Федеральная служба по надзору в сфере защиты прав
потребителей
и благополучия человека
4.1. МЕТОДЫ КОНТРОЛЯ. ХИМИЧЕСКИЕ ФАКТОРЫ
Определение остаточных
количеств химических веществ
в объектах окружающей среды, атмосферном
воздухе, воздухе рабочей зоны
и сельскохозяйственной продукции
Сборник
методических указаний
МУК
4.1.1960, 4.1.1961, 4.1.1963
- 4.1.1980-05
1. Разработаны Московской сельскохозяйственной академией им. К.А. Тимирязева, Учебно-научным консультационным центром «Токсикология пестицидов и агрохимикатов» (Калинин В.А., Калинина Т.С., Рыбакова О.И., Калинин А.В.).
2. Рекомендованы к утверждению Комиссией по санитарно-гигиеническому нормированию Минздрава России (протокол № 1 от 31 марта 2005 г.).
3. Утверждены Главным государственным санитарным врачом Российской Федерации, руководителем Федеральной службы по надзору в сфере защиты прав потребителей и благополучия человека Главным государственным санитарным врачом Российской Федерации Г.Г. Онищенко 21 апреля 2005 г.
4. Введены в действие с 1 июля 2005 г.
5. Введены впервые.
СОДЕРЖАНИЕ
|
УТВЕРЖДАЮ Руководитель
Федеральной службы ______________________ Г.Г. Онищенко 21 апреля 2005 г. Дата введения: 1 июля 2005 г. |
4.1. МЕТОДЫ КОНТРОЛЯ. ХИМИЧЕСКИЕ ФАКТОРЫ
Определение остаточных
количеств метсульфурон
-метила в семенах, масле и соломке льна методом
высокоэффективной жидкостной хроматографии
Методические указания
МУК 4.1.1975-05
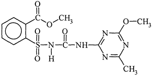
Действующее вещество: метсульфурон-метил.
Структурная формула:

Метил 2[[[[(4-метокси-6-метил-1,3,5-триазин-2-ил)амино]карбонил]амино] сульфонил]бензоат.
Мол. масса: 381,4.
Эмпирическая формула: C14H15N5O6S.
Химически чистый метсульфурон-метил представляет собой бесцветные кристаллы с температурой плавления 158 °С, давлением паров 3,3×10-7 мРа (25 °С).
Коэффициент распределения в системе н-октанол-вода KowlgP = -1,74 (рН 7).
Растворимость (г/л): в воде 0,55 (рН5), 2,79 (рН7), 213 (рН9) при 25 °С; дихлорметане - 121; ацетоне - 36; метаноле - 7,3; этаноле - 2,3; ксилоле - 0,58 (20 °С).
Стабилен на воздухе до 140 °С, в нейтральных и щелочных растворах при 25 °С.
Группа токсичности по ЕПА - IV, ВОЗ - III (табл. 5); LD50 для крыс > 5000 мг/кг.
Область применения
Послевсходовый гербицид, применяется на зерновых культурах для борьбы с однолетними и некоторыми многолетними двудольными сорняками, в том числе устойчивыми к 2,4-Д видам.
Методика основана на определении метсульфурон-метила методом ВЭЖХ с использованием УФ детектора после его извлечения из образцов органическим растворителем с последующей очисткой перераспределением между двумя несмешивающимися растворителями и на колонке с силикагелем.
Метрологическая характеристика метода представлена в таблице.
