|
Государственная
комиссия по радиочастотам |
НОРМЫ 17-08
РАДИОПЕРЕДАТЧИКИ ВСЕХ КАТЕГОРИЙ
ГРАЖДАНСКОГО
ПРИМЕНЕНИЯ. ТРЕБОВАНИЯ НА ДОПУСТИМЫЕ ОТКЛОНЕНИЯ
ЧАСТОТЫ. МЕТОДЫ ИЗМЕРЕНИЙ И КОНТРОЛЯ.
Москва, 2008
Государственная комиссия по радиочастотам РЕШАЕТ:
1. Утвердить и ввести в действие на всей территории Российской Федерации с 1 марта 2008 года «Нормы 17-08. Радиопередатчики всех категорий гражданского применения. Требования на допустимые отклонения частоты. Методы измерений и контроля» для вновь разрабатываемых и вводимых в эксплуатацию радиопередающих устройств.
2. Для радиопередающих устройств, введенных в эксплуатацию до 1 марта 2008 года, действуют до 31 декабря 2012 года включительно требования на стабильность частоты радиопередатчиков всех категорий и назначений, установленные Нормами 17-99 «Радиопередатчики всех категорий и назначений. Требования на допустимые отклонения частоты. Методы измерений и контроля».
3. Признать Нормы 17-99 «Радиопередатчики всех категорий и назначений. Требования на допустимые отклонения частоты. Методы измерений и контроля», утвержденные решением ГКРЧ от 29 марта 1999 года, утратившими силу с 1 января 2013 года.
СОДЕРЖАНИЕ
1.1 Настоящие нормы устанавливают требования на допустимые отклонения частоты радиопередатчиков всех категорий гражданского применения.
1.2 Нормы распространяются на все действующие, закупаемые за рубежом, выпускаемые, устанавливаемые и вновь разрабатываемые (модернизируемые) радиопередатчики.
1.3 Нормы являются обязательными для всех юридических и физических лиц на территории Российской Федерации, занимающихся разработкой, изготовлением, эксплуатацией (применением) и ввозом из-за границы на территорию Российской Федерации радиопередатчиков всех категорий гражданского применения.
1.4 По техническим или эксплуатационным соображениям к радиопередатчикам некоторых служб могут быть применены более жёсткие требования на допустимые отклонения частоты. Применение более жёстких требований решается по согласованию между заказчиком и разработчиком РЭС.
1.5 Контроль нормируемых допустимых отклонений частоты радиопередатчиков осуществляется:
а) при испытаниях на этапах разработки и изготовления;
б) федеральным органом исполнительной власти по надзору в области связи при проведений мероприятий по контролю, а также предприятиями радиочастотной службы при проведений мероприятий по радиоконтролю на этапе эксплуатации РЭС;
в) предприятиями радиочастотной службы в случае возникновения радиопомех на этапе эксплуатации РЭС.
В настоящих нормах использованы положения документов [1] - [9] и ссылки на следующие стандарты:
ГОСТ 23611-79 Совместимость радиоэлектронных средств электромагнитная. Термины и определения.
ГОСТ 24375-80 Радиосвязь. Термины и определения.
В настоящих нормах применены термины и определения, установленные в ГОСТ 23611-79 и ГОСТ 24375-80, а также следующие:
3.1 Радиослужба: служба, которая осуществляет передачу, излучение и/или приём радиоизлучения для определённых целей электросвязи.
3.2 Радиовещательная станция: станция радиовещательной службы.
3.3 Стационарная станция воздушной подвижной службы: сухопутная станция воздушной подвижной службы.
В некоторых случаях стационарная станция воздушной подвижной службы может устанавливаться, например, на борту морского судна или на морской платформе.
3.4 Станция воздушного судна: подвижная станция воздушной подвижной службы, отличная от станции спасательного средства, установленная на борту воздушного судна.
3.5 Станция спасательного средства: подвижная станция морской подвижной службы или воздушной подвижной службы, предназначенная исключительно для спасательных целей и установленная на спасательной лодке, спасательном плоту или другом спасательном средстве.
3.6 Судовой аварийный передатчик: судовой передатчик, используемый исключительно на частоте сигнала бедствия для нужд, связанных с бедствием, срочностью или безопасностью.
3.7 Станция радиомаяка - указателя места бедствия: станция подвижной службы, излучения которой предназначены для обеспечения операций по поиску и спасанию.
3.8 Станция радиоопределения: станция службы радиоопределения.
3.9 Фиксированная станция: станция фиксированной службы.
3.10 Допустимое отклонение частоты: максимальное допускаемое отклонение средней частоты полосы частот излучения от присвоенной частоты или характерной частоты излучения от относительной частоты.
3.11 Относительная частота: частота, занимающая по отношению к присвоенной частоте фиксированное и определенное положение. Отклонение этой частоты по отношению к присвоенной частоте имеет ту же абсолютную величину и знак, что и отклонение характерной частоты по отношению к середине полосы частот, занимаемой излучением.
3.12 Характерная частота: частота, которую можно легко опознать и измерить в данном излучении.
3.13 Присвоенная частота: средняя частота полосы частот, присвоенной станции.
3.14 Присвоенная полоса частот: полоса частот, в пределах которой разрешено излучение станции; ширина этой полосы частот равна необходимой ширине полосы частот плюс удвоенная абсолютная величина допустимого отклонения частоты. Для космических станций присвоенная полоса частот включает удвоенную максимальную величину допплеровского сдвига частоты, который может наблюдаться по отношению к любой точке земной поверхности.
