Государственное санитарно-эпидемиологическое нормирование
Российской Федерации
4.1. МЕТОДЫ КОНТРОЛЯ. ХИМИЧЕСКИЕ ФАКТОРЫ
Измерение концентраций химических
веществ в воздухе рабочей зоны, смывах и
атмосферном воздухе
Сборник методических указаний
МУК
4.1.2290-07, МУК 4.1.2295-07
МУК
4.1.2296-07, МУК
4.1.2298-07
МУК
4.1.2346-08
Москва 2009
1. Сборник подготовлен Федеральным научным центром гигиены им. Ф.Ф. Эрисмана (академик РАМН, проф. В.Н. Ракитский, проф. Т.В. Юдина); при участии специалистов Федеральной службы по надзору в сфере защиты прав потребителей и благополучия человека. Разработчики методов указаны в каждом из них.
2. Рекомендованы к утверждению Комиссией по государственному санитарно-эпидемиологическому нормированию при Федеральной службе по надзору в сфере защиты прав потребителей и благополучия человека.
3. Утверждены Руководителем Федеральной службы по надзору в сфере защиты прав потребителей и благополучия человека, Главным государственным санитарным врачом Российской Федерации Г.Г. Онищенко.
4. Введены впервые.
|
|
УТВЕРЖДАЮ Руководитель
Федеральной службы Г.Г. Онищенко 10 октября 2007 г. Дата введения: 28 декабря 2007 г. |
4.1. МЕТОДЫ КОНТРОЛЯ. ХИМИЧЕСКИЕ ФАКТОРЫ
Измерение концентраций этилфенацина в воздухе
рабочей зоны, смывах с кожных покровов операторов и
атмосферном воздухе населенных мест методом
высокоэффективной жидкостной хроматографии
Методические указания
МУК 4.1.2295-07
Настоящие методические указания устанавливают метод высокоэффективной жидкостной хроматографии для определения в воздухе рабочей зоны, смывах с кожных покровов операторов и атмосферном воздухе массовой концентрации этилфенацина в диапазонах соответственно 0,005 - 0,1 мг/м3, 0,05 - 1,0 мкг/смыв и 0,00016 - 0,0032 мг/м3.
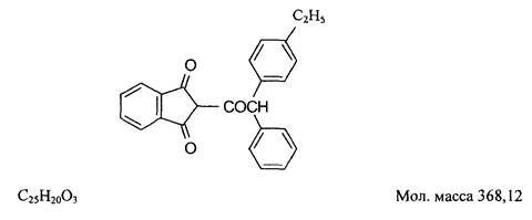
2-(а-фенил-α-(4-этилфенил)-ацетил)-индан-1,3-дион (IUPAC)

Твердое вещество светло-желтого цвета с цветочным запахом. Температура плавления 180 - 181 °С. Давление паров при 25 °С - 6,4∙10-5 мПа. Хорошо растворим в большинстве органических растворителей (ацетоне, этаноле, диэтиловом эфире и др.). Практически не растворим в воде - 1,29∙10-3 мг/дм3.
Агрегатное состояние в воздушной среде - аэрозоль и пары.
Острая пероральная токсичность (LD50) для крыс - более 1 мг/кг.
Область применения
Этилфенацин - ротентицид класса индандионов, обладающий антикоагулянтной активностью, рекомендуется для борьбы с грызунами в открытом грунте (осень, зима, весна) на зимующих культурах (зерновые, пастбищные травы, древесные, кустарниковые насаждения и др.), в защищенном грунте на всех культурах независимо от сезона. Применяется в виде приманки.
ПДК этилфенацина в воздухе рабочей зоны - 0,01 мг/м3, атмосферном воздухе населенных мест - 0,0002 мг/м3.
Методика обеспечивает выполнение измерений с погрешностью, не превышающей + 25 %, при доверительной вероятности 0,95.
