УТВЕРЖДАЮ

Главный государственный санитарный

врач Российской Федерации,

Первый заместитель Министра

здравоохранения Российской Федерации

Г.Г. Онищенко

29 июня 2003 г.

Дата введения: с момента утверждения

 

4.1. МЕТОДЫ КОНТРОЛЯ. ХИМИЧЕСКИЕ ФАКТОРЫ

Спектрофотометрическое измерение массовых
концентраций 3-гидрокси-6-метил-2-этилпиридин
сукцината (1:1) (мексидол, мексикор)
в воздухе рабочей зоны

Методические указания

 

МУК 4.1.1623-03

 

 

 

1. Область применения

Настоящие методические указания устанавливают количественный спектрофотометрический анализ воздуха рабочей зоны на содержание мексидола в диапазоне массовых концентраций 0,15 - 1,20 мг/м3.

2. Характеристика вещества

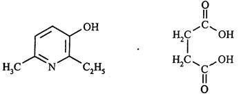
2.1. Структурная формула

2.2. Эмпирическая формула С8Н11NO · C4H6O4.

2.3. Молекулярная масса 255,27.

2.4. Регистрационный номер CAS 127464-43-1.

2.5. Физико-химические свойства.

Мексидол - белый или почти белый с кремоватым оттенком кристаллический порошок без запаха, с температурой плавления 114 - 116 °С. Хорошо растворим в воде, в водных растворах соляной кислоты, спирте этиловом и метиловом.

Агрегатное состояние в воздухе - аэрозоль.

2.6. Токсикологическая характеристика.

Мексидол - производное 3-оксипиридина, антиоксидант и мембранопротектор с чрезвычайно широким спектром фармакологической активности, в основе которой лежит способность влиять на универсальные механизмы регуляции функциональной и метаболической активности клеток. Мексидол умеренно опасен при поступлении внутрь, малотоксичен при парентеральном введении, обладает кумулятивным действием, вызывает слабое раздражающее действие на слизистые оболочки глаз.

Предельно допустимая концентрация (ПДК) в воздухе рабочей зоны 0,3 мг/м3; класс опасности - второй.

3. Погрешность измерений

Методика обеспечивает выполнение измерений массовых концентраций мексидола с погрешностью, не превышающей ± 17 %, при доверительной вероятности 0,95.

4. Метод измерений

Измерения массовой концентрации мексидола выполняют методом электрофотометрии.

Метод определения основан на способности растворов мексидола в 0,01 н водном растворе соляной кислоты поглощать УФ-излучение.

Измерение проводят при длине волны 297 нм.

Отбор проб проводят с концентрированием на фильтр.

Нижний предел измерения содержания мексидола в анализируемом объеме пробы - 30,0 мкг.

Нижний предел измерения массовой концентрации мексидола в воздухе - 0,15 мг/м3 (при отборе 200 дм3 воздуха).

Метод специфичен в условиях производства субстанции мексидола, капсул мексикора и раствора для инъекций.

Определению не мешают этиловый спирт, метиловый спирт, крахмал, тальк, поливинилпирролидон, магний стеариново-кислый.

5. Средства измерений, вспомогательные устройства, материалы, реактивы, растворы

При выполнении измерений применяют следующие средства измерений, вспомогательные устройства, материалы, реактивы и растворы.

5.1. Средства измерений, вспомогательные устройства, материалы

Спектрофотометр Specord М-40, Саrl Zeiss

 

Весы лабораторные ВЛА-200

ГОСТ 24104-88Е

Аспирационное устройство, модель 822

ГОСТ 2.6.01-86

Фильтродержатели

ТУ 95.72.05-77

Фильтры АФА-ХА-10

ТУ 52-01-367-80

Колбы мерные, вместимостью 25, 50, 100, 1000 см3

ГОСТ 1770-74Е

Пипетки, вместимостью 1, 2, 5, 10 см3

ГОСТ 29227-91

Пробирки мерные с пришлифованными пробками, вместимостью 10 см3

ГОСТ 25336-82Е

Бюксы химические с пришлифованными крышками, вместимостью 25 см3

ГОСТ 25336-82Е

Воронки химические, диаметром 30 мм

ГОСТ 25336-82Е

Палочки стеклянные

ГОСТ 25336-82Е

Кюветы с толщиной оптического слоя 10 мм

 

