Государственное
санитарно-эпидемиологическое нормирование
Российской Федерации
УТВЕРЖДЕНО
И. о. Председателя Госкомсанэпиднадзора
России - заместителем Главного
государственного санитарного врача
Российской Федерации
Г.Г. Онищенко
8 июня 1996 г.
МУК 4.1.211-96
Дата введения: с момента утверждения
4.1. МЕТОДЫ КОНТРОЛЯ. ХИМИЧЕСКИЕ ФАКТОРЫ
Спектрофотометрическое измерение концентраций витамина Е в воздухе рабочей зоны

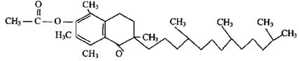
С31Н51О3 М.м. 472,8
6-ацетокси-2,5,7,8-тетраметил-2-(4,8,12-триметилтридецил) хроман (витамин Е).
Светло-желтая прозрачная вязкая маслянистая жидкость,
= 0,95 - 0,97,
= 1,4960 - 1,4985;
легко растворим в жирах, эфире, хлороформе, ацетоне. Совершенно не растворяется
в воде.
В воздухе находится в виде аэрозоля, действует на воспроизводящую систему.
ПДК в воздухе - 0,5 мг/м3.
Характеристика метода
Методика основана на спектрофотометрическом измерении бутанольного раствора витамина Е и УФ-области при длине волны 287 нм.
Отбор проб проводят с концентрированием вещества на фильтр АФА-ВП-20.
Нижний предел измерения концентрации вещества в спектрофотометрируемом растворе составляет 10 мкг/мл.
Нижний предел измерения вещества в воздухе - 0,25 мг/м3 (при отборе 200 л воздуха).
Диапазон измеряемых концентраций - от 0,25 мг/м3 до 5 мг/м3.
Определению мешают примеси, поглощающие в близлежащей области спектра.
Суммарная погрешность не превышает ± 15 %.
Время выполнения измерения, включая отбор пробы, - 25 - 30 мин.
Приборы, аппаратура, посуда
|
Спектрофотометр СФ-26 или СФ-46 |
ТУ 3-3-1314-77 |
|
Аспирационное устройство |
|
|
Пипетки любого исполнения, вместимостью 1, 2, 5, 10 |
|
|
Колбы мерные 1 или 2 класса точности, вместимостью 25 мл |
|
|
Пробирки любого исполнения |
|
|
Фильтры АФА-ВП-20 |
ТУ 95-17186-76 |
|
Стаканы химические, вместимостью 50 мл |
ГОСТ 10394-72 |
Реактивы, растворы, материалы
Витамин Е,
= 1,4960 - 1,4985
Стандартный раствор с концентрацией вещества 1 мг/мл готовят растворением 25 мг вещества в 25 мл бутанола-1 в мерной колбе, вместимостью 25 мл.
Раствор устойчив в течение 15 суток
|
Бутиловый спирт, ч. д. а. |
Отбор пробы воздуха
Воздух с объемным расходом 10 л/мин аспирируют через фильтр АФА-ВП-20.
Для измерения 1/2 ПДК следует отобрать 200 л воздуха.
Пробы могут быть проанализированы через 3 суток, при условии хранения в стаканчике, в котором будут производить экстракцию, в холодильнике.
Подготовка к измерению
Градуировочные растворы (устойчивы в течение 5 дней при условии хранения в холодильнике) готовят согласно таблицы.
Таблица
Шкала градуировочных растворов
|
№ стандарта |
Стандартный р-р, мл |
Бутанол, мл |
Концентрация вещества в градуировочном р-ре, мкг/мл |
|
1 |
0 |
25 |
0 |
|
2 |
0,25 |
24,75 |
10 |
|
3 |
0,50 |
24,50 |
20 |
|
4 |
1,0 |
24,00 |
40 |
|
5 |
1,50 |
23,50 |
60 |
|
6 |
2,0 |
23,00 |
80 |
|
7 |
2,50 |
22,50 |
100 |
|
8 |
3,75 |
21,25 |
150 |
|
9 |
5,0 |
20,00 |
200 |
Подготовленные градуировочные растворы перемешивают и через 10-15 мин измеряют оптическую плотность на спектрофотометре при длине волны 287 нм. Измерение проводят в кюветах с толщиной поглощающего слоя 10 мм.
Раствор сравнения - бутанол.
Для построения градуировочного графика: на ось абсцисс откладывают величины содержания витамина Е в градуировочных растворах (мкг/мл); на ось ординат - значения оптических плотностей соответствующих градуировочных растворов.
Проверка градуировочного графика проводится 1 раз в месяц или в случае использования новых партий реактивов.
Проведение измерений
Фильтр с отобранной пробой помещают в стаканчик вместимостью 50 мл, приливают к нему 5 мл бутанола. Витамин Е экстрагируют с помощью стеклянной палочки в течение 5-7 мин.
Определяют оптическую плотность анализируемого раствора пробы аналогично градуировочным по сравнению с бутанольным экстрактом чистого фильтра АФА.
Расчет концентрации
Концентрация вещества (С) в воздухе (мг/м3) вычисляется по формуле:
,
где
а - концентрация вещества в анализируемом растворе, найденная по градуировочному графику, мкг/мл;
б - общий объем пробы, мл;
-
объем воздуха, отобранного для анализа и приведенного к стандартным условиям, л
(см. приложение 1).