Измерения концентраций этилфенацина выполняют методом высокоэффективной жидкостной хроматографии (ВЭЖХ) на обращенной фазе с ультрафиолетовым детектором.
Концентрирование этилфенацина из воздуха рабочей зоны осуществляют на бумажный фильтр «синяя лента», атмосферного воздуха - на последовательно соединенные фильтр «синяя лента» и фильтр из пенополиуретана, для экстракции вещества с фильтров используют этиловый спирт.
Смыв с кожных покровов проводят этиловым спиртом.
Нижний предел измерения в анализируемом объеме пробы - 1 нг. Средняя полнота извлечения с фильтров - 90,2 %, с поверхности кожи - 88 %.
|
Жидкостной хроматограф с ультрафиолетовым детектором с переменной длиной волны (фирмы «Perkin-Elmer», США) |
Номер в государственном реестре средств измерений 15945-97 |
|
Барометр-анероид М-67 |
ТУ 2504-1797-75 |
|
Весы аналитические ВЛА-200 |
|
|
Колбы мерные 2-50-2, 2-100-2 и 2-1000-2 |
|
|
Меры массы |
|
|
Пипетки градуированные 2-го класса точности вместимостью 1,0, 2,0, 5,0, 10 см3 |
|
|
Пробирки градуированные вместимостью 5 или 10 см3 |
|
|
Пробоотборное устройство ОП-442ТЦ (ЗАО «ОПТЭК», г. Санкт-Петербург) |
Номер в Государственном реестре средств измерений 18860-05 |
|
Термометр лабораторный шкальный ТЛ-2, цена деления 1 °С, пределы измерения 0 - 55 °С |
ТУ 215-73Е |
|
Цилиндры мерные 2-го класса точности вместимостью 10, 50, 100 и 1000 см3 |
Допускается использование средств измерения с аналогичными или лучшими характеристиками.
|
Этилфенацин, аналитический стандарт с содержанием основного вещества (сумма изомеров) 97,9 %, в том числе пара-изомер - 61,48 %, ортоизомер - 36,42 % (ЗАО «Щелково Агрохим») |
|
|
Ацетонитрил для хроматографии, хч |
ТУ-6-09-4326-76 |
|
Вода бидистиллированная, деионизованная или перегнанная над КМnО4 |
|
|
Кислота орто-фосфорная, хч, 85 % |
|
|
Этиловый спирт (этанол) ректификованный |
Допускается использование реактивов иных производителей с аналогичной или более высокой квалификацией.
|
Баня ультразвуковая |
|
|
Бумажные фильтры «синяя лента», обеззоленные |
ТУ 6-09-2678-77 |
|
Воронка Бюхнера |
|
|
Воронки конусные диаметром 40 - 45 мм |
|
|
Груша резиновая |
|
|
Колба Бунзена |
|
|
Колбы круглодонные на шлифе вместимостью 100 см3 |
|
|
Ломтерезка механическая бытовая |
|
|
Мембранные фильтры капроновые, диаметром 47 мм |
|
|
Насос водоструйный |
ГОСТ 10696 |
|
Пенополиуретан ППУ ПЕНОР-301 |
ТУ 2254-018-329-57768-2002 |
|
Пробирки центрифужные |
|
|
Ротационный вакуумный испаритель В-169 фирмы Buchi, Швейцария |
ТУ 25-11-917-74 |
|
Стаканы химические низкие с носиком, вместимостью 150 см3 |
|
|
Стекловата |
|
|
Стеклянные емкости вместимостью 100 см3 с герметичной металлической крышкой |
|
|
Стеклянные палочки |
|
|
Установка для перегонки растворителей |
|
|
Набор для фильтрации растворителей через мембрану |
|
|
Фильтродержатель |
|
|
Хроматографическая колонка стальная, длиной 250 мм, внутренним диаметром 4,0 мм, содержащая Кромасил 100 С18, зернением 5 мкм |
|
|
Шприц для ввода образцов для жидкостного хроматографа вместимостью 50 - 100 мм3 |
|
Допускается применение хроматографических колонок и другого оборудования с аналогичными или лучшими техническими характеристиками.
