4.1. Методы контроля. Химические факторы
Методические указания МУК 4.1.1968-05
"Определение остаточных количеств имазетапира в воде, почве, семенах и
масле сои методом газожидкостной хроматографии"
(утв. Главным государственным санитарным врачом РФ 21 апреля 2005 г.)
Дата введения: 1 июля 2005 г.
Введены впервые
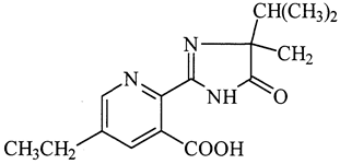
Действующее вещество: имазетапир.
Структурная формула:

(RS)-5-этил-2-(4-изопропил-4-метил-5-оксо-2-имидозолин-2-ил) никотиновая кислота (IUPAC).
Эмпирическая формула: C15H19N3O3.
Мол. масса: 289,3.
Химически чистый препарат - неокрашенные кристаллы.
Температура плавления: 169 - 173 °С. Vp < 0,013 mPa (60 °С).
Коэффициент распределения н-октанол/вода: KowlogP = 1,04 (рН 5), 1,49 (рН 7), 1,20 (рН 9).
Растворимость (25 °С): в воде 1,4 г/л, в ацетоне 48,2 г/л, дихлорметане 185 г/л, метаноле 105 г/л, диметилсульфоксиде 422 г/л, изопропаноле 17 г/л, гептане 0,9 г/л.
Разлагается при 180 °С, быстро деградирует на свету, DT50 3 дня.
В растениях быстро метаболизирует. В бобах сои период полураспада 1,6 дня.
В почве период полураспада DT50 1 - 3 месяца.
Препарат малотоксичен для теплокровных. Оральная токсичность (LD50) для крыс > 5000 мг/кг.
Гигиенические нормативы
ОДУ в воде водоемов 0,7 мг/дм3 (общ.), ОДК в почве 0,1 мг/кг, МДУ в семенах и масле сои 0,5 мг/кг.
Область применения
Системный гербицид против сорной растительности на посевах бобовых культур.
Определение имазетапира основано на извлечении гербицида подкисленной смесью ацетона и гексана, очистке экстракта путем перераспределения между несмешивающимися жидкими фазами и на колонке с силикагелем. Количественное определение имазетапира проводится методом газожидкостной хроматографии с использованием термоионного детектора.
Избирательность метода обеспечивается очисткой экстрактов анализируемых проб и сочетанием условий хроматографирования. Присутствие других пестицидов, близких по химическому строению и области применения, определению не мешает.
Метрологическая характеристика метода представлена в таблице.
Таблица
Метрологическая характеристика метода
|
Объект анализа |
Предел обнаружения, мг/кг |
Диапазон измеряемых концентраций, мг/кг |
Среднее значение определения, % (для каждого объекта n = 24) |
Стандартное отклонение S, % |
Доверительный интервал среднего, % n = 24, Р = 0,95 |
|
Вода |
0,25 |
0,25 - 2,0 |
82,25 |
5,65 |
5,10 |
|
Соя, семена |
0,25 |
0,25 - 2,0 |
79,7 |
6,45 |
5,15 |
|
Соя, масло |
0,25 |
0,25 - 2,0 |
75,98 |
7,65 |
5,20 |
|
Почва |
0,05 |
0,05 - 0,40 |
76,58 |
7,55 |
5,20 |
|
Имазетапир, аналитический стандарт с массовой долей основного вещества не менее 98 % |
|
|
Азот газообразный высокой чистоты |
ТУ 301-07-25 |
|
Ацетон, осч 9-5 |
ТУ 2633-039-4493179-00 |
|
или чда |
|
|
Вода дистиллированная |
ГОСТ 7602-76 |
|
н-Гексан, хч |
ТУ 6-09-3375-78 |
|
Натрия бикарбонат, хч |
|
|
Натрий сернокислый безводный, чда |
|
|
Натрия хлорид, хч |
|
|
Соляная кислота, хч |
ГОСТ 3118-78 |
|
Стекловата |
|
|
Силикагель 60 для хроматографии (0,040 - 0,063 мм), (Merck, Германия) |
|
|
Серная кислота ОСЧ 11-5 |
|
|
Хлороформ, хч, перегнанный |
|
|
Фильтры бумажные "синяя лента", диаметр 50 мм |
ТУ 6-09-1181-76 |
|
Фильтры бумажные "красная лента", диаметр 100 мм |
ТУ 2642-001-42624157-98 |
|
Универсальная индикаторная бумага |
ТУ 6-09-1181-76 |
|
Газовый хроматограф серии "Кристалл 2000М" с ТИД или аналогичный по своим техническим характеристикам |
|
|
Колонка кварцевая капиллярная длиной 20 м, внутренним диаметром 0,53 мм с неподвижной фазой НР-1 (толщина слоя 1,5 мкм) |
|
|