4.1 Обозначения
N - норма допустимого относительного отклонения частоты радиопередатчика, выраженная в миллионных долях относительно присвоенной частоты;
Naбc - норма допустимого абсолютного отклонения частоты радиопередатчика от присвоенной частоты, выраженная в герцах;
Вн - необходимая ширина полосы частот;
Вк - контрольная ширина полосы частот (на уровне минус 30 дБ относительно максимального уровня сигнала);
Вп - ширина присвоенной полосы частот;
fп - присвоенная частота радиопередатчика;
fн - измеренная рабочая частота;
fиi - значение рабочей частоты, полученное при i-м измерении;
fоп - опорная частота (от стандарта частоты);
Dfi - отклонение частоты радиопередатчика в герцах от присвоенной частоты при i-м измерении;
Dfср - среднее арифметическое значение абсолютных величин отклонений частоты радиопередатчика от присвоенной частоты, рассчитанное по результатам n измерений.
4.2 Сокращения
РР - Регламент радиосвязи
РЭС - Радиоэлектронное средство
РЛС - Радиолокационная станция (станции)
БС - Базовая станция (станции)
КСВН - Коэффициент стоячей волны по напряжению
НШПЧ - Необходимая ширина полосы частот
5.1 Допустимые отклонения частоты радиопередатчиков всех категорий гражданского применения не должны превышать значений, приведённых в таблице 1.
5.2 Допустимые отклонения частоты радиопередатчиков
выражаются в миллионных долях относительно присвоенной частоты,
или в значениях
абсолютного отклонения частоты в герцах от присвоенной частоты,
где N и Naбc указаны в
таблице 1.
5.3 Если нет другого указания, то мощность для различных категорий станций представляет собой пиковую мощность (огибающей) для однополосных передатчиков и среднюю мощность для всех других передатчиков.
|
Полоса частот (исключая нижний и включая верхний пределы) и категория станции |
Допустимые отклонения частоты: N´10-6; Nабс, Гц |
|
|
N |
Na6c |
|
|
Полоса: 9 - 535 кГц |
||
|
1. Фиксированные станции |
10 |
|
|
2. Сухопутные станции |
||
|
2.1 Стационарные станции воздушной подвижной службы |
50 |
|
|
2.2 Береговые станции |
1001) |
|
|
3. Подвижные станции: |
||
|
3.1 Судовые станции |
2002) |
|
|
3.2 Судовые аварийные передатчики (станции) |
5003) |
|
|
3.3 Станции спасательных средств |
500 |
|
|
3.4 Станции воздушных судов |
100 |
|
|
4. Станции радиоопределения |
100 |
|
|
5. Радиовещательные станции |
1013) |
|
|
Радиовещательные станции, работающие в режиме синхронизации частоты |
0,01 |
|
|
Полоса: 535 - 1606,5 кГц |
||
|
1. Радиовещательные станции |
1013) |
|
|
Радиовещательные станции, работающие в режиме синхронизации частоты |
0,01 |
|
|
2. Станции радиоопределения |
100 |
|
|
Полоса: 1606,5 - 4000 кГц |
||
|
1. Фиксированные станции: |
||
|
- мощностью 200 Вт и менее |
100 |
|
|
- мощностью более 200 Вт |
50 |
|
|
1.1 Излучения на одной боковой полосе (радиотелефония) |
204) |
|
|
1.2 Излучения частотной манипуляции любой мощности |
10 |
|
|
2. Сухопутные станции |
||
|
2.1 Базовые станции (кроме 2.2) |
||
|
- мощностью 200 Вт и менее |
1001), 5), 6) |
|
|
- мощностью более 200 Вт |
501), 5), 6) |
|
|
2.2 Излучения на одной боковой полосе (радиотелефония) |
204) |
|
|
3. Подвижные станции: |
||
|
3.1 Судовые станции |
40 |
|
|
- с излучением класса А1А |
50 |
|
|
3.2 Станции спасательных средств |
100 |
|
|
3.3 Радиомаяки - указатели места бедствия |
100 |
|
|
3.4 Станции воздушных судов |
20 |
|
|
3.5 Сухопутные подвижные станции |
507) |
|
|
4. Станции радиоопределения: |
||
|
- мощностью 200 Вт и менее |
20 |
|
|
- мощностью более 200 Вт |
10 |
|
|
Радиомаяки в полосе 1606,5 - 1800 кГц |
50 |
|
|
5. Радиовещательные станции (кроме 5.1, 5.2) |
1013) |
|
|
5.1 Радиовещательные станции излучения А3Е с мощностью несущей 10 кВт и менее |
20 |
|
|
5.2 Радиовещательные станции, работающие в режиме синхронизации частоты |
0,1 |
|
|
Полоса: 4 - 29,7 МГц |
||
|
1. Фиксированные станции: |
||
|
1.1 Излучения на одной боковой полосе и на независимой боковой полосе: |
208) |
|
|
- мощностью 500 Вт и менее |
50 |
|
|
- мощностью более 500 Вт |
20 |
|
|
1.2 Излучения класса F1В |
10 |
|
|
1.3 Излучения других классов: |
||
|
- мощностью 500 Вт и менее |
20 |
|
|
- мощность более 500 Вт |
10 |
|
|
2. Станции широкополосные, многоканальные, передача с системой внешней синхронизации |
2 % НШПЧ, но не более 2000 Гц |
|
|
3. Сухопутные станции |
||
|
3.1 Береговые станции |
201) |
|
|
- с излучением класса А1А |