4.1. При выполнении измерений необходимо соблюдать требования техники безопасности при работе с химическими реактивами по ГОСТ 12.1.007, требования электробезопасности при работе с электроустановками по ГОСТ 12.1.019, а также требования, изложенные в технической документации на жидкостной хроматограф.
4.2. Помещение должно соответствовать требованиям пожаробезопасности по ГОСТ 12.1.004 и иметь средства пожаротушения по ГОСТ 12.4.009. Содержание вредных веществ в воздухе не должно превышать норм, установленных ГН 2.2.5.1313-03 «Предельно допустимые концентрации (ПДК) вредных веществ в воздухе рабочей зоны». Организация обучения работников безопасности труда - по ГОСТ 12.0.004.
К выполнению измерений допускают специалистов, имеющих квалификацию не ниже лаборанта-исследователя, с опытом работы на жидкостном хроматографе.
К проведению пробоподготовки допускают оператора с квалификацией «лаборант», имеющего опыт работы в химической лаборатории.
При выполнении измерений соблюдают следующие условия:
• процессы приготовления растворов и подготовки проб к анализу проводят при температуре воздуха (20 ± 5) °С и относительной влажности не более 80 %.
• выполнение измерений на жидкостном хроматографе проводят в условиях, рекомендованных технической документацией к прибору.
Выполнению измерений предшествуют следующие операции: очистка ацетонитрила (при необходимости), подготовка подвижной фазы для ВЭЖХ, кондиционирование хроматографической колонки, приготовление растворов для градуировки и внесения, установление градуировочной характеристики, подготовка фильтров и салфеток для отбора проб, отбор проб.
Ацетонитрил кипятят с обратным холодильником над пентоксидом фосфора не менее 1 ч, после чего перегоняют, непосредственно перед употреблением ацетонитрил повторно перегоняют над прокаленным карбонатом калия.
В мерную колбу вместимостью 1000 см3 помещают 900 см3 ацетонитрила, 100 см3 бидистиллированной или деионизованной воды и 1 см3 ортофосфорной кислоты, перемешивают, фильтруют и дегазируют.
Промывают колонку подвижной фазой (приготовленной по п. 7.2) при скорости подачи растворителя 1,0 см3/мин до установления стабильной базовой линии.
7.4.1. Исходный раствор этилфенацина для градуировки (концентрация 100 мкг/см3). В мерную колбу вместимостью 100 см3 вносят 0,0100 г этилфенацина, добавляют 50 - 70 см3 ацетонитрила, перемешивают, доводят ацетонитрилом до метки, вновь перемешивают. Раствор хранится в холодильнике в течение месяца.
Растворы № 1 - 5 готовят объемным методом путем последовательного разбавления исходного раствора д ля градуировки.
7.4.2. Раствор № 1 этилфенацина для градуировки и внесения (концентрация 10 мкг/см3). В мерную колбу вместимостью 100 см3 помещают 10 см3 исходного раствора этилфенацина с концентрацией 100 мкг/см3 (п. 7.4.1), разбавляют ацетонитрилом до метки, перемешивают. Раствор хранится в холодильнике в течение месяца.
Этот раствор используют для приготовления проб с внесением при оценке полноты извлечения действующего вещества методом «внесено-найдено».
7.4.3. Рабочие растворы № 2 - 6 этилфенацина для градуировки (концентрация 0,05 - 1,0 мкг/см3). В 5 мерных колб вместимостью 100 см3 помещают по 0,5, 1,0, 2,5, 5,0 и 10,0 см3 градуировочного раствора № 1 с концентрацией 10 мкг/см3 (п. 7.4.2), доводят до метки подвижной фазой, приготовленной по п. 7.2, тщательно перемешивают, получают рабочие растворы №№ 2 - 6 с концентрацией этилфенацина 0,05, 0,1, 0,25, 0,5 и 1,0 мкг/см3, соответственно.
