примерах информация, которая должна быть передана, принимается из файла, состоящего из трех узлов (см. черт. 8). Файл, который должен быть модифицирован, не намного сложнее и показан на черт. 9.
Источник передаваемых данных
Черт. 8
Начальное состояние файла в месте назначения
Черт. 9
Г.2. Добавление узлов, родственных узлу A
Два блока данных БДДФ (FADU) типа «лист» с идентификациями «X» и «Y» из исходного файла должны быть добавлены в качестве узлов, родственных узлам A, B и C. Предположим, что идентификация блока данных БДДФ (FADU), предназначенного для передачи, имеет значение A. Передаваемыми данными являются:
Узел (X) БД (X) Узел (Y) БД (Y).
В начале передачи в результате предназначенной идентификации блока данных БДДФ (FADU) указатель местоположения устанавливается на узел «A». Принимающий логический объект разбирает входной поток данных, распознавая структурные элементы файла и выполняя над ними действия:
а) блок данных БДДФ (FADU) с идентификацией «X»
(Узел (X) + БД (X))
вставляется за блоком данных БДДФ (FADU) с идентификацией «А» в последовательности обхода; текущее местоположение указывает на блок данных с идентификацией «X»;
б) блок данных БДДФ (FADU) с идентификацией «Y»
(Узел (Y) + БД (Y))
вставляется за блоком данных БДДФ (FADU) с идентификацией «X» в последовательности обхода; текущее местоположение указывает на блок данных с идентификацией «Y».
Результирующий файл показан на черт. 10.
Конечное состояние после вставки узлов, родственных узлу A
Черт. 10
Г.3. Добавление порождения из узла С
Два блока данных БДДФ (FADU) типа «лист» с идентификациями «X» и «Y» из исходного файла должны быть добавлены в качестве порождения из узла C. Идентификация блока данных БДДФ (FADU), предназначенного для передачи, имеет значение «C». Передаваемыми данными являются:
Вход Узел (X) БД (X) Узел (Y) БД (Y) Выход.
В начале передачи в результате предназначенной идентификации блока данных БДДФ (FADU) указатель местоположения устанавливается на узел «C». Принимающий логический объект разбирает входной поток данных, распознавая структурные элементы файла и выполняя над ними действия:
а) распознается элемент «Порождение»
(Вход + Узел (X) + БД (X) + Узел (Y) + БД (Y) + Выход);
данное значение указателя местоположения сохраняется и временно создается значение, указывающее местоположение перед первым порождением из узла «C» (хотя в действительности на этой стадии нет никакого порождения из узла «C»);
б) блок данных БДДФ (FADU) с идентификацией «X» вставляется на место, расположенное после этого местоположения. Текущее местоположение указывает на блок данных с идентификацией «X»;
в) блок данных БДДФ (FADU) с идентификацией «Y» вставляется на место, расположенное после этого местоположения;
г) конец последовательности действий ограниченного использования распознается наличием первого выходного поддерева и значение указателя местоположения восстанавливается в сохраненное ранее значение «C».
Результирующая структура показана на черт. 11.
Конечное
состояние файла после вставки узлов,
являющихся порождением узла C (нормальное)
Черт, 11
Г.4. Добавление порождения из узла C (вариант)
Данный пункт иллюстрирует воздействие последовательности ограниченного использования во время добавления порождаемого узла; порядок вставки является обратным. Практическая польза такого выполнения действия не ясна, но чтобы показать процедуру вставки, приводится пример. Два блока данных БДДФ (FADU) типа «лист» с идентификациями «X» и «Y» из исходного файла должны быть добавлены в качестве порождения из узла C. Идентификатор блока данных БДДФ (FADU), предназначенного для передачи, имеет значение «С». Передаваемыми данными являются:
Вход Узел (X) БД (X) Выход Вход Узел (Y) БД (Y) Выход.