10 |
|
|
3.2 Стационарные станции воздушной подвижной службы |
109) |
|
|
3.3 Базовые станции |
206), 10) |
|
|
4. Подвижные станции: |
||
|
4.1 Судовые станции: |
||
|
- с излучением класса A1A |
10 |
|
|
- с излучением других классов, кроме А1А |
502), 11) |
|
|
4.2 Станции спасательных средств |
50 |
|
|
4.3 Станции воздушных судов, однополосная телефония |
20 |
|
|
4.4 Сухопутные подвижные станции |
4012) |
|
|
5. Радиовещательные станции |
1013) |
|
|
5.1 Радиовещательные станции, работающие в режиме синхронизации частоты |
0,1 |
|
|
5.2 Системы цифрового звукового вещания |
1 |
|
|
6. Космические станции |
20 |
|
|
7. Земные станции |
20 |
|
|
Полоса: 29,7 - 100 МГц |
||
|
1. Фиксированные станции |
20 |
|
|
2. Сухопутные станции: |
||
|
- мощностью 2 Вт и менее |
30 |
|
|
- мощностью более 2 Вт и до 15 Вт включительно |
20 |
|
|
- мощностью более 15 Вт |
10 |
|
|
3. Подвижные станции: |
||
|
- мощностью 2 Вт и более |
20 |
|
|
- носимые мощностью не более 2 Вт |
40 |
|
|
4. Портативное оборудование |
||
|
мощностью не более 5 Вт, не устанавливаемое на передвижных средствах |
40 |
|
|
5. Станции радиоопределения |
50 |
|
|
6. Радиовещательные станции (кроме телевизионных) |
10013) |
|
|
7. Радиовещательные станции телевизионные |
||
|
- работающие в режиме простого смещения частоты (изображение и звуковое сопровождение): |
||
|
• мощностью менее 1000 Вт |
350 |
|
|
• мощностью 1000 Вт и более; |
100 |
|
|
- работающие в режиме точного смещения частоты |
1 |
|
|
8. Космические станции |
20 |
|
|
9. Земные станции |
0,5 |
|
|
Полоса: 100 - 470 МГц |
||
|
1. Фиксированные станции: |
||
|
- мощностью 50 Вт и менее |
20 |
|
|
- мощностью более 50 Вт |
10 |
|
|
радиорелейные станции |
1516) |
|
|
2. Сухопутные станции |
||
|
2.1 Береговые станции |
5 |
|
|
2.2 Стационарные станции воздушной подвижной службы |
209) |
|
|
- при разносе каналов 50 кГц |
50 |
|
|
2.3 Базовые станции при разносе частот между соседними каналами не менее 20 кГц: |
||
|
- в полосе 100 - 235 МГц |
10 |
|
|
- в полосе 235 - 401 МГц |
7 |
|
|
- в полосе 401 - 470 МГц |
5 |
|
|
3. Подвижные станции: |
||
|
3.1 Судовые станции и станции спасательных средств: |
||
|
- в полосе 156 - 174 МГц |
10 |
|
|
- вне полосы 156 - 174 МГц |
50 |
|
|
станции внутрисудовой связи |
5 |
|
|
3.2 Станции воздушных судов |
3017) |
|
|
- при разносе каналов 50 кГц |
50 |
|
|
3.3 Сухопутные подвижные станции при разносе частот между соседними каналами не менее 20 кГц: |
||
|
- в полосе 100 - 235 МГц |
10 |
|
|
- в полосе 235 - 401 МГц |
7 |
|
|
- в полосе 401 - 470 МГц |
5 |
|
|
3.4 Портативное оборудование с мощностью не более 5 Вт, не устанавливаемое на подвижных средствах |
15 |
|
|
4. Станции радиоопределения |
5018) |
|
|
- в полосе 108 - 117,975 МГц, кроме РЭС воздушной навигации |
2018) |
|
|
5. Радиомаяки - указатели места бедствия |
||
|
на частоте 406,025 МГц |
2000 |
|
|
6. Радиовещательные станции (кроме телевизионных) |
1013) |
|
|
системы цифрового звукового вещания |
1 |
|
|
7. Радиовещательные станции телевизионные14), 15) |
||
|
- работающие в режиме простого смещения частоты (изображение и звуковое сопровождение): |
||
|
• мощностью менее 1000 Вт |
350 |
|
|
• мощностью 1000 Вт и более |
100 |
|
|
- работающие в режиме точного смещения частоты |
1 |
|
|
8. Космические станции |
20 |
|
|
9. Земные станции |
0,5 |
|
|
Земные станции низкоорбитальных систем: |
1023) |
|
|
- центральные |
0,1 |
|
|
- узловые |
0,5 |
|
|
- абонентские |
10 |
|
|
Полоса: 470 - 2450 МГц |
||
|
1. Фиксированные станции: |
||
|
- мощностью 100 Вт и менее |
100 |
|
|
- мощностью более 100 Вт |
50 |
|
|
радиорелейные станции |
1516) |
|
|
2. Сухопутные станции |
2019) |
|
|
3. Подвижные станции |
2019) |
|
|
4. Станции радиоопределения: |
50018), 20) |
|
|
- с кварцевой стабилизацией |
100 |
|
|
- станции воздушной радионавигации в полосе 726 - 1427 МГц |
5021) |
|
|
5. Радиовещательные станции (кроме телевизионных) |
100 |
|
|
6. Радиовещательные станции телевизионные (в полосе 470 - 960 МГц)14), 15) |
||
|
- работающие в режиме простого смещения частоты (изображение и звуковое сопровождение): |
||
|
• мощностью менее 1000 Вт |
350 |
|
|
• мощностью 1000 Вт и более |
100 |
|
|
- работающие в режиме точного смещения частоты |
1 |
|
|
7. Космические станции |
20 |
|
|
8. Земные станции |
0,3 |
|
|
Земные станции низкоорбитальных систем: |