Растворы хранятся в холодильнике в течение недели.
Градуировочную характеристику, выражающую линейную (с угловым коэффициентом) зависимость суммы площадей 2-х пиков орто- и пара- изомеров этилфенацина (отн. ед.) от концентрации вещества в растворе (мкг/см3), устанавливают методом абсолютной калибровки по 5-ти растворам для градуировки №№ 2 - 6.
В инжектор хроматографа вводят по 20 мм3 каждого градуировочного раствора и анализируют в условиях хроматографирования по п. 7.5.1. Осуществляют не менее 3-х параллельных измерений. Устанавливают площади пиков изомеров действующего вещества, рассчитывают сумму площадей орто- и параизомеров этилфенацина.
Градуировочный график проверяют ежедневно по анализу 2-х растворов для градуировки различной концентрации. Если значения площадей отличаются более чем на 12 % от данных, заложенных в градуировочную характеристику, ее строят заново, используя свежеприготовленные рабочие растворы для градуировки.
7.5.1. Условия хроматографирования
Измерения выполняют при следующих режимных параметрах:
Жидкостной хроматограф «Perkin-Elmer» с ультрафиолетовым детектором (США)
Хроматографическая колонка стальная, длиной 250 мм, внутренним диаметром 4,0 мм, содержащая Кромасил 100 С18, зернением 5 мкм
Температура колонки: комнатная
Подвижная фаза: ацетонитрил-вода-орто-фосфорная кислота (90:10:1, по объему)
Скорость потока элюента: 1,0 см3/мин
Рабочая длина волны: 312 нм
Чувствительность: 0,001 ед. абсорбции на шкалу
Объем вводимой пробы: 20 мм3
Ориентировочное время выхода этилфенацина:
орто-изомер: 5,5 - 5,7 мин
пара-изомер: 6,3 - 6,6 мин
Линейный диапазон детектирования: 1 - 10 нг.
Из пенополиуретана с помощью автоматической ломтерезки нарезают фильтры толщиной 2 - 2,5 мм, диаметром 48 - 50 мм, соответствующим внутреннему диаметру фильтродержателя. Диаметр бумажного фильтра «синяя лента» также должен соответствовать внутреннему диаметру фильтродержателя.
Фильтры из пенополиуретана и бумаги последовательно по 3 раза промывают на воронке Бюхнера этанолом, ацетоном, затем ацетонитрилом порциями 25 - 30 см3, сушат с помощью разряжения, создаваемого водоструйным насосом, затем на воздухе при комнатной температуре. До использования фильтры хранят в герметично закрытой стеклянной таре.
Вырезают салфетки (лоскуты) из белой бязи размером 10×10 см, последовательно обрабатывают их 5 %-ым раствором углекислого натрия (при кипячении), водой до нейтральной реакции промывных вод, 2-х кратно промывают этиловым спиртом, сушат на воздухе при комнатной температуре. До использования салфетки хранят в герметично закрытой стеклянной таре.
Отбор проб проводят в соответствии с требованиями ГОСТ 12.1.005-88 «ССБТ. Общие санитарно-гигиенические требования к воздуху рабочей зоны». Воздух с объемным расходом 5 дм3/мин аспирируют через бумажный фильтр «синяя лента», помещенный в фильтродержатель.
Для измерения концентрации этилфенацина на уровне 0,5 ОБУВ для воздуха рабочей зоны необходимо отобрать 10 дм3 воздуха. Срок хранения отобранных проб, помещенных в полиэтиленовые пакеты, в морозильной камере при температуре -18 °С - 30 дней.
Отбор проб проводят в соответствии с требованиями ГОСТ 17.2.4.02-81 «ОПА. Общие требования к методам определения загрязняющих веществ в воздухе населенных мест».