В начале передачи в результате предназначенной идентификации блока данных БДДФ (FADU) указатель местоположения устанавливается на узел «C». Принимающий логический объект разбирает входной поток данных, распознавая структурные элементы файла и выполняя над ними действия:
а) распознается элемент «Порождение»
(Вход + Узел (X) + БД (X) + Выход);
данное значение указателя местоположения сохраняется и временно создается значение, указывающее на местоположение перед первым порождением из узла «С» (хотя в действительности на этой стадии нет никакого порождения из узла «C»); блок данных БДДФ (FADU) вставляется на место, расположенное после этого местоположения. Короче говоря, текущее местоположение указывает на блок данных с идентификацией «X», но иногда конец последовательности действий ограниченного использования распознается наличием первого выходного поддерева, указатель местоположения восстанавливается в сохраненное ранее значение «C»;
б) распознается второй элемент «Порождение»
(Вход + Узел (Y)+БД (Y)+Выход);
данный указатель местоположения снова сохраняется и временно создается значение, указывающее на местоположение перед первым порождением из узла «C» (на этот раз перед узлом «X»); блок данных БДДФ (FADU) вставляется на место, расположенное после этого местоположения. Снова конец последовательности действий ограниченного использования распознается наличием выходного поддерева, а значение указателя местоположения восстанавливается в сохраненное ранее значение узла «C».
Результирующая структура показана на черт. 12.
Конечное
состояние файла после вставки узлов,
являющихся порождением узла C (вариант)
Черт. 12
Г.5. Вставка поддерева в качестве родственного узла
Целое исходное поддерево должно быть добавлено в качестве узла, родственного узлам A, B и C. Предположим, что идентификация блока данных БДДФ (FADU), предназначенного для передачи, имеет значение «C». Передаваемыми данными являются:
Узел (Z) Вход Узел (X) БД (X) Узел (Y) БД (Y) Выход
В начале передачи в результате предназначенной идентификации блока данных БДДФ (FADU) указатель местоположения устанавливается на узел «C». Принимающий логический объект разбирает входной поток данных и распознает целый поток данных в качестве закодированного поддерева с корневым узлом Z. Поэтому он вставляет блок данных БДДФ (FADU), изображенный этим поддеревом, в файл в качестве узла, родственного узлам A, B и C после узла C в последовательности обхода. Текущее местоположение указывает на узел «Z».
Результирующий файл показан на черт. 13.
Конечное
состояние файла после вставки поддерева
в качестве родственного узла
Черт. 13
Г.6. Вставка поддерева в качестве порождаемого узла
Целое исходное поддерево должно быть добавлено в качестве порождения из узла C. Идентификация блока данных БДДФ (FADU), предназначенного для передачи, имеет значение «C». Передаваемыми данными являются:
Вход Узел (Z) Вход Узел (X) БД (X) Узел (Y) БД (Y) Выход Выход.
В начале передачи в результате предназначенной идентификации блока данных БДДФ (FADU) указатель местоположения устанавливается на узел «C». Принимающий логический объект разбирает входной поток данных и распознает целый поток данных в качестве закодированного элемента «Порождение», содержащего только поддерево с корневым узлом Z. Данное значение указателя местоположения сохраняется и временно создается значение, указывающее на местоположение перед первым порождением из узла «C» (хотя в действительности на этой стадии нет никакого порождения из узла «C»); это поддерево вставляется на место, расположенное после этого местоположения. Короче говоря, текущее местоположение указывает на корневой узел этого поддерева «Z», но иногда конец последовательности действий ограниченного использования распознается наличием первого выходного поддерева, указатель местоположения восстанавливается в сохраненное ранее значение «C».
Результирующее состояние файла показано на черт. 14.
Конечное
состояние файла после вставки
поддерева в качестве порождаемого узла
Черт. 14
Г.7. Вставка в упорядоченный двухмерный файл
Последний пример иллюстрирует объединение поименованных узлов типа «лист» в упорядоченный двухмерный файл. В этом примере предполагается, что файл в месте назначения имеет идентификаторы узлов типа «лист», упорядоченные по алфавиту. Начальное состояние такого файла показано на черт. 15.
Начальное состояние упорядоченного двухмерного файла
Черт. 15
Узлы с идентификаторами «A», «P» и «X» должны быть объединены в файл. Передаваемыми данными являются:
Узел (X) БД (X) Узел (A) БД (A) Узел (P) БД (P).
В начале передачи в результате предназначенной идентификации блока данных БДДФ (FADU) указатель местоположения устанавливается на корневой узел. Принимающий логический объект разбирает входной поток данных, распознавая структурные элементы файла и выполняя над ними действия:
а) блок данных БДДФ (FADU) с идентификацией «X»
(Узел (X) + БД (X))
вставляется в порядке сравнения после существующего блока данных БДДФ (FADU) с идентификацией «W»;
б) блок данных БДДФ (FADU) с идентификацией «A»
(Узел (A) + БД (A))
вставляется в порядке сравнения перед существующим блоком данных БДДФ (FADU) с идентификацией «B»;
в) блок данных БДДФ (FADU) с идентификацией «P»
(Узел (P) + БД (P))
вставляется в порядке сравнения после существующего блока данных с идентификацией «G».