Цилиндры мерные, вместимостью 10, 500, 1000 см3

ГОСТ 25336-82Е

Дистиллятор

ТУ 61-1-721-79

5.2. Реактивы, растворы

Мексидол, с содержанием основного вещества не менее 99,0 % в пересчете на сухое вещество

ФСП 42-0144-3438-02

Вода дистиллированная

ГОСТ 6709-72

Кислота соляная, хч, плотность 1,19 г/см3, 0,1 н раствор, 0,01 н раствор

ГОСТ 3118-77

Допускается применение иных средств измерений, вспомогательных устройств, реактивов и материалов с техническими и метрологическими характеристиками и квалификацией, не хуже приведенных в данном разделе.

6. Требования безопасности

6.1. При работе с реактивами соблюдают требования безопасности, установленные для работ с токсичными, едкими и легковоспламеняющимися веществами по ГОСТ 12.1.005-88.

6.2. При проведении анализов горючих и вредных веществ должны соблюдаться меры противопожарной безопасности по ГОСТ 12.1.004-91.

6.3. При выполнении измерений с использованием спектрофотометра соблюдают правила электробезопасности в соответствии с ГОСТ 12.1.019-79 и инструкцией по эксплуатации прибора.

7. Требования к квалификации операторов

К выполнению измерений и обработке их результатов допускаются лица с высшим или средним специальным образованием, прошедшие обучение и имеющие навыки работы на спектрофотометре.

8. Условия измерений

8.1. Процессы приготовления растворов и подготовки проб к анализу проводят в нормальных условиях при температуре воздуха (20 ± 5) °С, атмосферном давлении 84 - 106 кПа и относительной влажности воздуха не более 80 %.

8.2. Выполнение измерений на спектрофотометре проводят в условиях, рекомендованных технической документацией к прибору.

9. Подготовка к выполнению измерений

Перед выполнением измерений проводят следующие работы: приготовление растворов, подготовка спектрофотометра, установление градуировочной характеристики, отбор проб.

9.1. Приготовление растворов

9.1.1. Основной стандартный раствор мексидола с концентрацией 500 мкг/см3 готовят растворением 0,0500 г вещества в 0,01 н водном растворе соляной кислоты в мерной колбе вместимостью 100 см3. Раствор устойчив в течение недели при хранении в холодильнике.

9.1.2. Стандартный раствор мексидола № 1 с концентрацией 100 мкг/см3 готовят разбавлением 10 см3 основного стандартного раствора 0,01 н водным раствором соляной кислоты в мерной колбе вместимостью 50 см3. Раствор применяют свежеприготовленным.

9.13. Стандартный раствор мексидола № 2 с концентрацией 30 мкг/см3 готовят разбавлением 15 см3 стандартного раствора № 1 0,01 н водным раствором соляной кислоты в мерной колбе вместимостью 50 см3. Раствор применяют свежеприготовленным.

9.1.4. 0,1 н водный раствор соляной кислоты. В мерную колбу вместимостью 1000 см3 помещают 8,22 см3 концентрированной соляной кислоты (плотность 1,19 г/см3) и разбавляют дистиллированной водой до 1000 см3.

9.1.5. 0,01 н водный раствор соляной кислоты. В мерную колбу вместимостью 1000 см3 помещают 100 см3 0,1 н водного раствора соляной кислоты и разбавляют дистиллированной водой до 1000 см3.

9.2. Подготовка прибора

Подготовку спектрофотометра проводят в соответствии с руководством по его эксплуатации.