В течение 26 мин отбирают 2-е параллельные пробы, для чего воздух аспирируют с объемным расходом 6 дм3/мин через 2 установленных параллельно фильтродержателя (аллонжа), в каждый из которых помещены последовательно соединенные бумажный фильтр «синяя лента» и фильтр из пенополиуретана.
Для измерения концентрации этилфенацина на уровне 0,8 ОБУВ для атмосферного воздуха необходимо отобрать 312,5 дм3 воздуха (две параллельные пробы по 156,25 дм3 воздуха). Срок хранения отобранных проб, помещенных в полиэтиленовые пакеты, в морозильной камере при температуре -18 °С - 30 дней.
Смывы проводят в конце работы или после выполнения отдельных операций с открытых и закрытых спецодеждой или другими СИЗ участков тела (лоб, лицо, шея, спина, грудь, предплечье, голень, кисти рук, включая межпальцевые промежутки).
До работы выбирают участок кожи, обрабатывают его с целью удаления загрязнений, фиксируют площадь (не менее 200 см2). При необходимости отбирают фоновые смывы.
Смыв проводят способом обмыва фиксированного участка кожи этиловым спиртом, помещая 20 см3 в стеклянную емкость с металлической крышкой. Тканевой салфеткой, смоченной растворителем, с помощью пинцета (индивидуально) обмывают кожный покров сверху вниз. Операцию повторяют дважды.
Срок хранения отобранных проб смывов, помещенных в герметично закрытые емкости, в морозильной камере при температуре -18 °С - 30 дней.
Экспонированный фильтр переносят в химический стакан вместимостью 150 см3, заливают 15 см3 этанола, помещают на ультразвуковую баню на 1 мин. Растворитель сливают, фильтр обрабатывают новыми порциями этанола объемом 10 см3 еще дважды, выдерживая на ультразвуковой бане последовательно 1 мин, затем 30 сек.
Объединенный экстракт упаривают в грушевидной колбе на ротационном вакуумном испарителе при температуре бани не выше 40 °С почти досуха, оставшийся растворитель отдувают потоком теплого воздуха. Остаток растворяют в 1 см3 подвижной фазы (подготовленной по п. 7.2) и анализируют при условиях хроматографирования, указанных в п. 7.5.1.
Две параллельно отобранные пробы воздуха объединяют, экспонированные фильтры («синяя лента» и пенополиуретан) переносят в химический стакан вместимостью 150 см3, заливают 30 см3 этанола, помещают на ультразвуковую баню на 1 мин. Растворитель сливают, фильтры обрабатывают новыми порциями этанола объемом 20 см3 еще дважды, выдерживая на ультразвуковой бане последовательно 1 мин, затем 30 сек.
Объединенный экстракт упаривают в грушевидной колбе на ротационном вакуумном испарителе при температуре бани не выше 40 °С почти досуха, оставшийся растворитель отдувают потоком теплого воздуха. Остаток растворяют в 1 см подвижной фазы (подготовленной по п. 7.2) и анализируют при условиях хроматографирования, указанных в п. 7.5.1.
Пробу смыва сливают (через воронку) в колбу для упаривания, с помощью пинцета извлекают салфетку, помещают в конусную химическую воронку, установленную в муфту колбы для упаривания, тщательно отжимают и промывают этиловым спиртом дважды порциями по 10 см3, предварительно ополаскивая растворителем емкость, в которой находилась проба.
Объединенный раствор упаривают в грушевидной колбе на ротационном вакуумном испарителе при температуре бани не выше 40 °С почти досуха, оставшийся растворитель отдувают потоком теплого воздуха. Остаток растворяют в 1 см3 подвижной фазы (подготовленной по п. 7.2) и анализируют при условиях хроматографирования, указанных в п. 7.5.1.
Пробу вводят в испаритель хроматографа не менее двух раз. Устанавливают площади пиков изомеров действующего вещества, суммируют их, с помощью градуировочного графика определяют концентрацию этилфенацина в хроматографируемом растворе.