Весы аналитические ВЛА-200 или аналогичные |
ГОСТ 34104-80Е |
|
Весы технические ВЛКТ-500 |
ГОСТ 24104-80 |
|
Мельница лабораторная зерновая ЛМЗ |
ТУ 1-01-0593-79 |
|
Ванна ультразвуковая типа УЗВ-1/100 ТН |
ТУ 3444-003-26285789-97 |
|
Ротационный испаритель вакуумный ИР-1М или аналогичный |
ТУ 25-11-917-74 |
|
Микрошприц МШ-10, МШ-10М |
ТУ 2-833-106 |
|
Насос водоструйный |
МРТУ 42 861-64 |
|
Колбы плоскодонные на шлифах КШ500 29/32 ТС |
ГОСТ 10384-72 |
|
Колбы круглодонные на шлифах КШ50 29-32 ТС |
ГОСТ 10384-72 |
|
Воронки лабораторные В-75-110 |
ГОСТ 25-336-82 |
|
Воронки делительные на 250, 500 мл ВД-3-500 |
ГОСТ 8613-75 |
|
Цилиндры мерные на 100 см3 |
ГОСТ 1774-74 |
|
Колбы мерные на 100 см3 |
|
|
Пипетки на 1, 2, 5, 10 см3 |
ГОСТ 22292-74 |
|
Стаканы химические |
|
|
Колонка стеклянная хроматографическая длиной 30 см, диаметром 10 мм |
|
Отбор проб производится в соответствии с действующим ГОСТом. Для длительного хранения семена подсушивают при комнатной температуре в отсутствие света. Сухие образцы могут храниться в течение года. Перед анализом пробы семян доводят до стандартной влажности и измельчают. Масло хранят в холодильнике.
Перед началом работы рекомендуется проверить чистоту применяемых органических растворителей. Для этого 100 мл растворителя упаривают в ротационном вакуумном испарителе при температуре 40 °С до объема 1,0 мл и хроматографируют. При обнаружении мешающих определению примесей очистку растворителей производят в соответствии с общепринятыми методиками. Гексан и хлороформ встряхивают с небольшими порциями концентрированной серной кислоты до прекращения окрашивания свежей порции, затем промывают водой, после чего сушат над щелочью и перегоняют.
Перед началом анализа кварцевую капиллярную колонку, не присоединяя к детектору, кондиционируют в токе инертного газа (азот) при температуре термостата 280 °С в течение 6 - 8 ч.
Основной раствор имазетапира готовят, количественно перенося 100 мг аналитического стандарта имазетапира в мерную колбу на 100 мл, растворяют навеску в ацетоне. Из полученного раствора имазетапира с концентрацией 1 мг/мл готовят рабочие растворы с концентрациями 2,5; 5; 10; 20 мкг/мл последовательным разбавлением ацетоном. Растворы хранят в холодильнике 3 - 5 дней.
При определении полноты извлечения для внесения имазетапира в анализируемую матрицу используют градуировочные растворы в ацетоне - для воды и почвы или гексане (1 мл основного стандартного раствора разбавляют в мерной колбе на 100 мл гексаном и последующие растворы готовят последовательным разбавлением гексаном) - для семян и масла. В 100 мл воды и 10 мл масла вносят по 1 мл соответствующего градуировочного раствора и выдерживают в течение 2 часов, периодически тщательно перемешивая растворы. Затем ацетон отдувают струей инертного газа. Внесение имазетапира в твердые матрицы (семена и почву) осуществляют, добавляя по 10 - 50 мл соответствующих градуировочных растворов к навеске (10 г семян и 50 г почвы). Пробы подсушивают в тяге при периодическом тщательном перемешивании до полного испарения растворителя. Полученные образцы анализируют по п. 2.6.
Для построения градуировочного графика зависимости высоты (площади) пика от концентрации имазетапира в растворе в хроматограф вводят по 1 мкл градуировочных растворов (не менее 3 параллельных измерений для каждой концентрации, не менее 4 точек по диапазону измеряемых концентраций), измеряют высоты (площади) пиков и строят график зависимости среднего значения высоты, мм (площади, мВ × с) пика от концентрации имазетапира в градуировочном растворе (мкг/мл).