9.3. Установление градуировочной характеристики

Градуировочную характеристику, выражающую зависимость оптической плотности раствора от массы мексидола, устанавливают по шести сериям растворов из пяти параллельных определений для каждой серии согласно табл. 1.

Таблица 1

Растворы для установления градуировочной характеристики при определении мексидола

Номер стандарта

Стандартный раствор мексидола № 1, см3

Стандартный раствор мексидола № 2, см3

0,01 н водный раствор соляной кислоты, см3

Концентрация мексидола в градуировочном растворе, мкг/см3

Содержание мексидола в градуировочном растворе, мкг

1

0,00

0,0

10,00

0,0

0,0

2

0,00

1,0

9,00

3,0

30,0

3

0,00

2,0

8,00

6,0

60,0

4

0,80

0,0

9,20

8,0

80,0

5

1,20

0,0

8,80

12,0

120,0

6

1,60

0,0

8,40

16,0

160,0

7

2,40

0,0

7,60

24,0

240,0

Градуировочные растворы устойчивы в течение часа.

Подготовленные градуировочные растворы перемешивают и через 10 мин измеряют оптические плотности растворов в кювете с толщиной поглощающего слоя 10 мм при длине волны 297 нм по отношению к раствору сравнения, не содержащему определяемого вещества.

Строят градуировочный график: на ось ординат наносят значения оптических плотностей градуировочных растворов, на ось абсцисс - соответствующие им содержания мексидола в микрограммах.

Проверка градуировочного графика проводится 1 раз в квартал или в случае использования новой партии реактивов, оборудования и после ремонта прибора.

9.4. Отбор пробы воздуха

Воздух с объёмным расходом 10 дм3/мин аспирируют через фильтр АФА-ХА-10, помещенный в фильтродержатель. Для измерения 1/2 ПДК мексидола следует отобрать 200 дм3 воздуха. Отобранные пробы могут храниться в течение недели в бюксах с пришлифованными крышками.

10. Выполнение измерения

Фильтр с отобранной пробой переносят в химический бюкс с пришлифованными крышками, вместимостью 25 см3, приливают 5 см3 0,01 н водного раствора соляной кислоты и оставляют на 15 мин, периодически помешивая стеклянной палочкой для лучшего растворения вещества. Затем фильтр отжимают и повторно обрабатывают 5 см3 того же раствора. Фильтр снова тщательно отжимают стеклянной палочкой и удаляют. Оба раствора последовательно фильтруют на химической воронке через бумажный фильтр «белая лента» в пробирку вместимостью 10 см3 и доводят 0,01 н водным раствором соляной кислоты до 10 см3. Степень десорбции вещества с фильтра 98 %.

Оптическую плотность анализируемых растворов измеряют в кювете с толщиной поглощающего слоя 10 мм при длине волны 297 нм по отношению к раствору сравнения, который готовят одновременно и аналогично пробам, используя чистый фильтр.

Количественное определение содержания мексидола (мкг) в анализируемом объеме раствора пробы проводят по предварительно построенному градуировочному графику.

Примечание. Фильтрование растворов анализируемых проб проводится для удаления нерастворимых в 0,01 н водном растворе соляной кислоты вспомогательных веществ, входящих в состав капсул мексикора.

11. Вычисление результатов измерений

Массовую концентрацию мексидола (С, мг/м3) в воздухе вычисляют по формуле:

 где

а - количество вещества, найденное в анализируемом объеме раствора по градуировочному графику, мкг;

V - объём воздуха, отобранного для анализа (дм3) и приведенного к стандартным условиям (см. прилож. 1).

12. Оформление результатов анализа

Результат количественного анализа представляют в виде (С ± D) мг/м3, P = 0,95. Значение D = 0,0055 + 0,17С, мг/м3, где D - характеристика погрешности.

13. Контроль погрешности методики КХА

Значения характеристики погрешности, норматива оперативного контроля погрешности и норматива оперативного контроля воспроизводимости приведены в табл. 2.

