Signal conversion equipment for switched and unswitched voice frequency channels. Methods tests

ГОСТ Р 50590-93

ГОСУДАРСТВЕННЫЙ СТАНДАРТ РОССИЙСКОЙ ФЕДЕРАЦИИ

 

УСТРОЙСТВА ПРЕОБРАЗОВАНИЯ
СИГНАЛОВ ДЛЯ КОММУТИРУЕМЫХ
И НЕКОММУТИРУЕМЫХ КАНАЛОВ
ТОНАЛЬНОЙ ЧАСТОТЫ

МЕТОДЫ ИСПЫТАНИЙ

 

 

 

ГОССТАНДАРТ РОССИИ

Москва

 

Предисловие

1 РАЗРАБОТАН И ВНЕСЕН Департаментом промышленности средств связи Министерства промышленности Российской Федерации

2 УТВЕРЖДЕН И ВВЕДЕН В ДЕЙСТВИЕ Постановлением Госстандарта России от 10.08.93 № 195

3 Стандарт полностью соответствует рекомендациям MKKTT V.56, V.52, М.1020, М.1025

4 ВВЕДЕН ВПЕРВЫЕ

 

ГОСТ Р 50590-93

ГОСУДАРСТВЕННЫЙ СТАНДАРТ РОССИЙСКОЙ ФЕДЕРАЦИИ

УСТРОЙСТВА ПРЕОБРАЗОВАНИЯ СИГНАЛОВ ДЛЯ КОММУТИРУЕМЫХ
И НЕКОММУТИРУЕМЫХ КАНАЛОВ ТОНАЛЬНОЙ ЧАСТОТЫ

Методы испытаний

Signal conversion equipments for switched and unswitched
voice frequency channels. Methods tests

Дата введения 1994-07-01

1 ОБЛАСТЬ ПРИМЕНЕНИЯ

Настоящий стандарт распространяется на устройства преобразования сигналов (УПС) по ГОСТ 20855, ГОСТ 26532, ГОСТ 28749 и ГОСТ 28838, обеспечивающие последовательную передачу данных по некоммутируемым каналам тональной частоты и коммутируемым каналам телефонной сети общего пользования, и устанавливает перечень и параметры испытательных воздействий, оцениваемые характеристики и методы измерений при проведении сравнительных испытаний УПС.

2 НОРМАТИВНЫЕ ССЫЛКИ

В настоящем стандарте использованы ссылки на следующие стандарты:

ГОСТ 19654-74 Каналы передачи данных. Методы измерения параметров

ГОСТ 20855-83 Устройства преобразования сигналов. Аппаратура передачи данных для коммутируемых и некоммутируемых каналов тональной частоты. Типы и основные параметры

ГОСТ 21655-87 Каналы и тракты магистральной первичной сети единой автоматизированной системы связи. Электрические параметры и методы измерений

ГОСТ 26532-85 Устройства преобразования сигнала аппаратуры передачи данных для некоммутируемых каналов тональной частоты. Типы и основные параметры

ГОСТ 28749-90 Устройства преобразования сигналов для одновременной передачи данных по коммутируемым каналам телефонной сети общего пользования со скоростью 2400 бит/с. Типы и основные параметры

ГОСТ 28838-90 Устройство преобразования сигналов аппаратуры передачи данных для работы по некоммутируемым каналам тональной частоты, использующее метод сверточного кодирования информации. Основные параметры

3 ОБОЗНАЧЕНИЯ И СОКРАЩЕНИЯ

УПС - устройства преобразования сигналов.

Искажения ГВП сигнала - искажения группового времени прохождения сигнала.

4 ПЕРЕЧЕНЬ ИСПЫТАТЕЛЬНЫХ ВОЗДЕЙСТВИЙ

Устанавливаются следующие испытательные воздействия на стыке С1 УПС:

1) уровень принимаемого сигнала;

2) линейные искажения сигнала:

амплитудно-частотные искажения;

искажения группового времени прохождения (ГВП) сигнала;

3) возмущающие воздействия:

скачкообразные изменения фазы;

изменение частоты сигнала;

дрожание фазы;

скачкообразные изменения затухания;

перерывы принимаемого уровня;

4) помехи:

белый шум;

импульсные помехи;

одночастотная помеха;

5) эхо слушающего.