10 |
|
|
- центральные |
0,1 |
|
|
- узловые до 1 ГГц |
0,5 |
|
|
выше 1 ГГц |
0,3 |
|
|
- абонентские до 1 ГГц |
10 |
|
|
выше 1 ГГц |
1 |
|
|
Полоса: 2450 - 10500 МГц |
||
|
1. Фиксированные станции |
||
|
- мощностью 100 Вт и менее |
200 |
|
|
- мощностью более 100 Вт |
50 |
|
|
радиорелейные станции |
1516) |
|
|
2. Сухопутные станции |
100 |
|
|
3. Подвижные станции |
100 |
|
|
4. Станции радиоопределения: |
125018) |
|
|
- с кварцевой стабилизацией |
100 |
|
|
Радиомаяки микроволновой системы посадки (в диапазоне 5 ГГц) |
10000 |
|
|
5. Космические станции |
122) |
|
|
6. Земные станции |
122) |
|
|
Земные станции низкоорбитальных систем |
10 |
|
|
- центральные |
0,1 |
|
|
- узловые |
0,3 |
|
|
- абонентские до 3 ГГц |
1 |
|
|
выше 3 ГГц |
0,3 |
|
|
Полоса: 10,5 - 40 ГГц |
||
|
1. Фиксированные станции |
100 |
|
|
Радиорелейные станции |
1516) |
|
|
2. Подвижные станции |
300 |
|
|
3. Станции радиоопределения |
300018) |
|
|
- с кварцевой стабилизацией |
500 |
|
|
4. Радиовещательные станции |
100 |
|
|
5. Космические станции |
122) |
|
|
6. Земные станции |
122) |
|
1) Для передатчиков береговых станций, используемых для буквопечатающей телеграфии или передачи данных, допустимое отклонение частоты составляет:
5 Гц - при узкополосной фазовой манипуляции;
10 Гц - при частотной манипуляции и для передатчиков, используемых для цифрового избирательного вызова.
2) Для передатчиков судовых станций, используемых для буквопечатающей телеграфии или передачи данных, допустимое отклонение частоты, составляет:
5 Гц - при узкополосной фазовой манипуляции;
10 Гц - при частотной манипуляции и для передатчиков, используемых для цифрового избирательного вызова.
3) Если аварийный передатчик одновременно являются резервным для основного, то его допустимое отклонение частоты должно быть таким же, как и для основного.
4) Для базовых и фиксированных однополосных станций с пиковой мощностью 200 Вт и менее, находящихся в эксплуатации с 01.01.2000 сохраняется норма на допустимое отклонение частоты 50 Гц до 01.01.2012.
5) Для однополосных передатчиков стационарных станций, работающих в полосах частот, распределённых на исключительной основе воздушной подвижной службе, допустимое отклонение частоты составляет - 10 Гц.
6) Для однополосных радиотелефонных передатчиков с пиковой мощностью 2 Вт и менее допустимое отклонение частоты составляет - 40 Гц, а с мощностью более 2 Вт - 20 Гц.
7) Для передатчиков, используемых для однополосной радиосвязи с мощностью более 2 Вт, допустимое отклонение частоты составляет - 20 Гц, а для передатчиков, используемых для радиотелеграфии с частотной манипуляцией, а также для передатчиков мощностью 2 Вт и менее, используемых для однополосной радиосвязи -40 Гц.
8) После 01.01.2012 эта норма относится ко всем передатчикам независимо от их мощности.
9) Для стационарных станций, обслуживающих международные авиалинии, а также для станций с разносом каналов 8,33 кГц, допустимое отклонение частоты составляет 10 Гц.
10) Для однополосных радиотелефонных передатчиков, за исключением тех, которые используются на береговых станциях, допустимое отклонение частоты составляет:
50 Гц - при пиковой мощности (огибающей) 500 Вт и менее;
20 Гц - пиковой мощности (огибающей) более 500 Вт.
11) Для передатчиков небольших судов, работающих в прибрежных водах или вблизи них с мощностью несущей не более 5 Вт в полосе 26175-27500 кГц с излучениями классов А3Е, F3E или G3E, допустимое отклонение частоты составляет - 40´10-6.
12) Для однополосных радиотелефонных передатчиков допустимое отклонение частоты составляет 50 Гц (кроме тех, которые работают в полосе 26175 - 27500 кГц с пиковой мощностью огибающей не более 15 Вт, основное допустимое отклонение для которых равно 40´10-6).
13) Для стационарных радиовещательных передатчиков, работающих с амплитудной модуляцией в диапазонах частот от 0,1485 до 0,2835 МГц, от 0,5265 до 1,6065 МГц и от 3,95 до 26,1 МГц, допустимое отклонение частоты составляет 1´10-6.
Для стационарных радиопередатчиков монофонического и стереофонического вещания, работающих с частотной модуляцией в диапазонах от 65,9 до 74,0 МГц и от 87,5 до 108,0 МГц, допустимое отклонение частоты составляет 0,5´10-6.
Для передатчиков со средней мощностью 50 Вт или меньше, которые работают на частотах ниже 108 МГц (в полосах 29,7 - 100 МГц и 100 - 470 МГц), допустимое отклонение составляет 3000 Гц.