Таблица 2

Диапазон определяемых массовых концентраций мексидола, мг/м3

Наименование метрологической характеристики

Характеристика погрешности, D, мг/м3 (Р = 0,95)

Норматив оперативного контроля погрешности, К, мг/м3 (Р = 0,90, т = 3)

Норматив оперативного контроля воспроизводимости, D, мг/м3 (Р = 0,95, т = 2)

0,15 - 1,2

0,0055 + 0,17С

0,0078 + 0,18С

0,022 + 0,27С

Метрологические характеристики приведены в виде зависимости от значения массовой концентрации анализируемого компонента в пробе - С.

13.1. Оперативный контроль погрешности

Оперативный контроль погрешности выполняют в одной серии с КХА рабочих проб.

Образцами для контроля являются реальные пробы воздуха рабочей зоны. Объем отобранной для контроля пробы должен соответствовать удвоенному объему, необходимому для проведения анализа по методике. После отбора пробы экстракт с фильтра делят на две равные части, первую из которых анализируют в точном соответствии с прописью методики и получают результат анализа исходной рабочей пробы - С1. Вторую часть разбавляют соответствующим растворителем в два раза и снова делят на две равные части, первую из которых анализируют в точном соответствии с прописью методики, получая результат анализа рабочей пробы, разбавленной в два раза, - С2. Во вторую часть делают добавку анализируемого компонента (X) до массовой концентрации исходной рабочей пробы (С1) (общая концентрация не должна превышать верхней границы диапазона измерения) и анализируют в точном соответствии с прописью методики, получая результат анализа рабочей пробы, разбавленной в два раза, с добавкой - С3. Результаты анализа исходной рабочей пробы - С1, рабочей пробы, разбавленной в два раза, - С2, и рабочей пробы, разбавленной в два раза, с добавкой - С3, получают по возможности в одинаковых условиях, т.е. их получает один аналитик с использованием одного набора мерной посуды, одной партии реактивов и т.д.

Решение об удовлетворительной погрешности принимают при выполнении условия:

 где

С1 - результат анализа рабочей пробы,

С2 - результат анализа рабочей пробы, разбавленной в два раза,

С3 - результат анализа рабочей пробы, разбавленной в два раза, с добавкой анализируемого компонента,

Х - величина добавки анализируемого компонента,

К - норматив оперативного контроля погрешности.

К = 0,0078 + 0,18С (мг/м3)

13.2. Оперативный контроль воспроизводимости

Образцами для контроля являются реальные пробы воздуха рабочей зоны. Объем отобранной для контроля пробы должен соответствовать удвоенному объему, необходимому для проведения анализа по методике. После отбора пробы экстракт с фильтра делят на две равные части и анализируют в точном соответствии с прописью методики, максимально варьируя условия проведения анализа, т.е. получают два результата анализа в разных лабораториях или в одной, используя при этом разные наборы мерной посуды, разные партии реактивов. Два результата анализа не должны отличаться друг от друга на величину допускаемых расхождений между результатами анализа:

, где

С1 - результат анализа рабочей пробы;

С2 - результат анализа этой же пробы, полученный в другой лаборатории или в этой же, но другим аналитиком с использованием другого набора мерной посуды и других партий реактивов;

D - допустимые расхождения между результатами анализа одной и той же пробы.

D = 0,022 + 0,27С (мг/м3)

При превышении норматива оперативного контроля воспроизводимости эксперимент повторяют. При повторном превышении указанного норматива D выясняют причины, приводящие к неудовлетворительным результатам контроля, и устраняют их.

14. Нормы затрат времени и анализ

Для проведения серии анализов из 6 проб требуется 2 ч 30 мин.

Методические указания разработаны Государственным предприятием «Всероссийский научный центр по безопасности биологически активных веществ» (В.П. Жестков, А.П. Крымов, В.Ф. Алещенко, Л.И. Крымова).