Примечание - Испытательному воздействию в виде «эхо слушающего» не подвергаются УПС, предназначенные для передачи данных по некоммутируемым каналам тональной частоты с чстырехпроводным окончанием.

5 ПАРАМЕТРЫ ИСПЫТАТЕЛЬНЫХ ВОЗДЕЙСТВИЙ

5.1 Испытательные воздействия формируются испытательным оборудованием совместно с испытываемым УПС. Испытания должны проводиться на стенде, структурная схема которого приведена в приложении.

5.2 Уровень принимаемого сигнала на входе приемника УПС должен составлять:

минус 20 дБ - для УПС, предназначенных для работы по некоммутируемым каналам;

минус 30 дБ - для УПС, предназначенных для работы по коммутируемым каналам.

5.3 Линейные искажения сигнала

5.3.1 Амплитудно-частотные искажения сигнала (частотная характеристика остаточного затухания) должны соответствовать значениям, приведенным в табл. 1 и 2.

Таблица 1

Частота, Гц

Симметричные амплитудно-частотные искажения, дБ

Режим 1

Режим 2

300

6

11

400

4

7

600

3

4

1900

0

0

2400

3

4

3000

4

7

3400

6

11

Примечание - Режим 1 соответствует испытанию по каналу с 5 переприемными участками по тональной частоте по ГОСТ 21655. Режим 2 соответствует испытанию по каналу с максимальным количеством переприемных участков по тональной частоте по ГОСТ 21655.

Таблица 2

Частота, Гц

Асимметричные амплитудно-частотные искажения, дБ

Режим 3

Режим 4

800

0

0

3000

6

12

Примечание - Режим 3 соответствует испытанию по физической линии средней длины. Режим 4 соответствует испытанию по физической линии максимальной длины.

5.3.2. Искажения ГВП сигнала (относительное ГВП сигнала) должны соответствовать значениям, приведенным в табл. 3.

Таблица 3

Частота, Гц

Искажения ГВП, мс

Режим 1

Режим 2

400

12,00

28,00

500

7,50

18,00

600

5,50

13,20

1000

2,00

4,80

1900

0,00

0,00

2400

0,75

1,80

2800

2,25

5,40

3000

3,75

9,00

3300

9,50

22,80

5.4. Возмущающие воздействия

5.4.1. Скачкообразные изменения фазы принимаемого сигнала должны находиться в пределах до 165 град и устанавливаться плавно или иметь дискретные значения 5, 10, 20, 45, 90 и 165 град и повторяться с частотой 0,25; 1; 10 и 100 Гц.

5.4.2. Изменения частоты передаваемого сигнала должны иметь значения ±6 и ±10 Гц.

5.4.3 Дрожание фазы должно иметь синусоидальную форму частотой 50, 100 и 300 Гц и амплитудой ±0,1; ±0,5; ±1,0; ±3,0; ±10,0 и ±15,0 град.

5.4.4. Скачкообразные изменения затухания должны устанавливаться плавно или ступенями по 3 дБ в диапазоне от 6 до 30 дБ и повторяться с частотой 0,1; 0,25 и 100 Гц.

5.4.5. Повторяющиеся перерывы принимаемого уровня должны иметь длительность 1 мс с периодом повторения в 1 с. Одиночные перерывы принимаемого уровня должны иметь длительность 0,01; 0,15; 0,30; 1,00 и 10,00 с.

5.5. Помехи

5.5.1. На входе приемника УПС разность уровней сигнала и помехи «белый шум» должны устанавливаться в диапазоне от 0 до 30 дБ.

5.5.2. Импульсные помехи должны формироваться в виде импульсов длительностью от 100 мкс до 1 мс с периодом повторения в 1 с с регулируемой амплитудой в диапазоне от 0,1 до 0,6 В.

5.5.3. Одночастотная помеха должна формироваться в виде синусоидального колебания с частотами 800, 1200, 1600, 2400 и 2100 Гц с регулируемым уровнем и разностью уровней сигнала и одночастотной помехи в диапазоне от 0 до 20 дБ.

5.6. «Эхо слушающего»

Затухание сигнала «эхо слушающего» должно устанавливаться в пределах от 0 до 20 дБ. Время задержки сигнала «эхо слушающего» должно устанавливаться в пределах от 0 до 20 мс.