Таблица
Метрологическая характеристика метода
|
Объект анализа |
Предел обнаружения, мг/кг |
Диапазон измеряемых концентраций, мг/кг |
Среднее значение определения, % (для каждого объекта n = 24) |
Относительное стандартное отклонение S, % |
Доверительный интервал среднего, % n = 24, Р = 0,95 |
|
Семена |
0,01 |
0,01 - 0,1 |
86,2 |
5,9 |
5,2 |
|
Масло |
0,01 |
0,01 - 0,1 |
86,5 |
6,1 |
5,3 |
|
Соломка |
0,04 |
0,04 - 0,4 |
79,8 |
5,3 |
4,6 |
Присутствие других пестицидов, близких по химическому строению и области применения, определению не мешает.
|
Ацетон, осч |
ТУ 6-09-3513-86 |
|
Ацетонитрил для ВЭЖХ, «В-230НМ» или хч |
ТУ 6-09-3534-87 |
|
Бумажные фильтры «красная лента» |
ТУ 6.091678-86 |
|
Вода бидистиллированная, деионизированная |
ГОСТ 6709-79 |
|
Встряхиватель механический или аналогичный |
ТУ 64-673М |
|
Дихлорметан, хч |
ТУ 6-09-3716-80 |
|
Калий углекислый, хч |
|
|
Калий фосфорно-кислый 2-замещенный, 3-водный, чда, 0,1М водный раствор |
|
|
Калия перманганат |
|
|
Кальция хлорид, хч |
ГОСТ 4161-77 |
|
Кислота ортофосфорная, имп. (Ferak, Германия) или хч, 2М и 0,005М водные растворы |
|
|
Кислота серная, хч |
|
|
Метсульфурон-метил, аналитический стандарт с содержанием д.в. 98 %, производства фирмы «Riedel de Haеn AG» (Германия) |
|
|
Натрий двууглекислый |
|
|
Натрий серно-кислый безводный, ч, свежепрокаленный |
|
|
Натрия гидроксид, хч |
|
|
н-Гексан, хч, свежеперегнанный |
ТУ 2631-003-05807999-98 |
|
Подвижная фаза для ВЭЖХ: смесь ацетонитрил - 0,005М ортофосфорная кислота |
|
|
(28:72, по объему) |
|
|
Силикагель для колоночной хроматографии 60 (0,040 - 0,063 mm) (Merck, Германия) |
|
|
Стекловата |
|
|
Фосфора пентоксид, ч |
МРТУ 6-09-5759-69 |
|
Элюент № 1 для колоночной хроматографии: смесь гексан-этилацетат (60:40, по объему) |
|
|
Этиловый эфир уксусной кислоты, чда |
|
Жидкостный хроматограф «Альянс» фирмы «Waters» с УФ детектором (Waters 2487) с дегазатором и автоматическим пробоотборником или аналогичный |
|
|
Колонка Symmetry С-18 (250×4,6) мм, 5 мкм (Waters, USA) или аналогичная (например, Hypersil-MOS (C-8), (100×2,1) мм, 5 мкм; |
|
|
Symmetry C-18, (250×4,6) мм, 5 мкм (Waters); |
|
|
LiChrosphert C-18, (250×4,6) мм, ODS Zorbax (100×3) мм |
|
|
Предколонка Waters Symmetry C-18 |
|
|
Весы аналитические ВЛА-200 или аналогичные |
ГОСТ 34104-80Е |
|
Установка ультразвуковая «Серьга» |
ТУ 3.836.008 |
|
Мельница ножевая РМ-120 и лабораторная зерновая ЛМЗ |
ТУ 1-01-0593-79 |
|
Ротационный испаритель вакуумный ИР-1M или аналогичный |
ТУ 25-11-917-74 |
|
Бидистиллятор |
|
|
рН-метр универсальный ЭВ-74 |
ГОСТ 22261-76 |
|
Насос водоструйный |
МРТУ 42861-64 |
|
Колбы плоскодонные на шлифах КШ500 29/32 ТС |
ГОСТ 10384-72 |
|
Колбы круглодонные на шлифах КШ50 29-32 ТС |
ГОСТ 10384-72 |
|
Воронки лабораторные В-75-110 |
|
|
Воронки делительные ВД-3-500 |
ГОСТ 8613-75 |
|
Цилиндры мерные на 100, 250 и 1000 см3 |
ГОСТ 1774-74 |
|
Колбы мерные на 25, 50, 100 и 1000 см3 |
|
|
Пипетки на 1, 2, 5, 10 см3 |
ГОСТ 22292-74 |
|
Колонки стеклянные (25×1) см |
|
Отбор проб производится в соответствии с «Унифицированными правилами отбора проб сельскохозяйственной продукции, пищевых продуктов и объектов окружающей среды для определения микроколичеств пестицидов» (№ 2051-79 от 21.08.79). Пробы семян и соломки льна для определения остатков в урожае хранят в бумажной или тканевой упаковке при комнатной температуре.