14) Для станций аналогового телевизионного вещания мощностью:
- 50 Вт (пиковая мощность огибающей изображения) или меньше, работающих в полосе 48,5 - 100 МГц;
- 100 Вт (пиковая мощность огибающей изображения) или меньше, работающих в полосе 100 - 960 МГц, и которые принимают входной сигнал от других телевизионных станций или которые обслуживают небольшие изолированные зоны, допустимое отклонение по эксплуатационным причинам может не соблюдаться. Для таких станций допустимое отклонение частоты составляет 2000 Гц.
Для станций мощностью 1 Вт (пиковая мощность огибающей изображения) или меньше допустимое отклонение составляет:
- 5 кГц в полосе 48,5 - 470 МГц;
- 10 кГц в полосе 470 - 960 МГц.
15) Для передатчиков цифрового телевизионного вещания стандарта DVB допустимое отклонение частоты составляет:
- 100 Гц для передатчиков, работающих в полосах частот 174 - 230 МГц и 470 - 862 МГц;
- 1,16 Гц для передатчиков, работающих в одночастотных сетях (SFN).
16) Для радиорелейного оборудования, введённого в эксплуатацию до 01.01.1995, сохраняется норма 100´10-6.
17) Для станций воздушных судов с разносом каналов 25 кГц, обслуживающих международные авиалинии, а также для станций с разносом каналов 8,33 кГц допустимое отклонение частоты составляет 10 Гц. В режиме цифровой передачи данных допустимое отклонение частоты составляет 2´10-6.
18) Это допустимое отклонение частоты относится к станциям, использующим фиксированные рабочие частоты. Для остальных станций нестабильность радиопередатчиков не должна приводить к излучениям вне выделенной полосы частот.
19) В районах с высокой плотностью загрузки для базовых и подвижных станций сухопутной подвижной службы с разносом между каналами 12,5 кГц, работающих в диапазоне 470 - 960 МГц, рекомендуется применять норму 1,5´10-6.
20) Для радионавигационных подвижных станций допускается нестабильность 1500´10-6 при условии, что излучения находятся в пределах выделенной полосы.
21) Для сухопутных станций воздушной радионавигации допустимое отклонение частоты составляет 20´10-6.
22) Допустимое отклонение частоты составляет:
а) для радиопередатчиков широкополосных систем:
космических станций - 0,5´10-6,
земных станций - 0,3´10-6
б) для радиопередатчиков, использующих один канал на несущей, космических и земных станций - 0,2´10-6.
Для спутниковых аварийных радиомаяков - указателей места бедствия, работающих в диапазоне 406 - 406,1 МГц, допустимое отклонение частоты составляет 20´10-6.
6.1.1 Контроль допустимого отклонения частоты проводят по параметрам и методикам испытаний, установленным техническими условиями на конкретные типы радиопередатчиков, которые должны соответствовать требованиям настоящих Норм, с учетом воздействия на радиопередатчик дестабилизирующих факторов.
6.1.2 Основными методами, применяемыми при контроле допустимого отклонения частоты радиопередатчиков, являются:
- метод, основанный на использовании электронно-счётных частотомеров;
- метод с использованием анализаторов спектра;
- метод сравнения измеряемой частоты с частотой эталонного генератора.
6.1.3 Измерение частоты радиопередатчиков проводят, как правило, в режиме без модуляции несущей частоты. Радиопередатчик настраивают на отдачу номинальной мощности в нагрузку (антенну или её эквивалент).
Примечание - Если измерения проводят в эксплуатационном режиме модуляции несущей, используются режимы, рекомендованные приложением Б.
6.1.4 Погрешность измерения должна быть не более 0,11) нормы допустимого отклонения частоты, которая достигается статистической обработкой результатов не менее 10 повторяющихся измерений.
6.1.5 Требования к характеристикам средств, применяемых при контроле допустимых отклонений частоты радиопередатчиков, приведены в приложении А.
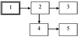
6.2.1 Контроль допустимого отклонения частоты радиопередатчиков, основанный на использовании электронно-счётных частотомеров, проводят по схеме подключения оборудования, представленной на рисунке 1.
1) Для радиопередатчиков станций радиоопределения, работающих в режиме импульсной модуляции короткими импульсами в полосе частот 100 - 10500 МГц, допустимая точность измерения отклонения частоты одного порядка с контролируемой нормой. Для радиопередатчиков с прямым методом стабилизации допускается производить измерения частоты непрерывного сигнала в промежуточных каскадах, начиная с возбудителя частоты.

1 - контролируемый радиопередатчик; 2 - устройство связи (направленный ответвитель); 3 - эквивалентное нагрузочное сопротивление (эквивалент антенны); 4 - аттенюатор; 5 - электронно-счётный частотомер.
Рисунок 1 - Схема подключения оборудования при измерении частоты радиопередатчика с применением электронно-счётного частотомера
Допускается подключать электронно-счётные частотомеры к промежуточным каскадам радиопередатчика (возбудителю, предварительному усилителю и др.)
Для обеспечения требуемой погрешности измерений возможно использовать частотомер с внешним источником опорной частоты на основе стандарта частоты.
Рабочую частоту радиопередатчика fн измеряют частотомером (5) с погрешностью не более определённой в п. 6.1.4.
Среднее арифметическое значение Δfcp абсолютных величин разностей между измеренными и присвоенным значениями частоты (Гц) на n ³ 10 множестве измерений вычисляют по формуле:
(1)
где fиi - значение рабочей частоты радиопередатчика, полученное при i-м измерении, Гц;
fп - значение присвоенной частоты радиопередатчика, Гц;
Контролируемый передатчик удовлетворяет требованиям Норм, если выполняются условия:
(2)
или Дfср £ Nабс (3)
6.2.2 Контроль допустимого отклонения частоты радиопередатчиков с излучениями класса J3E.