Силикагель прогревают в термостате при 120 °С в течение 3 часов и охлаждают до комнатной температуры. На дно стеклянной колонки помещают стекловату, слой 0,5 см безводного сульфата натрия и заполняют через воронку суспензией 5 г силикагеля в 25 мл гексана при открытом кране колонки, сверху вносят слой 1 см безводного сульфата натрия. Затем колонку промывают 10 мл гексана и закрывают кран, когда уровень растворителя достигнет верхнего края сорбента. Колонка готова к работе.
В подготовленную колонку пипеткой вносят 1 мл стандартного раствора имазетапира и дают впитаться. После этого в колонку вносят 5 мл смеси гексан-ацетон (3:2), элюат отбрасывают. Имазетапир элюируют 30 мл смеси гексан-ацетон (1:5), отбирая фракции по 5 мл, упаривают досуха, остаток растворяют в 1 мл ацетона и хроматографируют. Фракции, содержащие имазетапир, объединяют, упаривают досуха, остаток растворяют в 1 мл ацетона и хроматографируют. Рассчитывают содержание имазетапира в элюате, определяя его полноту извлечения из колонки и необходимый для этого объем элюента.
Примечание: профиль вымывания имазетапира может изменяться при использовании силикагеля новой партии или другой марки.
Установка и подготовка всех приборов и средств измерения проводится в соответствии с требованиями стандартов и технической документации.
2.6.1.1. Вода. В делительную воронку помещают 100 мл анализируемой воды, устанавливают рН 2, добавляя по каплям 0,5 М НСl. Затем в ту же делительную воронку вносят 30 мл хлороформа и встряхивают в течение 2 - 3 мин. После разделения слоев нижний хлороформенный слой отделяют, а к водной фазе добавляют 30 мл хлороформа и путем встряхивания перераспределяют имазетапир в органическую фазу. Процедуру повторяют трижды. Хлороформенные экстракты объединяют, сушат безводным сульфатом натрия и для анализа отбирают 1/10 часть суммарного хлороформного экстракта. Растворитель отгоняют на ротационном испарителе досуха. Сухой остаток растворяют в 1 мл ацетона и хроматографируют.
2.6.1.2. Семена сои. Навеску размолотых в лабораторной мельнице семян (10 г) помещают в коническую колбу объемом 250 мл и экстрагируют имазетапир 50 мл смеси 1 М НСl-ацетон (1:99) на ультразвуковой бане в течение 15 мин. Экстракт фильтруют на воронке Бюхнера, используя бумажный фильтр "синяя лента". Пробу на фильтре дважды по 50 мл промывают экстрагирующей смесью. Объединенный фильтрат переносят в делительную воронку, добавляют 50 мл дистиллированной воды и подкисляют до рН 2. В делительную воронку приливают 30 мл гексана, встряхивают делительную воронку в течение 2 мин и после полного разделения слоев, верхний гексановый слой отбрасывают. Промывку гексаном повторяют дважды порциями по 30 мл. К промытому гексаном водно-ацетоновому экстракту добавляют 30 мл хлороформа и экстрагируют имазетапир путем встряхивания в течение 2 мин. Экстракцию повторяют дважды порциями хлороформа по 25 мл. Хлороформенные экстракты объединяют, переносят в делительную воронку и приливают 25 мл 5 % раствора бикарбоната натрия. Переэкстрагируют имазетапир в щелочную среду, встряхивая воронку в течение 2 мин. Нижний хлороформенный слой отбрасывают и в бикарбонатный слой осторожно по каплям добавляют 1М серную кислоту. Делительную воронку на штативе в вытяжном шкафу осторожно покачивают в вертикальном положении, не закрывая горлышко притертой пробкой, до полной дегазации содержимого делительной воронки. Затем в делительную воронку добавляют 30 мл хлороформа и опять осторожно, приоткрывая периодически запорный кран, встряхивают в течение 2 - 5 мин. После разделения фаз хлороформенный слой фильтруют через бумажный фильтр "красная лента" с безводным сульфатом натрия, а к оставшемуся в делительной воронке бикарбонатному слою добавляют 30 мл хлороформа и повторяют процедуру еще 2 раза. Промывают осушитель и фильтр 20 мл хлороформа и объединяют с собранными хлороформенными экстрактами, выпаривают досуха на ротационном испарителе и растворяют остаток в 1 мл ацетона. При необходимости проводят очистку на колонке с силикагелем, по п. 2.6.2.