Перед началом работы рекомендуется проверить чистоту применяемых органических растворителей. Для этого 100 мл растворителя упаривают в ротационном вакуумном испарителе при температуре 40 °С до объема 1,0 мл и хроматографируют. При обнаружении мешающих определению примесей очистку растворителей производят в соответствии с общепринятыми методиками. Гексан и хлористый метилен встряхивают с небольшими порциями концентрированной серной кислоты до прекращения окрашивания свежей порции кислоты, затем промывают водой, 2 %-м раствором гидроксида натрия и снова водой, после чего его сушат над гидроксидом натрия и перегоняют. Ацетон перегоняют над перманганатом калия и поташом (на 1 л ацетона 10 г KMnO4 и 2 г K2CO3). Ацетонитрил сушат над пентоксидом фосфора и перегоняют; отогнанный растворитель повторно перегоняют над углекислым калием. Этилацетат промывают равным объемом 5 %-ного раствора двууглекислого натрия, сушат над хлористым кальцием и перегоняют.
Перед началом анализа колонку (Symmetry С-18) кондиционируют в потоке подвижной фазы (1 мл/мин) до стабилизации нулевой линии в течение 1 - 2 ч.
Для приготовления 2М раствора ортофосфорной кислоты 200 г 98 % (или 225 г 87 %) кристаллической H3PO4 помещают в мерную колбу объемом 1 л, растворяют в 600 мл дистиллированной воды и доводят объем до метки дистиллированной водой.
Для приготовления 0,005М раствора ортофосфорной кислоты 2,5 мл 2М раствора H3PO4 вносят в мерную колбу на 1 л и доводят до метки деионизированным бидистиллятом.
Для приготовления 1М раствора K2HPO4 228 г кристаллического калия фосфорнокислого двузамещенного трехводного помещают в мерную колбу на 1 л, растворяют при перемешивании в 600 мл дистиллированной воды и доводят объем раствора до метки.
Для приготовления 0,1М раствора K2HPO4 10 мл 1M раствора K2HPO4 помещают в мерную колбу на 1 л и доводят раствор до метки дистиллированной водой.
Для получения 50 %-го водного ацетона в колбе емкостью 1 л смешивают 500 мл ацетона с 500 мл дистиллированной воды.
Для приготовления подвижной фазы в колбе емкостью 1 л смешивают 350 мл ацетонитрила с 650 мл 0,005М раствора ортофосфорной кислоты.
Для приготовления элюента № 1 в колбе на 1000 мл смешивают 600 мл н-гексана и 400 мл этилацетата.
Приготовление стандартного и градуировочных растворов:
Стандартный раствор с концентрацией 0,5 мг/мл. Берут точную навеску метсульфурон-метила (50 мг), переносят в мерную колбу на 100 мл, растворяют навеску в ацетонитриле и доводят до метки. Градуировочные растворы с концентрациями 0,1; 0,2; 0,5; 1,0 и 2,0 мкг/мл готовят методом последовательного разбавления по объему, используя раствор подвижной фазы (смесь ацетонитрил - 0,005М ортофосфорная кислота (35:65, по объему).
Стандартный раствор можно хранить в холодильнике при температуре 0 - 4 °С в течение 1 месяца, градуировочные растворы - в течение суток.