Приложение 1

Приведение объема воздуха к стандартным условиям

Приведение объема воздуха к стандартным условиям (температура 20 °С и давление 101,33 кПа) проводят по формуле:

, где

Vt - объем воздуха, отобранного для анализа, дм3;

Р - барометрическое давление, кПа (101,33 кПа = 760 мм рт. ст.);

t - температура воздуха в месте отбора пробы, °С.

Для удобства расчета V20 следует пользоваться таблицей коэффициентов (прилож. 2). Для приведения воздуха к стандартным условиям надо умножить Vt на соответствующий коэффициент.

Приложение 2

Коэффициенты для приведения объема воздуха к стандартным условиям

Давление Р, кПа/мм рт. ст.

t °C

97,33/730

97,86/734

98,4/738

98,93/742

99,46/746

100/750

100,53/754

101,06/758

101,33/760

101,86/764

-30

1,1582

1,1646

1,1709

1,1772

1,1836

1,1899

1,1963

1,2026

1,2058

1,2122

-26

1,1393

1,1456

1,1519

1,1581

1,1644

1,1705

1,1768

1,1831

1,1862

1,1925

-22

1,1212

1,1274

1,1336

1,1396

1,1458

1,1519

1,1581

1,1643

1,1673

1,1735

-18

1,1036

1,1097

1,1158

1,1218

1,1278

1,1338

1,1399

1,1460

1,1490

1,1551

-14

1,0866

1,0926

1,0986

1,1045

1,1105

1,1164

1,1224

1,1284

1,1313

1,1373

-10

1,0701

1,0760

1,0819

1,0877

1,0986

1,0994

1,1053

1,1112

1,1141

1,1200

-6

1,0540

1,0599

1,0657

1,0714

1,0772

1,0829

1,0887

1,0945

1,0974

1,1032

-2

1,0385

1,0442

1,0499

1,0556

1,0613

1,0669

1,0726

1,0784

1,0812

1,0869

0

1,0309

1,0366

1,0423

1,0477

1,0535

1,0591

1,0648

1,0705

1,0733

1,0789

+2

1,0234

1,0291

1,0347

1,0402

1,0459

1,0514

1,0571

1,0627

1,0655

1,0712

+6

1,0087

1,0143

1,0198

1,0253

1,0309

1,0363

1,0419

1,0475

1,0502

1,0557

+10

0,9944

0,9999

0,0054

1,0108

1,0162

1,0216

1,0272

1,0326

1,0353

1,0407

+14

0,9806

0,9860

0,9914

0,9967

1,0027

1,0074

1,0128

1,0183

1,0209

1,0263

+18

0,9671

0,9725

0,9778

0,9830

0,9884

0,9936

0,9989

1,0043

1,0069

1,0122

+20

0,9605

0,9658

0,9711

0,9783

0,9816

0,9868

0,9921

0,9974

1,0000

1,0053

+22

0,9539

0,9592

0,9645

0,9696

0,9749

0,9800

0,9853

0,9906

0,9932

0,9985

+24

0,9475

0,9527

0,9579

0,9631

0,9683

0,9735

0,9787

0,9839

0,9865

0,9917

+26

0,9412

0,9464

0,9516

0,9566

0,9618

0,9669

0,9721

0,9773

0,9799

0,9851

+28

0,9349

0,9401

0,9453

0,9503

0,9555

0,9605

0,9657

0,9708

0,9734

0,9785

+30

0,9288

0,9339

0,9391

0,9440

0,9432

0,9542

0,9594

0,9645

0,9670

0,9723

+34

0,9167

0,9218

0,9268

0,9318

0,9368

0,9418

0,9468

0,9519

0,9544

0,9595

+38

0,9049

0,9099

0,9149

0,9199

0,9248

0,9297

0,9347

0,9397

0,9421

0,9471

Приложение 3

Указатель основных синонимов, технических, торговых и фирменных названий веществ

1. Амиодарон

2. Амоксициллина тригидрат

3. Ацикловир

4. Витамин А

5. Галоперидол

6. Ксиланаза

7. Лоперамида гидрохлорид

8. Мексидол

9. Мексикор

10. Офлоксацин

11. Пиразинамид

12. Ретинола ацетат

13. Родопол-23

14. Симвастатин

15. Трамадол