Измерения проводят по схеме подключения оборудования, представленной на рисунке 2.

1 - генератор модулирующих сигналов; 2 - контролируемый радиопередатчик (в режиме передачи); 3 - устройство связи (направленный ответвитель); 4 - эквивалентное нагрузочное сопротивление (эквивалент антенны); 5, 7 - электронно-счётные частотомеры; 6 - аттенюатор.
Рисунок 2 - Схема подключения оборудования при измерении частоты радиопередатчика с излучением класса J3E
На вход радиопередатчика подают модулирующий сигнал частотой 1000 Гц с уровнем, при котором выходная мощность радиопередатчика получается равной номинальному значению. Необходимый уровень сигнала на входе измерителя частоты (7) устанавливается аттенюатором (6). Частоту модулирующего сигнала при измерениях поддерживают равной 1000 Гц.
На выходе радиопередатчика измеряют частоту сигнала fиi и определяют отклонение измеренной частоты от присвоенного значения fп по формуле:
Δfиi = |fиi - (fп ± 1000)|, Гц (4)
В формуле (4) «+» соответствует передаче верхней боковой полосы, «-» - передаче нижней боковой полосы.
Повторяют (не менее 10 раз) измерения, и для каждого i-го измерения определяют по формуле (4) отклонение Dfиi;
Рассчитывают среднее арифметическое значение разностей между измеренными частотами и присвоенной частотой на множестве измерений n ³ 10 по формуле:
(5)
где Dfиi - определяется по формуле (4).
Контролируемый передатчик удовлетворяет норме, если выполняются условия (2) или (3).
6.2.3 Контроль допустимого отклонения частоты радиопередатчиков с излучениями класса J3E может проводиться в свободном пространстве по схеме подключения оборудования, представленной на рисунке 3.

1 - контролируемый радиопередатчик; 2 - синтезатор частоты; 3 - переключатель; 4 - радиоприёмник; 5, 8 - полосовые фильтры, настроенные на первую и вторую гармоники основной частоты речевого спектра; 6 - осциллограф; 7 - электронно-счётный частотомер.
Рисунок 3 - Схема подключения оборудования при измерении частоты радиопередатчика с излучением класса J3E в свободном пространстве
Проводят настройку радиоприёмника (4) (переключатель (3) в положении А), добиваясь максимального значения передаваемого сигнала и устойчивости фигуры Лиссажу на экране осциллографа.
Переключатель (3) переводят в положение Б, частоту синтезатора частот (2) устанавливают по нулевым биениям на выходе усилителя низкой частоты радиоприёмника. Частоту синтезатора частот, которая в этом случае будет равна частоте fиi подавленной несущей, измеряют с помощью электронно-счетного частотомера (7).
Измерение fиi повторяют не менее 10 раз (n ³ 10). Обработку результатов измерений проводят по методике раздела 6.2.2. Контролируемый передатчик удовлетворяет норме, если выполняются условия (2) или (3).
Контроль допустимого отклонения частоты радиопередатчика, основанный на использовании анализаторов спектра, проводят по схемам подключения оборудования, представленных на рисунках 4 и 6.
Измерения проводят как в режиме с отключенной модуляцией, так и в штатном режиме работы передатчика.
Подготовка к измерениям полосы радиочастот излучения проводится в соответствии с положениями Норм 19-02 в части, касающейся выбора испытательного сигнала и установки параметров анализатора спектра.
1 - контролируемый радиопередатчик; 2 - устройство связи (направленный ответвитель); 3 - эквивалентное нагрузочное сопротивление (эквивалент антенны); 4 - аттенюатор; 5 - анализатор спектра; 6 - внешний частотомер; 7 - стандарт частоты.
Рисунок 4 - Схема подключения оборудования при измерении частоты радиопередатчика с применением анализатора спектра
Вычисляют значение присвоенной полосы частот Вп радиопередатчика по формуле:
Вп = Вн + (2´Naбc), (6)
где Вп - значение присвоенной полосы частот;
Вн - значение необходимой ширины полосы частот;
Naбc - норма на допустимое отклонение частоты радиопередатчика.
На спектрограмме, отображенной на экране анализатора спектра, находят принадлежащие одному уровню две точки, у которых разность их значений по оси частот равна Вп.
Измеряют значения частот этих точек fлев и fправ (см. рисунок 5). Вычисляют среднюю частоту присвоенной полосы частот fcp.i и её отклонение Dfcp.i от присвоенной частоты по формулам:
Dfcp.i = 0,5(fлев + fправ) (7)
Dfиi = |fср.i - fп| (8)
Аналогичную процедуру измерений повторяют n раз (n ³ 10).
Для каждого i-го измерения по формуле (8) рассчитывают величину отклонения Dfi.
Рассчитывают среднее арифметическое значение разностей Dfиi на множестве измерений n ³ 10 по формуле (5), в которой Dfиi определено по формуле (8).
Рисунок 5 - Иллюстрация метода определения fcp
Контролируемый передатчик удовлетворяет норме, если выполняются условия (2) или (3).
При измерении частоты радиопередатчика в свободном пространстве оборудование подключают по схеме, представленной на рисунке 6.
1 - контролируемый радиопередатчик; 2 - измерительная антенна; 3 - анализатор спектра; 4 - стандарт частоты; 5 - компьютер.
Рисунок 6 - Схема подключения оборудования при измерении частоты радиопередатчика в свободном пространстве с применением анализатора спектра.