2.6.1.3. Масло сои. 10 г масла помещают в делительную воронку объемом 250 мл, добавляют 100 мл смеси 1М HCl-гексан-ацетон в соотношении 1:29:70 и перемешивают. Затем добавляют 50 мл дистиллированной воды и встряхивают воронку в течение двух минут. После разделения слоев гексановую фазу отбрасывают, а к водно-ацетоновой фазе приливают 15 мл гексана и встряхивают в делительной воронке в течение 2 мин. После разделения слоев гексановую фазу отбрасывают. Операцию повторяют дважды. К промытому гексаном водно-ацетоновому экстракту приливают 50 мл хлороформа и далее поступают, как в п. 2.6.1.2.
2.6.1.4. Почву сушат на воздухе, просеивают через сито (100 меш), берут навеску 50 г, помещают в коническую колбу на 250 мл и приливают 100 мл экстрагирующей смеси 1М НСl-ацетон (1:99). Колбу помещают в ультразвуковую ванну на 15 минут. После экстракции пробу фильтруют через воронку Бюхнера, используя бумажный фильтр "синяя лента". Промывают пробу на фильтре экстрагирующей смесью дважды по 100 мл. Фильтраты объединяют, перенося в делительную воронку на 1000 мл, и прибавляют 50 мл гексана. Воронку встряхивают в течение 2 мин, собирают водно-ацетоновый слой, а гексановый слой отбрасывают. Операцию промывки повторяют дважды, добавляя по 50 мл гексана. Водно-ацетоновые слои объединяют, для анализа отбирают 1/5 часть водно-ацетонового экстракта, переносят ее в делительную воронку, приливают 30 мл хлороформа и далее поступают, как в п. 2.6.1.2.
Растворенный в 1 - 2 мл ацетона сухой остаток пипеткой количественно переносят в хроматографическую колонку, колбочку ополаскивают еще 1 - 2 мл ацетона и вносят в колонку, после чего открывают кран и дают раствору впитаться в сорбент. Затем в колонку вносят 5 мл смеси гексан-ацетон в соотношении 3:2, элюат отбрасывают. Имазетапир элюируют 30 мл смеси гексан-ацетон в соотношении 1:5, элюат собирают и упаривают досуха. Сухой остаток растворяют в 1 мл ацетона и хроматографируют.
Газовый хроматограф "Кристалл 2000М" с ТИД. Колонка кварцевая капиллярная длиной 20 м, внутренним диаметром 0,53 мм с неподвижной фазой НР-1 (толщина слоя 1,5 мкм).
Температура термостата колонки программируется от 140 °С (30 с) до 200 °С со скоростью 10 °С/мин, от 200 °С (10 с) до 230 °С со скоростью 20 °С/мин.
Температура термостатов испарителя 280 °С, детектора 370 °С.
Скорость газа-носителя 1 (азот) через колонку 5 см3/мин, газа-носителя 3 (азот) 5 см3/мин.
Сброс газа-носителя 2 (азот) закрыт в течение 30 с, далее расход 15 см3/мин.
Расход водорода 12,8 см3/мин. Расход воздуха 220 см3/мин.
Объем вводимой пробы 1 мкл. Время удерживания имазетапира 10 мин 20 с.
Количественное определение проводят методом абсолютной калибровки, содержание в пробе (X, мг/кг) вычисляют по формуле:
![]()
где
Н1 - высота (площадь) пика имазетапира в стандартном растворе, мм;
Н2 - высота (площадь) пика имазетапира в анализируемой пробе, мм;
V - объем экстракта, подготовленного для хроматографирования, мл;
Р - навеска анализируемого образца, г;
С - концентрация имазетапира в стандартном растворе, мкг/мл;
R - коэффициент извлечения имазетапира из матрицы (для масла 0,76).
Содержание остаточных количеств имазетапира в анализируемом образце вычисляют как среднее из 2 параллельных определений.
При проведении работы необходимо соблюдать требования инструкции "Основные правила безопасной работы в химической лаборатории", общепринятые правила безопасности при работе с органическими растворителями, токсичными веществами, а также инструкции по эксплуатации газового хроматографа и электрооборудования до 400 В.
Оперативный контроль погрешности и воспроизводимости результатов измерений осуществляется в соответствии с ГОСТ ИСО 5725-1-6.2002 "Точность (правильность и прецезионность) методов и результатов измерений".
Долженко В.И., Цибульская И.А., Карпова Л.М.
Всероссийский научно-исследовательский институт защиты растений, Санкт-Петербург.
|
Руководитель
Федеральной службы |
Г.Г. Онищенко |