Образцы, дающие пики, большие, чем градуировочный раствор с концентрацией 1,0 мкг/см3, разбавляют подвижной фазой (не более чем в 50 раз).
Перед анализом опытных образцов проводят хроматографирование холостых (контрольных) проб - экстрактов неэкспонированных фильтров и салфетки.
Массовую концентрацию этилфенацина в пробе воздуха X, мг/м3, рассчитывают по формуле:
Х = С∙W/Vt, где
С - концентрация этилфенацина в хроматографируемом растворе, найденная по градуировочному графику в соответствии с величиной суммы площадей хроматографических пиков изомеров, мкг/см3,
W - объем экстракта, подготовленного для хроматографирования, см3;
Vt - объем пробы воздуха, отобранный для анализа, приведенный к стандартным (давление 760 мм рт. ст., температура 20 °С) при исследовании воздуха рабочей зоны или нормальным условиям (давление 760 мм рт. ст., температура 0 °С) при исследовании атмосферного воздуха, дм3.
Vt = R∙Р∙ut/(273 + T), где
Т - температура воздуха при отборе пробы (на входе в аспиратор),°С,
Р - атмосферное давление при отборе пробы, мм рт. ст.,
u - расход воздуха при отборе пробы, дм3/мин,
t - длительность отбора пробы, мин.,
R - коэффициент, равный 0,386 для воздуха рабочей зоны и 0,357 для атмосферного воздуха.
За результат анализа (
)
принимается среднее арифметическое результатов двух параллельных определений X1
и Х2 (
= (X1
+ Х2)/2), расхождение между которыми не превышает значений
норматива оперативного контроля сходимости (d):
|X1 - X2| ≤ d.
d
= dотн∙
/100,
мг/м3,
где d - норматив оперативного контроля сходимости, мг/м3;
dотн - норматив оперативного контроля сходимости, % (равен 18 %).
Массовую концентрацию этилфенацина в пробе смыва X, мкг/смыв, рассчитывают по формуле:
X = C W, где
С - концентрация этилфенацина в хроматографируемом растворе, найденная по градуировочному графику в соответствии с величиной суммы площадей хроматографических пиков изомеров, мкг/см3;
W - объем экстракта, подготовленного для хроматографирования, см3;
Примечание: Идентификация и расчет концентрации этилфенацина в пробах могут быть проведены с помощью компьютерной программы обработки хроматографических данных, включенной в аналитическую систему.
Результат количественного анализа представляют в виде:
результат анализа
в
мг/м3 или мкг/смыв (с указанием площади смыва в см2),
характеристика погрешности δ, % (±25 %), Р = 0,95 или
± Δ
мг/м3 (мкг/смыв, площадь смыва, см2), Р = 0,95,
где Δ - абсолютная погрешность.
![]()
Результат измерений должен иметь тот же десятичный разряд, что и погрешность.
Если содержание вещества менее нижней границы диапазона определяемых концентраций, результат анализа представляют в виде:
«содержание этилфенацина в пробе воздуха рабочей зоны - менее 0,005 мг/м3; атмосферного воздуха - менее 0,00016 мг/м3; смыва - менее 0,05 мкг/смыв»*
* - 0,005 мг/м3; 0,00016 мг/м3; 0,05 мкг/смыв - пределы обнаружения при отборе 10 дм3 воздуха рабочей зоны; 312,5 дм3 атмосферного воздуха; в пробе смыва (фиксированная площадь смыва, см2), соответственно.
Оперативный контроль погрешности и воспроизводимости измерений осуществляется в соответствии с ГОСТ ИСО 5725-1-6.2002 «Точность (правильность и прецизионность) методов и результатов измерений».
Т.В. Юдина, Н.Е. Федорова, В.Н. Волкова (ФГУН «Федеральный научный центр гигиены им. Ф.Ф. Эрисмана Роспотребнадзора»).
СОДЕРЖАНИЕ