При измерениях в свободном пространстве измерительная антенна должна располагаться в дальней зоне излучения антенны контролируемого радиопередатчика на расстоянии R, определяемом по формуле
(9)
где D - линейный размер апертуры антенны контролируемого радиопередатчика в плоскости поляризации излучения;
л - длина волны излучения.
Измеряемое значение рабочей частоты радиопередатчика fн определяют из условия равенства или известной кратности другой частоте, принимаемой в качестве опорной частоты fоп. Для индикации равенства или кратности этих частот применяют осциллограф (осциллографический способ).
Схема подключения оборудования приведена на рисунке 7.

1 - контролируемый радиопередатчик; 2 - устройство связи (направленный ответвитель); 3 - эквивалентное нагрузочное сопротивление (эквивалент антенны); 4 - аттенюатор; 5 - осциллограф; 6 - генератор образцовой частоты.
Рисунок 7 - Схема подключения оборудования при измерении частоты радиопередатчика осциллографическим способом
Для определения fиi осциллографическим способом (при i-м измерении) напряжение fоп подают на вход усилителя горизонтального отклонения (синхронизация, вход «X»), а напряжение fиi - на вход усилителя вертикального отклонения осциллографа (вход «Y»). Внутренний генератор развертки осциллографа выключают.
Изменением fоп добиваются получения на экране электроннолучевой трубки неподвижной или медленно вращающейся фигуры Лиссажу. Если последняя представляет собой наклонную прямую, эллипс или окружность, то сравниваемые частоты равны.
Точность измерений зависит от точности градуировки шкалы генератора опорной частоты и от стабильности сравниваемых частот.
Измерения fиi повторяют не менее 10 раз (n ³ 10). Обработку результатов измерений проводят по формуле (1).
Контролируемый передатчик удовлетворяет норме, если выполняются условия (2) или (3).
Требования к средствам контроля
В качестве основных средств измерений для контроля допустимых отклонений частоты радиопередатчиков используют электронно-счётные частотомеры, анализаторы спектра, автоматизированное оборудование радиоконтроля, генераторы испытательных сигналов, комплект измерительных антенн с известными калибровочными коэффициентами.
Основные характеристики используемых средств контроля указаны в таблице А.1.
Допускается в процессе контроля замена средств измерений на аналогичные, обеспечивающие требуемые характеристики, и использование нескольких средств измерений для перекрытия требуемого частотного диапазона по участкам.
Используемые средства измерений должны иметь действующие свидетельства о поверке.
В качестве вспомогательных устройств применяют устройства связи (направленные ответвители), эквивалентные нагрузочные сопротивления, аттенюаторы и др., которые предназначены для ответвления мощности с выхода радиопередатчика в измерительный тракт. Импеданс ответвителя должен соответствовать импедансу радиопередатчика на основной частоте. Коэффициент передачи по мощности Кп должен соответствовать условию
Рвх.мин/Р0 £ Кп £ Рвх.макс/Р0 (А.1)
где Рвх.мин, Рвх.макс - соответственно чувствительность и максимально допустимое значение мощности на входе измерительного тракта;
Р0 - мощность испытуемого радиопередатчика в месте подключения измерительного тракта.
Эквивалентное нагрузочное сопротивление должно иметь допустимую мощность рассеяния не меньше максимальной средней мощности контролируемого радиопередатчика. КСВН нагрузочного сопротивления в полосе измеряемых частот должен обеспечить нормальную работу радиопередатчика.
Для регулирования уровня сигнала, подаваемого на измерительный тракт, используют аттенюаторы.
Вспомогательные элементы должны быть аттестованы во всём диапазоне частот контроля.
Таблица А.1 - Характеристики основных средств контроля
|
Основные характеристики |
|
|
Частотомер электронно-счётный |
Диапазон частот от 10 Гц до 40 ГГц, уровень входного сигнала: от 0,1 до 1,0 В в диапазоне от 10 Гц до 120 МГц, от -20 дБ (отн. 1 мВт) до +13 дБ (отн. 1 мВт) в диапазоне от 0,1 до 40 ГГц; разрешающая способность отсчёта частот ±1 Гц, допустимая относительная погрешность измерения частоты - не более 0,03Δср |
|
Анализатор спектра |
Диапазон частот от 9 кГц до 40 ГГц, стабильность частоты ±5´10-7, полоса пропускания от 10 Гц до 10 МГц, погрешность установки полосы пропускания: до 100 кГц - не более 5 %, до 3 МГц - не более 10 %, свыше 3 МГц - не более +10 %, -30 % |
|
Генератор сигналов низкочастотный |
Диапазон частот 10 - 105 Гц, коэффициент гармоник - не более 0,05 %, погрешность установки частоты - не более ±1´10-7f Гц |
|
Генератор сигналов высокочастотный |
Диапазон частот - обеспечивающий перекрытие полосы частот, занимаемой излучением радиопередатчика, погрешность установки частоты - не более ±1´10-6f Гц |
|
Стандарт частоты |
Пределы относительной погрешности частоты - не более ±2´10-11 |
|
Осциллограф |
Полоса пропускания - (1,5 - 2) Вк, коэффициент отклонения от 2 мВ/дел до 5 В/дел., погрешность измерения амплитуд ±3 %, входное сопротивление 1 МОм. |
|
Аттенюатор |
Диапазон частот 0 - 40 ГГц, ослабление - до 60 дБ, погрешность ослабления, не более ±0,5 дБ |
Рекомендуемые режимы работы радиопередатчиков при измерении допустимых отклонений частоты
Общие положения
Б.1 Измерения проводят с выполнением требований методик измерения и контроля допустимых отклонений частоты, изложенных в разделе 6.