При изучении полноты определения метсульфурон-метила в семенах и соломке используют ацетонитрильные растворы вещества. Растворы внесения с концентрациями 0,1 и 1,0 мкг/мл готовят из стандартного раствора с концентрацией 0,5 мг/мл методом последовательного разбавления по объему ацетонитрилом. При изучении полноты определения метсульфурон-метила в льняном масле используют растворы вещества в изопропиловом спирте. Внесение в масло проводят следующим образом: 20 мг аналитического стандарта вносят в мерную колбу на 100 мл, растворяют его в 10 мл изопропилового спирта, доводят до метки льняным маслом и хорошо перемешивают. Затем колбу нагревают на водяной бане для удаления растворителя и отстаивают до получения однородного прозрачного раствора. Этот раствор разбавляют льняным маслом до получения требуемой концентрации метсульфурон-метила в масле.
Для построения градуировочного графика (площадь пика - концентрация метсульфурон-метила в растворе) в хроматограф вводят по 20 мкл градуировочных растворов (не менее 3 параллельных измерений для каждой концентрации, не менее 4 точек по диапазону измеряемых концентраций), измеряют площади пиков и строят график зависимости среднего значения площади пика от концентрации метсульфурон-метила в градуировочном растворе (мкг/мл).
В нижнюю часть стеклянной колонки длиной 25 см и внутренним диаметром 1 см помещают тампон из стекловаты, закрывают кран и вносят суспензию 5 г силикагеля в 30 мл смеси гексан-этилацетат (60:40, по объему). Дают растворителю стечь до верхнего края сорбента. Колонку последовательно промывают 50 мл этилацетата и 50 мл элюента № 1 со скоростью 1 - 2 капли в с, после чего она готова к работе.
В круглодонную колбу емкостью 10 мл отбирают 0,1 мл стандартного раствора метсульфурон-метила с концентрацией 10 мкг/мл. Отдувают растворитель током теплого воздуха (температура не выше 40 °С), остаток растворяют в 5 мл элюента № 1 и наносят на колонку. Колбу обмывают еще 5 мл элюента № 1 и также вносят на колонку. Промывают колонку 50 мл элюента № 1, затем 100 мл этилацетата со скоростью 1 - 2 капли в с. Отбирают фракции по 10 мл каждая, выпаривают досуха, остаток растворяют в 2 мл подвижной фазы для ВЭЖХ (п. 2.5.2) и анализируют на содержание метсульфурон-метила (п. 2.6.5).
Фракции, содержащие метсульфурон-метил, объединяют, выпаривают досуха, остаток растворяют в 2 мл подвижной фазы для ВЭЖХ и вновь анализируют (п. 2.6.5). Рассчитывают содержание метсульфурон-метила в элюате, определяя полноту вымывания вещества из колонки и необходимый для этого объем элюента.
Примечание: параметры удерживания метсульфурон-метила и сопутствующих экстрактивных веществ могут меняться при использовании новой партии сорбента и растворителей.
Установка и подготовка всех приборов и средств измерения проводится в соответствии с требованиями стандартов и технической документации.
Образец масла массой 20 г растворяют в 100 мл гексана, помещают раствор в делительную воронку объемом 250 мл и переэкстрагируют метсульфурон-метил дважды дистиллированной водой, порциями по 50 мл, встряхивая смесь каждый раз в течение 2 - 3 мин и собирая нижний водный слой. Объединенный экстракт промывают трижды гексаном порциями по 50 мл, встряхивая смесь каждый раз в течение 2 - 3 мин. Верхний органический слой отбрасывают. К водному экстракту добавляют 10 мл 1М раствора K2HPO4 и промывают дважды хлористым метиленом порциями по 20 мл, встряхивая делительную воронку в течение 2 - 3 мин. Нижний органический слой отбрасывают*.
Внимание! Отделение водного слоя следует производить только после полного расслоения жидкостей в делительной воронке.
___________
* В случае образования сравнительно стойких эмульсий для сокращения времени расслоения можно добавить в делительную воронку: на стадии промывки экстрактов гексаном и хлористым метиленом - небольшое количество (до 10 мл) этилового спирта, а на стадии переэкстракции - насыщенный раствор хлорида натрия (15 - 20 мл).