16. Хладон-23

17. Хладон-31-10

18. Хладон-116

19. Хладон-122

20. Хладон-R11511

21. Цианборгидрид натрия

22. Этамбутола дигидрохлорид

Приложение 4

Вещества, определяемые по ранее утвержденным методическим указаниям

Название вещества

Ссылка на опубликованные методические указания

1

2

1. №-децил-N,N-диметил-1-деканаминий хлорид (дидецилдиметиламмоний хлорид; «Арквад 2.10.50»)

МУ по фотометрическому измерению концентраций диалкилдиметиламмоний хлорида (С17 - С20) и алкилбензилдиметиламмоний хлорида (С10 - С16)-ДОН-2, диалкиламинопропионитрила (С7 - С9)-ИФХАН-ГАЗ, алкилтриметиламмоний хлорида (С10 - С16), ДОН-52 в воздухе рабочей зоны. № утв. 4905-88, дата утв. 12.12.88, вып. 25. М., 1989, с. 49

2. Поликарбонофторид

МУ на гравиметрическое определение пыли в воздухе рабочей зоны и в системах вентиляционных установок. МУ № 1719-77, дата утв. 18.04.77, вып. 1 - 5. М., 1981, с. 235

3. Препарат МЭК-Сх-3

МУ по фотометрическому измерению массовых концентраций эндо-1,3в-ксиланазы (ксиланаза) в воздухе рабочей зоны. МУК 4.1.1642-03, дата утв. 29.06.03, вып. 42

4. Препарат ПФП-1

МУ по спектрофотометрическому измерению концентрации амилазы в воздухе рабочей зоны. МУК 4.1.1575-03, дата утв. 29.06.03, вып. 38

5. Препарат Феркон

МУ по фотометрическому измерению массовых концентраций целловиридина в воздухе рабочей зоны. МУК 4.1.1753-03, дата утв. 29.06.03, вып. 46

6. Селенит натрия

МУ по атомно-абсорбционному измерению массовых концентраций селена и диоксида селена в воздухе рабочей зоны. МУК 4.1.1368-03, дата утв. 16.05.03, вып. 41

7. Триамин G-12Д

МУ по спектрофотометрическому измерению концентраций N’, N’-бис-(3-аминопропил)-додециламина(лонзабака) в воздухе рабочей зоны. МУК 4.1.1522-03, дата утв. 29.06.03, вып. 37

 

СОДЕРЖАНИЕ

1. Область применения. 1

2. Характеристика вещества. 1

3. Погрешность измерений. 2

4. Метод измерений. 2

5. Средства измерений, вспомогательные устройства, материалы, реактивы, растворы.. 2

5.1. Средства измерений, вспомогательные устройства, материалы.. 2

5.2. Реактивы, растворы.. 2

6. Требования безопасности. 3

7. Требования к квалификации операторов. 3

8. Условия измерений. 3

9. Подготовка к выполнению измерений. 3

9.1. Приготовление растворов. 3

9.2. Подготовка прибора. 3

9.3. Установление градуировочной характеристики. 3

9.4. Отбор пробы воздуха. 4

10. Выполнение измерения. 4

11. Вычисление результатов измерений. 5

12. Оформление результатов анализа. 5

13. Контроль погрешности методики КХА.. 5

13.1. Оперативный контроль погрешности. 5

13.2. Оперативный контроль воспроизводимости. 6

14. Нормы затрат времени и анализ. 6

Приложение 1. Приведение объема воздуха к стандартным условиям.. 6

Приложение 2. Коэффициенты для приведения объема воздуха к стандартным условиям.. 7

Приложение 3. Указатель основных синонимов, технических, торговых и фирменных названий веществ. 7

Приложение 4. Вещества, определяемые по ранее утвержденным методическим указаниям.. 8