Методические указания разработаны ВНИИ ТИАФ, г. С.-Петербург.
Приведение объема воздуха к стандартным условиям (температуре 20 °С и давление 760 мм рт. ст.)
Приведение объема воздуха к стандартным условиям проводят по формуле:
,
где
Vt - объем воздуха, отобранного для анализа, л;
Р - барометрическое давление, мм рт. ст. (760 мм рт. ст. = 101,33 кПа);
t° - температура воздуха в месте отбора пробы, °С.
Для удобства расчета Vст следует пользоваться таблицей коэффициентов (приложение 2). Для приведения объема воздуха к температуре 20 °С и давлению 760 мм рт. ст. (101,33 кПа) надо умножить Vt на соответствующий коэффициент.
Коэффициент К для приведения объема воздуха к стандартным условиям
|
Давление Р, кПа/мм рт. ст. |
||||||||||
|
°С |
730 |
734 |
738 |
742 |
746 |
750 |
754 |
758 |
760 |
764 |
|
-30 |
1,1582 |
1,1646 |
1,1709 |
1,1772 |
1,1836 |
1,1899 |
1,1963 |
1,2026 |
1,2058 |
1,2122 |
|
-26 |
1,1393 |
1,1456 |
1,1519 |
1,1581 |
1,1644 |
1,1705 |
1,1768 |
1,1831 |
1,1862 |
1,1925 |
|
-22 |
1,1212 |
1,1274 |
1,1336 |
1,1396 |
1,1458 |
1,1519 |
1,1581 |
1,1643 |
1,1673 |
1,1735 |
|
-18 |
1,1036 |
1,1097 |
1,1158 |
1,1218 |
1,1278 |
1,1338 |
1,1399 |
1,1400 |
1,1490 |
1,1551 |
|
-14 |
1,0866 |
1,0926 |
1,0986 |
1,1045 |
1,1105 |
1,1164 |
1,1224 |
1,1284 |
1,1313 |
1,1373 |
|
-10 |
1,0701 |
1,0760 |
1,0819 |
1,0877 |
1,0986 |
1,0994 |
1,1053 |
1,1112 |
1,1141 |
1,1200 |
|
-6 |
1,0540 |
1,0599 |
1,0657 |
1,0714 |
1,0772 |
1,0829 |
1,0887 |
1,0945 |
1,0974 |
1,1032 |
|
-2 |
1,0385 |
1,0442 |
1,0499 |
1,0556 |
1,0613 |
1,0669 |
1,0726 |
1,0784 |
1,0812 |
1,0869 |
|
0 |
1,0309 |
1,0366 |
1,0423 |
1,0477 |
1,0535 |
1,0591 |
1,0648 |
1,0705 |
1,0733 |
1,0789 |
|
+2 |
1,0234 |
1,0291 |
1,0347 |
1,0402 |
1,0459 |
1,0514 |
1,0571 |
1,0627 |
1,0655 |
1,0712 |
|
+6 |
1,0087 |
1,0143 |
1,0198 |
1,0253 |
1,0309 |
1,0363 |
1,0419 |
1,0475 |
1,0502 |
1,0557 |
|
+10 |
0,9944 |
0,9999 |
1,0054 |
1,0108 |
1,0162 |
1,0216 |
1,0272 |
1,0326 |
1,0353 |
1,0407 |
|
+14 |
0,9806 |
0,9860 |
0,9914 |
0,9967 |
1,0027 |
1,0074 |
1,0128 |
1,0183 |
1,0209 |
1,0263 |
|
+18 |
0,9671 |
0,9725 |
0,9778 |
0,9880 |
0,9884 |
0,9936 |
0,9989 |
1,0043 |
1,0069 |
1,0122 |
|
+20 |
0,9605 |
0,9658 |
0,9711 |
0,9783 |
0,9816 |
0,9868 |
0,9921 |
0,9974 |
1,0000 |
1,0053 |
|
+22 |
0,9539 |
0,9592 |
0,9645 |
0,9696 |
0,9749 |
0,9800 |
0,9853 |
0,9906 |
0,9932 |
0,9985 |
|
+24 |
0,9475 |
0,9527 |
0,9579 |
0,9631 |
0,9683 |
0,9735 |
0,9787 |
0,9839 |
0,9865 |
0,9917 |
|
+26 |
0,9412 |
0,9464 |
0,9516 |
0,9566 |
0,9618 |
0,9669 |
0,9721 |
0,9773 |
0,9799 |
0,9851 |
|
+28 |
0,9349 |
0,9401 |
0,9453 |
0,9503 |
0,9655 |
0,9605 |
0,9657 |
0,9708 |
0,9734 |
0,9785 |
|
+30 |
0,9288 |
0,9339 |
0,9891 |
0,9440 |
0,9432 |
0,9542 |
0,9594 |
0,9645 |
0,9670 |
0,9723 |
|
+34 |
0,9167 |
0,9218 |
0,9268 |
0,9318 |
0,9368 |
0,9418 |
0,9468 |
0,9519 |
0,9544 |
0,9595 |
|
+38 |
0,9049 |
0,9099 |
0,9149 |
0,9198 |
0,9248 |
0,9297 |
0,9347 |
0,9397 |
0,9421 |
0,9471 |