Водную фазу подкисляют 2М ортофосфорной кислотой до рН 3 и метсульфурон-метил экстрагируют хлористым метиленом трижды по 30 мл, встряхивая воронку каждый раз по 2 - 3 мин. Верхний водный слой отбрасывают. Объединенную органическую фазу фильтруют через слой безводного сульфата натрия (2 г), осушитель промывают 10 - 15 мл хлористого метилена. Полученный раствор выпаривают досуха на роторном испарителе при температуре не выше 40 °С. Дальнейшую очистку экстракта проводят по п. 2.6.4.
Навеску размолотых на лабораторной мельнице семян массой 20 г помещают в коническую колбу емкостью 250 мл и экстрагируют метсульфурон-метил 150 мл смеси ацетон-вода (50:50, по объему) на ультразвуковой установке в течение 15 мин. Суспензию фильтруют через бумажный фильтр «красная лента». Экстракцию повторяют еще с 150 мл водно-ацетоновой смеси. Из объединенного экстракта отбирают аликвоту, соответствующую 5 г образца. Ацетон удаляют на роторном испарителе при температуре не выше 40 °С, объем водного раствора доводят до 100 мл дистиллированной водой, помещают в делительную воронку объемом 250 мл и промывают трижды гексаном порциями по 50 мл, встряхивая смесь каждый раз в течение 2 - 3 мин и отбрасывая после расслоения верхний органический слой. К водному экстракту добавляют 10 мл 1М раствора K2HPO4 и промывают дважды хлористым метиленом порциями по 20 мл, встряхивая делительную воронку в течении 2 - 3 мин. Нижний органический слой отбрасывают*.
___________
* В случае образования сравнительно стойких эмульсий для сокращения времени расслоения можно добавить в делительную воронку: на стадии промывки экстрактов гексаном и хлористым метиленом - небольшое количество (до 10 мл) этилового спирта, а на стадии переэкстракции - насыщенный раствор хлорида натрия (15 - 20 мл).
Водную фазу подкисляют 2М ортофосфорной кислотой до рН 3 и метсульфурон-метил экстрагируют хлористым метиленом трижды по 30 мл, встряхивая воронку каждый раз по 2 - 3 мин. Верхний водный слой отбрасывают. Объединенную органическую фазу фильтруют через слой безводного сульфата натрия (2 г), осушитель промывают 10 - 15 мл хлористого метилена. Полученный раствор выпаривают досуха на роторном испарителе при температуре не выше 40 °С. Дальнейшую очистку экстракта проводят по пункту 2.6.4.
Навеску измельченной на ножевой мельнице соломки льна массой 20 г помещают в коническую колбу емкостью 250 мл и экстрагируют метсульфурон-метил 75 мл ацетонитрила на встряхивателе в течение 1 часа. Суспензию фильтруют на стеклянной воронке через бумажный фильтр «красная лента». Осадок с фильтра количественно переносят назад в колбу и экстракцию повторяют с 75 мл ацетонитрила. Объединенные экстракты помещают в делительную воронку объемом 250 мл и промывают трижды гексаном порциями по 30 мл, встряхивая смесь каждый раз в течение 2 - 3 мин и отбрасывая верхний гексановый слой. Экстракт выпаривают досуха на роторном испарителе при температуре не выше 40 °С. Сухой остаток в колбе растворяют в 100 мл 0,1 М раствора K2HPO4, помещая колбу на 5 минут в ультразвуковую ванну. Раствор помещают в делительную воронку объемом 250 мл и промывают дважды гексаном порциями по 30 мл (верхний гексановый слой отбрасывают) и дважды хлористым метиленом порциями по 20 мл (нижний метиленхлоридный слой отбрасывают), встряхивая делительную воронку каждый раз в течение 2 - 3 минут*.
___________
* В случае образования сравнительно стойких эмульсий для сокращения времени расслоения можно добавить в делительную воронку: на стадии промывки экстрактов гексаном и хлористым метиленом - небольшое количество (до 10 мл) этилового спирта, а на стадии переэкстракции - насыщенный раствор хлорида натрия (15 - 20 мл).