6 ОЦЕНИВАЕМЫЕ ХАРАКТЕРИСТИКИ И МЕТОДЫ ИСПЫТАНИЙ

6.1. Оцениваемыми характеристиками УПС при проведении сравнительных испытаний являются:

1) коэффициент ошибок по битам (Ps) в зависимости от отношения сигнал/шум:

где Nош - количество ошибочных битов;

Nпер - количество переданных битов.

2) количество ошибок по битам за 1 секунду (Noш/t) в зависимости от испытательных воздействий и помех.

6.2. Измерение коэффициента ошибок должно проводиться при уровне приема на выходе приемника в соответствии с п. 5.2, устанавливаемом уровне белого шума в соответствии с п. 5.5.1 и составе испытательных воздействий, указанном в табл. 4. Измерение коэффициента ошибок проводят в соответствии с ГОСТ 19654.

В качестве критерия сравнения УПС должны быть взяты значения отношения сигнал/шум при определенных значениях коэффициента ошибок (Ps).

6.3. Измерение количества ошибок за 1 секунду следует проводить при уровне приема на входе приемника в соответствии с п. 5.2 и составе испытательных воздействий, приведенных в табл. 5

В качестве критерия сравнения должны быть взяты количества ошибок по битам за 1 секунду при различных определенных параметрах испытательных воздействий, либо значения параметров на границе области отсутствия ошибок.

Таблица 4

Состав испытательных воздействий

Номер таблицы или пункта настоящего стандарта

1. Без испытательных воздействий

-

2. Амплитудно-частотные искажения

Табл. 1, режим 1

Искажения ГВП

Табл. 3, режим 1

3. Амплитудно-частотные искажения

Табл. 1, режим 2

Искажения ГВП

Табл. 3, режим 2

4. Асимметричные амплитудно-частотные искажения

Табл. 2, режим 3

5. Асимметричные амплитудно-частотные искажения

Табл. 2, режим 4

6. Амплитудно-частотные искажения

Табл. 1, режим 1

Искажения ГВП

Табл. 3, режим 1

Изменение частоты

5.4.2 (±6 Гц)

7. Амплитудно-частотные искажения

Табл. 1, режим 2

Искажения ГВП

Табл. 3, режим 2

Изменение частоты

5.4.2 (±10 Гц)

8. Эхо слушающего

5.6

Таблица 5

Состав испытательных воздействий

Номер таблицы или пункта настоящего стандарта

1. Амплитудно-частотные искажения

Табл. 1, режим 1

Искажения ГВП

Табл. 3, режим 1

Скачкообразные изменения фазы

5.4.1

2. Амплитудно-частотные искажения

Табл. 1, режим 2

Искажения ГВП

Табл. 3, режим 2

Скачкообразные изменения фазы

5.4.1

3. Дрожание фазы

5.4.3

4. Амплитудно-частотные искажения

Табл. 1, режим 1

Искажения ГВП

Табл. 3, режим 1

Скачкообразные изменения затухания

5.4.4

5. Амплитудно-частотные искажения

Табл. 1, режим 2

Искажения ГВП

Табл. 3, режим 2

Скачкообразные изменения затухания

5.4.1

6. Перерывы принимаемого уровня

5.4.5

7. Импульсная помеха

5.5.2

8. Одночастотная помеха

5.5.3

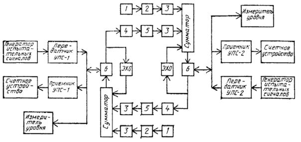
ПРИЛОЖЕНИЕ

Рекомендуемое

СТРУКТУРНАЯ СХЕМА СТЕНДА ДЛЯ ПРОВЕДЕНИЯ ИСПЫТАНИЙ УПС

1 - источник помех; 2 - полосовой фильтр на 300 - 3400 Гц; 3 - удлинитель; 4 - имитатор линейных искажений; 5 - имитатор возмущающих воздействия; 6 - дифференциальная система

Ключевые слова: устройства преобразования сигналов, передача данных, каналы тональной частоты, телефонная сеть общего пользования, параметры испытательных воздействий, оцениваемые характеристики, методы испытаний

 

СОДЕРЖАНИЕ

1 область применения. 1

2 нормативные ссылки. 1

3 обозначения и сокращения. 2

4 перечень испытательных воздействий. 2

5 параметры испытательных воздействий. 2

6 оцениваемые характеристики и методы испытаний. 3

Приложение. Структурная схема стенда для проведения испытаний упс.. 5