Б.2 Измерения допустимых отклонений частоты перечисленных в таблице Б.1 типов передачи проводят с использованием основного эксплуатационного класса излучения передатчика.
Б.3 Измерения проводят при максимальной скорости передачи для нормальных условий эксплуатации. Во всех случаях, где это возможно, измерения проводят без использования модуляции. Для классов излучения, приведённых в таблице Б.1, включают модулирующие частоты, стандартные (максимальные) для данного класса излучения и испытуемой системы. Для обеспечения однозначности результатов измерений в таблице Б.1 даны рекомендуемые режимы модуляции.
Таблица Б.1 - Рекомендуемые режимы модуляции
|
Обозначение класса излучения |
Режим работы радиопередатчика при контроле |
|
|
Амплитудная модуляция (манипуляция) |
||
|
Одна боковая полоса, - несущая подавлена - несущая ослаблена - две независимые боковые полосы. Примечание: Для этих классов излучения при измерениях учитывается «смещение» номинала присвоенной излучению частоты от номинала несущей частоты |
J3E R3E |
1. Излучение несущей без модуляции. 2. Излучение одной боковой полосы с модулирующей частотой 1000 Гц. |
|
Факсимиле. Одна боковая полоса, несущая ослаблена |
R3C |
Излучение одной боковой полосы в режиме передачи изображения (чёрного - при негативной модуляции, белого - при позитивной модуляции) при максимальной пиковой мощности огибающей |
|
Многоканальная тональная телеграфия. Одна боковая полоса с ослабленной несущей |
R7B |
Излучение одной боковой полосы, модулированной в одном из каналов одновременно двумя тонами, при уровне каждого тона, равном 50 % значения мощности огибающей. Рекомендуемые модулирующие частоты 400 Гц и 700 Гц. |
|
Телевидение (только изображение), частично подавлена боковая полоса |
C3F |
Излучение несущей при уровне мощности, соответствующем уровню чёрного поля. |
|
Случаи, не предусмотренные выше, например, комбинированная передача телефонии и телеграфии; две независимые боковые полосы |
A9W, B9W |
Излучение двух боковых полос, каждая из которых модулирована одним тоном с уровнем, равным 50 % значения, соответствующего максимальной пиковой мощности огибающей. Рекомендуемые модулирующие частоты 400 Гц и 700 Гц. |
|
Частотная модуляция (манипуляция) |
||
|
Телеграфирование одноканальное (включая цифровую передачу) |
F1B, F1D |
Излучение с максимальной мощностью и скоростью манипуляции 1024 бит/с |
|
Двойное частотное телеграфирование |
F7B |
Излучение одной максимальной из четырёх частот манипуляции |
|
Телеграфирование многоканальное (включая цифровую передачу) |
F7D, F7W и подобные |
Излучение с максимальной мощностью и скоростью манипуляции 2048 бит/с. |
|
Коммерческая телефония, радиовещание, звуковое сопровождение телевидения |
F3E |
1. Излучение несущей без модуляции. 2. Излучение с максимальной мощностью и модулирующей частотой 3000 Гц |
|
Широкополосный сигнал с частотной манипуляцией поднесущих |
F9D, F9W |
Излучение всех поднесущих с одинаковым уровнем |
|
Фазовая модуляция (манипуляция) |
||
|
Непрерывная фазоманипулированная несущая |
G1B G1D G7D G7W |
1. Излучение несущей при максимальной мощности (без модуляции). (Примечание: учитывается применяемый характер уплотнения каналов для систем многоканальной передачи) 2. Излучение с максимальной мощностью и скоростью манипуляции 1024 бит/с. |
|
Широкополосный сигнал с относительной фазовой манипуляцией поднесущих |
G9W |
Излучение всех поднесущих с одинаковым уровнем при максимальной суммарной мощности (без модуляции) |
|
Импульсная модуляция (манипуляция) |
||
|
Все классы излучения, кроме PON |
Излучение серии импульсов при максимальной пиковой мощности огибающей (измеренной при отсутствии модуляции) |
|
[1] Нормы 17-99. Радиопередатчики всех категорий и назначений. Требования на допустимые отклонения частоты. Методы измерений и контроля.
[2] Нормы 19-02. Нормы на ширину полосы радиочастот и внеполосные излучения радиопередатчиков гражданского применения.
[3] Radio Regulations, Edition of 2004, ITU.
[4] Рекомендация МСЭ-Р SM-1045-1. Отклонения частоты передатчиков. Recommendation ITU-R SM-1045-1. Frequency tolerance of transmitters, 1997.
[5] База данных ГКРЧ по форме № 1 «ТТД РЭС» за 1995 - 2004 гг.
[6] ГОСТ 20532-83 Радиопередатчики телевизионные I - V диапазонов. Основные параметры, технические требования и методы измерений.
[7] ГОСТ Р 50657-94. Совместимость радиоэлектронных средств электромагнитная. Устройства радиопередающие всех категорий и назначений народнохозяйственного применения. Требования к допустимым отклонениям частоты. Методы измерений и контроля.
[8] ГОСТ Р 51741-2001 Передатчики радиовещательные стационарные диапазона ОВЧ. Основные параметры, технические требования и методы измерений.
[9] ГОСТ Р 51742-2001 Передатчики радиовещательные стационарные с амплитудной модуляцией диапазонов низких, средних и высоких частот. Основные параметры, технические требования и методы измерений.