Водную фазу подкисляют 2М ортофосфорной кислотой до рН 3 и метсульфурон-метил экстрагируют хлористым метиленом трижды по 30 мл, встряхивая воронку каждый раз в течение 2 - 3 мин (верхний водный слой отбрасывают). Объединенную органическую фазу фильтруют через слой безводного сульфата натрия (2 г), осушитель промывают 10 - 15 мл хлористого метилена. Полученный раствор выпаривают досуха на роторном испарителе при температуре не выше 40 °С. Дальнейшую очистку экстракта проводят по пункту 2.6.4.
Сухой остаток в колбе, полученный при упаривании очищенных по п.п. 2.6.1 - 2.6.3 экстрактов масла и семян и соломки льна количественно переносят двумя 5-мл порциями смеси гексан-этилацетат (60:40, по объему) в кондиционированную хроматографическую колонку (п. 2.5.5). Промывают колонку 50 мл элюента № 1, которые отбрасывают. Метсульфурон-метил элюируют 90 мл этилацетата, собирая элюат в грушевидную колбу емкостью 250 мл. Раствор выпаривают досуха на вакуумном ротационном испарителе при температуре не выше 40 °С. Сухой остаток растворяют в 2 мл подвижной фазы для ВЭЖХ и 20 мкл раствора вводят в жидкостный хроматограф.
Жидкостный хроматограф «Альянс» фирмы Waters с УФ детектором (Waters 2487).
Рабочая длина волны 223 нм.
Предколонка Waters Symmetry С-18 для защиты аналитической колонки.
1. Колонка Symmetry С-18 (250×4,6) мм, 5 мкм (Waters, USA). Подвижная фаза: ацетонитрил - 0,005М раствор ортофосфорной кислоты в соотношении 35:65. Скорость потока 1 мл/мин. Время удерживания метсульфурон-метила 12,8 ± 0,2 мин.
2. Колонка Nova-Рас С-18 (150×3,9) мм, 4 мкм (Waters, USA).
Температура колонки комнатная (в отсутствие термостатирования).
Подвижная фаза: ацетонитрил - 0,005М раствор ортофосфорной кислоты в соотношении 28:72 (по объему). Скорость потока элюента: 1 мл/мин.
Время удерживания метсульфурон-метила 9,8 ± 0,3 мин.
Объем вводимой пробы 20 мкл.
Линейный диапазон детектирования 0,1 - 2,0 мкг/мл.
Количественное определение проводят методом абсолютной калибровки, содержание метсульфурон-метила в образце семян, масла или соломки льна (X, мг/кг) вычисляют по формуле:
|
|
S1 - площадь пика метсульфурон-метила в стандартном растворе, мм;
S2 - площадь пика метсульфурон-метила в анализируемой пробе, мм;
V - объем пробы, подготовленной для хроматографического анализа, мл;
Р - навеска анализируемого образца, г (для воды - объем, мл);
С - концентрация стандартного раствора метсульфурон-метила, мкг/мл.
Содержание остаточных количеств метсульфурон-метила в анализируемом образце вычисляют как среднее из 2-х параллельных определений.
Образцы, дающие пики большие, чем стандартный раствор метсульфурон-метила 2 мкг/мл, разбавляют неподвижной фазой для ВЭЖХ.
Оперативный контроль погрешности и воспроизводимости результатов измерений осуществляется в соответствии с ГОСТ ИСО 5725-106.2002 «Точность (правильность и прецизионность) методов и результатов измерений».
При проведении работы необходимо соблюдать требования инструкции «Основные правила безопасной работы в химической лаборатории», общепринятые правила безопасности при работе с органическими растворителями, токсичными веществами, а также инструкции по эксплуатации жидкостного хроматографа и электрооборудования до 400 В.
Цибульская И.А., Долженко В.И., Юзихин О.С. (ВНИИ защиты растений, Санкт-Петербург).