Результирующий файл показан на черт. 16.
Конечное
состояние файла после объединения упорядоченных
двухмерных файлов
Черт. 16
|
Д.1. Перекрестная ссылка типов, которые определены или на которые имеется ссылка в модуле «ГОСТ Р 34.980 - СОДЕРЖАНИЕ СООБЩЕНИЯ» Неопределенный тип .............................................................................. ссылка из строки: 5 Элемент данных содержания сообщения файла ............................ определено в строке: 5 ссылок нет Д.2. Перекрестная ссылка типов, которые определены или на которые имеется ссылка в модуле «ГОСТ Р 34.980 - БЛОК ДАННЫХ БДДФ (FADU)» Блок данных БД ............................................................................... определено в строке: 19 ссылка из строки: 7 ([0] НЕЯВНЫЙ) Блок данных БДДФ ......................................................................... определено в строке: 50 ссылок нет Булевский тип ........................................................................................ ссылка из строки: 27 ([2] НЕЯВНЫЙ) Внешний тип .......................................................................................... ссылка из строки: 40 Выборочный тип .................................................................................... ссылка из строки: 31 из строки: 52 Имя узла ............................................................................................ определено в строке: 31 ссылка из строки: 22 Поддерево ........................................................................................... определено в строке: 5 ссылка из строки: 14 из строки: 50 Порождение ...................................................................................... определено в строке: 12 ссылка из строки: 9 ([1] НЕЯВНЫЙ) Структурный элемент данных ........................................................ определено в строке: 52 ссылок нет Тип «Графическая строка» ................................................................... ссылка из строки: 32 ([0] НЕЯВНЫЙ) Тип «Последовательность» .................................................................... ссылка из строки: 5 из строки: 12 ([ПРИКЛАДНОЙ КЛАСС 0] НЕЯВНЫЙ) Тип «Последовательность из» ............................................................. ссылка из строки: 14 из строки: 19 Целочисленный тип .............................................................................. ссылка из строки: 24 ([1] НЕЯВНЫЙ) Элемент данных входного поддерева ............................................ определено в строке: 44 ссылка из строки: 13 из строки: 54 Элемент данных выходного поддерева ......................................... определено в строке: 46 ссылка из строки: 17 из строки: 55 Элемент данных описателя узла .................................................... определено в строке: 21 ссылка из строки: 6 из строки: 53 Элемент данных содержания сообщения файла ................................ ссылка из строки: 19 |
1. ПОДГОТОВЛЕН И ВНЕСЕН Техническим комитетом по стандартизации ТК 22 «Информационная технология»
2. УТВЕРЖДЕН И ВВЕДЕН В ДЕЙСТВИЕ Постановлением Госстандарта России от 28.08.92 № 1058
Настоящий стандарт подготовлен методом прямого применения международного стандарта ИСО 8571/2-88 «Системы обработки информации. Взаимосвязь открытых систем. Передача, доступ и управление файлом. Часть 2. Определение виртуального файлохранилища» и полностью ему соответствует
3. Срок проверки - 1998 г., периодичность проверки - 5 лет
4. ВВЕДЕН ВПЕРВЫЕ
5. ССЫЛОЧНЫЕ НОРМАТИВНО-ТЕХНИЧЕСКИЕ ДОКУМЕНТЫ
|
Обозначение отечественного НТД, на который дана ссылка |
Обозначение соответствующего международного стандарта |
Номер раздела, пункта, приложения |
|
ИСО 6429-88 |
||
|
ИСО 8822-88 |
||
|
ИСО 8824-87 |
||
|
ИСО 8825-87 |
||
|
ИСО 8571/1-88 |
||
|
ИСО 8571/3-88 |
||
|
ИСО 8571/4-88 |
||
|
ИСО 7498-84 |
||
|
- |
ИСО 8832-89* |
|
|
- |
ИСО 8601-88* |
|
|
- |
ИСО 8650-88* |
|
|
- |
ИСО 9804-90* |
|
|
- |
ИСО 9834/2-90* |
__________
* До прямого применения данного документа в качестве государственного стандарта распространение его осуществляет секретариат ТК 22 «Информационная технология».
СОДЕРЖАНИЕ